1.己知全集
,
,
则
( )
A.
B.
C.
D. ![]()
2、
是
的
(
)
A.充分而不必要条件 B.必要不而充分条件
C.充要条件 D.既不充分也不必要条件
3、已知
则
等于
(
)
A.
B.
C.
D.![]()
5.已知等差数列
中,
,则
的值是 ( )
A.15 B.
6.下列命题错误的是 ( )
(A)
R,![]()
(B)
R,![]()
(C)
,![]()
(D)
R+,
R,![]()
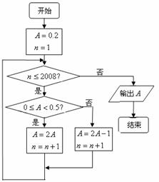
7、已知某程序框图如图所示,则该程序运行后
输出的结果为 ( )
A.
B.
C.
D.![]()
8、已知m、n是不重合的直线,α、β是不重合的平面,有下列命题:
①若m
α,n∥α,则m∥n;
②若m∥α,m∥β,则α∥β;
③若α∩β=n,m∥n,则m∥α且m∥β;
④若m⊥α,m⊥β,则α∥β.
其中真命题的个数是 ( )
A.0 B.
9.
直线
过定点(1,1),则
的最小值是 (
)
A.4 B.
10.如图,过抛物线y2=2px(p>0)的焦点F的直线L交抛物线于点A、B,交其准线于点C,
若|BC|=2|BF|,且|AF|=3,则此抛物线的方程为 ( )
A.y2=
x B.y2=3x
C.y2=
x D.y2=9x
12、已知m为非零实数。若函数
的图像
关于原点对称,则m=________。
14、已知函数
则不等式
的解集为____________。
15、在直角坐标系中,若不等式组
表示一个三角形区域,
则实数k的取值范围是_________________。
16、已知正四面体棱长为
,则它的外接球表面积为_____________。
17、已知:
,直线
和曲线
有两个不同的交点,它们围成的平面区域为M,向区域
上随机投一点A,点A落在区域M内的概率为
,若
,则
的取值范围为_____________。
18、(本题14分)已知函数
(其中
),
.若函数
的图像与x轴的任意两个相邻交点间的距离为
,且直线
是函数
图像的一条对称轴.
(1)求
的表达式.
(2)求函数
的单调递增区间.
19、(本题14分)已知等比数列{
}中,
,
是
、
的等差中项。
(Ⅰ)求数列{
}的通项公式;
(Ⅱ)记
,求数列{
}的前n项和![]()
20. (本题14分)如图,在矩形
中,
,
,
为
的中点。将![]()
折起,使平面
平面
得到几何体
-
。
(Ⅰ)求证:
;
(Ⅱ) 求
与平面
所成角的正切值。
21、(本题15分)知实数
,函数
.
(Ⅰ)若函数
有极大值
,求实数
的值;
(Ⅱ)若对
,不等式
恒成立,求实数
的取值范围.
22、(本题15分)设抛物线
的焦点为
,经过点
的直线交抛物线于
![]()
![]()
两点,
是抛物线的准线上的一点,
是坐标原点,若直线
的斜率分别记为
,(如图)
(2)当
时,求证:
为定值。