1.如图所示,一斜面体静止在粗糙的水平地面上,一物体恰能在斜面体上沿斜面匀速下滑,可以证明此时斜面不受地面的摩擦力作用。若沿平行于斜面的方向用力F向下推此物体,使物体加速下滑,斜面体依然和地面保持相对静止,则斜面体受地面的摩擦力

试题详情>>

A.大小为零                                   B.方向水平向右

C.方向水平向左                                 D.大小和方向无法判断

试题详情>>

2.利用传感器和计算机可以研究力的大小变化的情况,实验时让某消防队员从平台上跳下,自由下落H后双脚触地,他顺势弯曲双腿,他的重心又下降了h。计算机显示消防队员受到地面支持力F随时间变化的图象如图所示。根据图象提供的信息,以下判断正确的是

试题详情>>

A.在t1至t2时间内消防队员的重心在加速下降

B.在t3至t时间内消防队员的重心在减速下降

C.t3时刻消防员的加速度为零

D.在t1至t4时间内消防队员的机械能守恒

试题详情>>

3.在高速公路的拐弯处,通常路面都是外高内低。如图所示,在某路段汽车向左拐弯,司机左侧的路面比右侧的路面低一些。汽车的运动可看作是做半径为R的圆周运动。设内外路面高度差为h,路基的水平宽度为d,路面的宽度为L。已知重力加速度为g。要使车轮与路面之间的横向摩擦力(即垂直于前进方向)等于零。则汽车转弯时的车速应等于

试题详情>>

A.6ec8aac122bd4f6e          B.6ec8aac122bd4f6e                C.6ec8aac122bd4f6e                D.6ec8aac122bd4f6e

试题详情>>

4.一物块以某一初速度沿粗糙的斜面向上沿直线滑行,到达最高点后自行向下滑动,不计空气阻力,设物块与斜面间的动摩擦因数处处相同,下列哪个图象能正确地表示物块在这一过程中的速率与时间的关系? 

试题详情>>

5.在如图所示的四种电场中,分别标记有a、b两点。其中a、b两点的电势相等,电场强度大小相等、方向也相同的是 

试题详情>>

A.甲图:与点电荷等距的a、b两点

B.乙图:两等量异种电荷连线的中垂线上与连线等距的a、b两点

C.丙图:点电荷与带电平板形成的电场中平板上表面的a、b两点

D.丁图:匀强电场中的a、b两点

试题详情>>

6.列车提速的一个关键技术问题是提高机车发动机的功率。已知匀速运动时,列车所受阻力与速度的平方成正比,即6ec8aac122bd4f6e.设提速前速度为80 km/h,提速后速度为120 km/h,则提速前与提速后机车发动机的功率之比为 

试题详情>>

A.6ec8aac122bd4f6e                         B.6ec8aac122bd4f6e                         C.6ec8aac122bd4f6e                    D.6ec8aac122bd4f6e

试题详情>>

7.图中虚线是某一静电场中的一簇等势线,若不计重力的带电粒子从a点射入电场后恰能沿图中的实线运动,b点是其运动轨迹上的另一点,则下述判断正确的是

试题详情>>

A.b点的电势一定高于a点

B.b点的场强一定大于a点

C.带电粒子一定带正电

D.带电粒子在b点的速率一定小于在a点的速率

试题详情>>

8.如图所示,地面上某区域存在着竖直向下的匀强电场,一个质量为m的带负电的小球以水平方向的初速度v0由O点射入该区域,刚好通过竖直平面中的P点,已知连线OP与初速度方向的夹角为45°,则此带电小球通过P点时的动能为

试题详情>>

A.6ec8aac122bd4f6e                B.6ec8aac122bd4f6e/2                  C.26ec8aac122bd4f6e               D.56ec8aac122bd4f6e/2

试题详情>>

9.我国正在自主研发“北斗二号”地球卫星导航系统,此系统由中轨道、高轨道和同步卫星等组成,可将定位精度提高到“厘米”级,会在交通、气象、军事等方面发挥重要作用.已知三种卫星中,中轨道卫星离地最近,同步卫星离地最远.则下列说法中正确的是:

A.中轨道卫星的线速度大于高轨道卫星的线速度

B.中轨道卫星的角速度小于同步卫星的角速度

C.若一周期为8h的中轨道卫星,某时刻在同步卫星的正下方,则经过24h仍在该同步卫星的正下方

D.高轨道卫星的向心加速度小于同步卫星的向心加速度

试题详情>>

10.如图所示,将倾角为30°的斜面体置于水平地面上,一根不可伸长的轻绳两端分别系着小球A和物块B,跨过固定于斜面体顶端的光滑支点O。已知A的质量为m,B的质量为4m 现用手托住A,使OA段绳恰处于水平伸直状态(绳中无拉力),OB绳平行于斜面,此时物块B恰好静止不动。将 A由静止释放,在其下摆过程中,斜面体与物块B始终保持静止,下列判断中正确的是

试题详情>>

A.物块B受到的摩擦力先减小后增大

B.物块B受到的摩擦力不变

C.小球A与地球组成的系统机械能守恒

D.小球A与地球组成的系统机械能不守恒

第II卷(笔答题  共60分)

试题详情>>

11.(4分)某同学课外研究平抛物体的运动,并将实验中测出的两物理量Q和S 数值填表如下,Q 和S 的单位相同但没有写出。(g=10m/s2

Q

试题详情>>

1.25

(1)上表中Q表示的物理量是            ;S 表示的物理量是           

(2)若上表中Q和S 用的都是国际单位制中的单位,则平抛物体的水平速度为        

试题详情>>

12、(6分)在“探究力做功与动能改变的关系”实验中,某实验小组采用如图甲所示的装置.实验步骤如下:

试题详情>>

①把纸带的一端固定在小车的后面,另一端穿过打点计时器

②改变木板的倾角,以重力的一个分力平衡小车及纸带受到的摩擦力

③用细线将木板上的小车通过一个定滑轮与悬吊的砂桶相连

④接通电源,放开小车,让小车拖着纸带运动,打点计时器就在纸带上打下一系列的点

⑤测出s、s1、s2(如图乙所示),查得打点周期为T.

试题详情>>

(1)判断重力的一个分力是否已与小车及纸带受到的摩擦力平衡的直接证据是_____;

(2)本实验还需直接测量的物理量是:___________________________.(并用相应的符号表示)

(3)探究结果的表达式是______________________________________.(用相应的符号表示)

试题详情>>

13.(8分)某同学用如图所示装置做探究“弹簧伸长和所受拉力关系”的实验.他先在弹簧下端挂上一个钩码,然后逐个增加钩码,测出弹簧下端指针对应所指的标尺刻度,所得数据列表如下:

钩码重G/N

试题详情>>

5.00

标尺刻度x/102m

试题详情>>

38.60

(1)根据所测数据,该同学已在坐标上描出了相应的点,如下图所示.请你在坐标上作出弹簧指针所指的标尺刻度与钩码重的关系曲线.

试题详情>>

(2)根据关系曲线可确定:

弹簧伸长与所受拉力成              关系.这根弹簧的劲度系数为          N/m,原长为        cm。

试题详情>>

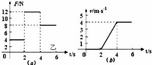
14.(10分)一物块在粗糙水平面上,受到的水平拉力F随时间t变化如图(a)所示,速度v随时间t变化如图(b)所示(g=10m/s2)。求:

试题详情>>

(1)1秒末物块所受摩擦力f的大小。

(2)物块质量m。

(3)物块与水平面间的动摩擦因数μ。

试题详情>>

15.(10分)我国月球探测计划“嫦娥工程”将分三个阶段实施,大约用十年左右时间完成,这极大的提高了同学们对月球的关注程度。以下是某同学就有关月球的知识设计的两个问题,现请你解答:

(1)若已知地球半径为R,地球表面的重力加速度为g,月球绕地球运动的周期为T,且把月球绕地球的运动近似看做是匀速圆周运动。试求出月球绕地球运动的轨道半径。

(2)若某位宇航员随登月飞船登陆月球后,在月球表面某处以速度v0竖直向上抛出一个小球,经过时间t,小球落回到抛出点。已知月球半径为R,万有引力常量为G。试求出月球的质量M

试题详情>>

16.(11分)质量m=2.0×10-4kg、电荷量q=1.0×10-6C的带正电微粒静止在空间范围足够大的匀强电场中,电场强度大小为E1.在t=0时刻,电场强度突然增加到E2=4.0×103N/C,场强方向保持不变.到t=0.20s时刻再把电场方向改为水平向右,场强大小保持不变.取g=10m/s2.求:

(1)原来电场强度E1的大小?

试题详情>>

(2)t=0.20s时刻带电微粒的速度大小?

(3)带电微粒运动速度水平向右时刻的动能多大?

试题详情>>

17.(11分)如图所示,滑块质量为m,与水平地面间的动摩擦因数为0.1,它以6ec8aac122bd4f6e 的初速度由A点开始向B点滑行,AB=5R,并滑上光滑的半径为R的6ec8aac122bd4f6e圆弧BC,在C点正上方有一离C点高度也为R的旋转平台,沿平台直径方向开有两个离轴心距离相等的小孔P、Q,旋转时两孔均能达到C点的正上方。若滑块滑过C点后P孔,又恰能从Q孔落下,则平台转动的角速度ω应满足什么条件

试题详情>>
关闭