1. 复数高考资源网( www.1010jiajiao.com),中国最大的高考网站,您身边的高考专家。(i是虚数单位)在复平面上对应的点位于(     )

       A. 第一象限         B. 第二象限         C. 第三象限         D. 第四象限

试题详情>>

2. 已知集合M={-1, 0, 1},N={x|x=ab, a, b∈M且a≠b},则集合M与集合N的关系是()

试题详情>>

高考资源网( www.1010jiajiao.com),中国最大的高考网站,您身边的高考专家。高考资源网( www.1010jiajiao.com),中国最大的高考网站,您身边的高考专家。       A. M=N                                        B. M高考资源网( www.1010jiajiao.com),中国最大的高考网站,您身边的高考专家。N                                   C. M 高考资源网( www.1010jiajiao.com),中国最大的高考网站,您身边的高考专家。N                  D. M高考资源网( www.1010jiajiao.com),中国最大的高考网站,您身边的高考专家。N=高考资源网( www.1010jiajiao.com),中国最大的高考网站,您身边的高考专家。

试题详情>>

高考资源网( www.1010jiajiao.com),中国最大的高考网站,您身边的高考专家。3. 在△ABC中,边a=2高考资源网( www.1010jiajiao.com),中国最大的高考网站,您身边的高考专家。,边c=高考资源网( www.1010jiajiao.com),中国最大的高考网站,您身边的高考专家。+高考资源网( www.1010jiajiao.com),中国最大的高考网站,您身边的高考专家。,角B=45°,则边b的长为(  )

试题详情>>

       A. 高考资源网( www.1010jiajiao.com),中国最大的高考网站,您身边的高考专家。         B. 2高考资源网( www.1010jiajiao.com),中国最大的高考网站,您身边的高考专家。         C. 高考资源网( www.1010jiajiao.com),中国最大的高考网站,您身边的高考专家。          D. 2高考资源网( www.1010jiajiao.com),中国最大的高考网站,您身边的高考专家。

试题详情>>

4. 已知某几何体的三视图如右图所示,它的表面积

是(       )

试题详情>>

       A. 4+高考资源网( www.1010jiajiao.com),中国最大的高考网站,您身边的高考专家。      B. 2+高考资源网( www.1010jiajiao.com),中国最大的高考网站,您身边的高考专家。   C. 3+高考资源网( www.1010jiajiao.com),中国最大的高考网站,您身边的高考专家。              D. 6

试题详情>>

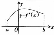
高考资源网( www.1010jiajiao.com),中国最大的高考网站,您身边的高考专家。5. 已知f5′(x)是函数f (x)的函导数,在区间[a, b]上f ′(x)的图象如右图所示,如果f (a) f (b)<0,则函数f (x)在区间(a, b)上(              )

       A. 至少有一个零点            B. 至多有一个零点

       C. 没有零点                       D. 必有唯一的零点

 

试题详情>>

6.设α,β,γ是三个不重合的平面,m, n是两条不重合的直线,给出下列命题:①若α⊥β,β⊥γ,则α⊥γ;②若m∥α, n∥β, α⊥β,则m⊥n;③若α∥β,γ∥β,则α∥γ;④若α∥β且m与α,n与β所成的角相等,则m∥n。其中错误命题的个数为(    )

       A. 0                     B. 1               C. 2                     D. 3

试题详情>>

7.函数y=f(x)的图象在点P处的切线方程是y=-2x+15,如图,则f(5)+ f ′(5)=(       )

试题详情>>

高考资源网( www.1010jiajiao.com),中国最大的高考网站,您身边的高考专家。       A.1                      B. 2               C. 3                     D. 4

试题详情>>

8. 若数列{an}的前n项由如图所示的程序框图中输出

的a的值依次给出,则数列{an}的通项公式an=(         )

试题详情>>

       A. 高考资源网( www.1010jiajiao.com),中国最大的高考网站,您身边的高考专家。          B. n            C. n-1          D. 高考资源网( www.1010jiajiao.com),中国最大的高考网站,您身边的高考专家。

试题详情>>

高考资源网( www.1010jiajiao.com),中国最大的高考网站,您身边的高考专家。9. 抛物线y=ax2的焦点恰好为双曲线y2-x2=2的上焦点,则a=(  )

试题详情>>

       A. 高考资源网( www.1010jiajiao.com),中国最大的高考网站,您身边的高考专家。                B. 高考资源网( www.1010jiajiao.com),中国最大的高考网站,您身边的高考专家。             C. 高考资源网( www.1010jiajiao.com),中国最大的高考网站,您身边的高考专家。           D. 1

试题详情>>

10. 设等差数列{an}中,a6+a10=16, a4=1,则a12的值是(      )

       A. 15                B. 30             C. 31              D. 64

试题详情>>

11. 已知f (x)为偶函数,且f (2+x)=f (2-x),当-2≤x≤0时,f (x)=2x, an=f (n), n∈N*,则a2009=(       )

试题详情>>

       A. 2009               B. 2               C. 高考资源网( www.1010jiajiao.com),中国最大的高考网站,您身边的高考专家。               D. -2

试题详情>>

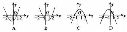
12 函数f (x)=ax2-x-c的零点是-2,1,则函数y = f ( -x)的图象

为(         )

试题详情>>

高考资源网( www.1010jiajiao.com),中国最大的高考网站,您身边的高考专家。      

 

 

 

第Ⅱ卷(非选择题   共90分)

注意事项:

试题详情>>

1.第Ⅱ卷包括填空题和解答题共两个大题.

试题详情>>

2.第Ⅱ卷所有题目的答案考生需用黑色签字笔答在“数学”答题卡指定的位置上.

试题详情>>

13. 如图,是在某一年全国少数民族运动会上,七位评委

为某民族舞蹈运动员打出的分数的茎叶统计图,去掉一个最高分

和一个最低分后,所剩数据的平均数为       ,方差为           .

试题详情>>

高考资源网( www.1010jiajiao.com),中国最大的高考网站,您身边的高考专家。14. 统计某校1000名学生的数学会考成绩,得到样本频率分布直方图如图所示,规定不低于60分为及格,不低于80分为优秀,则及格人数是               .

试题详情>>

高考资源网( www.1010jiajiao.com),中国最大的高考网站,您身边的高考专家。15. 现有一个关于平面图形的命题:如图,同一平面内有两个边长都是a的正方形,其中一个的某顶点在另一个的中心,则这两个正方形重叠部分的面积为高考资源网( www.1010jiajiao.com),中国最大的高考网站,您身边的高考专家。. 类比到空间,有两个棱长均为a的正方体,其中一个的某顶点在另一个的中心,则这两个正方体重叠部分的体积恒为                  .

试题详情>>

16. 定义一种运算高考资源网( www.1010jiajiao.com),中国最大的高考网站,您身边的高考专家。 高考资源网( www.1010jiajiao.com),中国最大的高考网站,您身边的高考专家。=a1a4-a2a3. 将函数f (x)= 高考资源网( www.1010jiajiao.com),中国最大的高考网站,您身边的高考专家。 高考资源网( www.1010jiajiao.com),中国最大的高考网站,您身边的高考专家。的图象向左平移n(n>0)个单位,所得图象对应的函数为偶函数,则n的最小值为                 .

 

试题详情>>

17.(本小题满分12分)

试题详情>>

       已知点A (2,0), B (0,2), C (cos高考资源网( www.1010jiajiao.com),中国最大的高考网站,您身边的高考专家。, sin高考资源网( www.1010jiajiao.com),中国最大的高考网站,您身边的高考专家。).

试题详情>>

       (1)若高考资源网( www.1010jiajiao.com),中国最大的高考网站,您身边的高考专家。

试题详情>>

       (2)若f (高考资源网( www.1010jiajiao.com),中国最大的高考网站,您身边的高考专家。)= 高考资源网( www.1010jiajiao.com),中国最大的高考网站,您身边的高考专家。

 

 

 

 

 

 

 

 

 

 

试题详情>>

18.(本小题满分12分)

       一个盒中放有除颜色不同外,其余完全相同的黑球和白球,其中黑球2个,白球3个;

       (1)从盒中同时摸出两个球,求两球颜色恰好相同的概率;

       (2)从盒中摸出一个球,放回后再摸出一个球,求两球颜色恰好不同的概率.

 

 

 

 

 

试题详情>>

19.(本小题满分12分)

数列{an}中,a1=-27,an+1+an=3n-54,(n∈N*).

(1)求证a1, a3, a5, …和a2, a4, a6,…分别成等差数列,并求数列{an}的通项公式;

试题详情>>

(2)求数列{an}的前n(n为偶数)项和Sn的最小值.

 

 

 

 

 

 

 

 

 

 

 

试题详情>>

20.(本小题满分12分)

试题详情>>

高考资源网( www.1010jiajiao.com),中国最大的高考网站,您身边的高考专家。       如图,四棱锥P―ABCD中,PA⊥底面ABCD,PC⊥AD。底面ABCD为梯形,AB∥DC,AB⊥BC,PA=AB=BC=1,点E在棱PB上,且PE=2EB.

       (1)求证:平面PAB⊥平面PCB;

       (2)求四棱锥P―ABCD的体积V;

       (3)求证:PD∥平面EAC.

试题详情>>

       (注:棱锥体积=底面积×高÷3)

 

 

 

 

 

 

 

 

 

 

 

 

 

试题详情>>

21.(本小题满分12分)

已知定点C(-1,0)及椭圆x2+3y2=5,过点C且斜率为k的直线与椭圆相交于不同的两点A,B.

试题详情>>

(1)若线段AB中点的横坐标是-高考资源网( www.1010jiajiao.com),中国最大的高考网站,您身边的高考专家。,求直线AB的方程;

试题详情>>

(2)在x轴上是否存在点M,使高考资源网( www.1010jiajiao.com),中国最大的高考网站,您身边的高考专家。是与k无关的常数?若存在,求出点M的坐标;若不存在,请说明理由。

 

 

 

 

 

 

 

 

 

 

 

试题详情>>

22.(本小题满分14分)

试题详情>>

       已知函数f (x)= 高考资源网( www.1010jiajiao.com),中国最大的高考网站,您身边的高考专家。

       (1)求f(x)的极大值;

试题详情>>

       (2)若函数f (x)的图象与函数g(x)=1的图象在区间(0,e2]上有公共点,求实数a的取值范围.

寿光市2009年高考适应性训练试题

试题详情>>
关闭