1.某物体以30 m/s的初速度竖直上抛,不计空气阻力,g10m/s2。5 s内物体的(       )

A.路程为65 m                                B.位移大小为25 m,方向向上

C.速度改变量的大小为10 m/s                  D.平均速度大小为13 m/s,方向向上

试题详情>>

2.汽车进行刹车试验,若速度从8 m/s匀减速到零所用的时间为1 s,按规定速率为8 m/s的汽车刹车后位移不得超过5.9 m,那么上述刹车试验是否符合规定                  (    )

A.位移为8 m,符合规定                     B.位移为8 m,不符合规定

C.位移为4 m,符合规定                      D.位移为4 m,不符合规定

试题详情>>

3.做匀加速直线运动的物体,依次通过A、B、C三点,位移xAB=xBC,已知物体在AB段的平均速度大小为3 m/s,在BC段的平均速度大小为6 m/s,那么,物体在B点的瞬时速度的大小为                                                                                                        (    )

试题详情>>

A.4 m/s               B.4.5 m/s          C.5 m/s               D.5.5 m/s

试题详情>>

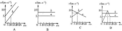
4.在2008年北京奥运会上,两艘赛艇a、b在两条平行的直赛道上行驶.它们在四次比赛中的v一t图象如图所示,其中能够表示其所对应的比赛中有一艘赛艇始终没有追上另一艘的图象是                                                                                                            (    )

试题详情>>

5.如图所示,A、B两个相同的长方体物块并排放在光滑的水平面上,长方体物块C叠放在A、B上;D物体悬挂在竖直线下端,且与光滑斜面接触.若所有的接触面均光滑且各物体都处于静止状态,则下列说法中正确的是                                                      (    )

试题详情>>

A.B对A的弹力方向水平向左

B.D与斜面接触时,斜面未发生形变

C.B对地面的压力大小等于B自身的重力

D.C受到竖直向上的弹力是由C发生微小形变产生的

试题详情>>

6.如图所示,放在斜面上的物体处于静止状态,斜面倾角为30°,物体质量为m,若想使物体沿斜面从静止开始下滑,至少需要施加平行斜面向下的推力F=0.2mg,则    (    )

试题详情>>

    A.若F变为大小0.1mg沿斜面向下的推力,则物体与斜面的摩擦力是0.1mg

试题详情>>

    B.若F变为大小0.1mg沿斜面向上的推力,则物体与斜面的摩擦力是0.2mg

试题详情>>

    C.若想使物体沿斜面从静止开始上滑,F至少应变为大小1.2mg沿斜面向上的推力

试题详情>>

    D.若F变为大小0.8mg沿斜面向上的推力,则物体与斜面的摩擦力是0.7mg

试题详情>>

7.如图所示,AO、BO、CO是三条完全相同的细绳,并将钢梁水平吊起,若钢梁足够重时,绳AO先断,则                                                                                                   (    )

试题详情>>

    A.=120°      B.>120°       C.<120°      D.不论为何值,AO总先断

试题详情>>

8.如图所示,在倾角为的固定光滑斜面上,质量为m的物体受外力F1和F2的作用,Fl方向水平向右,F2方向竖直向上.若物体静止在斜面上,则下列关系正确的是       (    )

试题详情>>

    A.F1 sin+F2 cos=mgsin,F2≤mg

试题详情>>

    B.F1 cos+F2 sin=mgsin,F2≤mg

试题详情>>

    C.Fl sin―F2 cos=mgsin,F2≤mg

试题详情>>

    D.Fl cos―F2 sin=mgsin,F2≤mg

试题详情>>

9.半圆柱体P放在粗糙的水平地面上,其右端有固定放置的竖直挡板MN。在P和MN之间放有一个光滑均匀的小圆柱体Q,整个装置处于静止状态,如图所示.若用外力使MN保持竖直,缓慢地向右移动,在Q到达地面以前,P始终保持静止.在此过程中,下列说法正确的是                                                                                                          (    )

试题详情>>

A.MN对Q的弹力逐渐增大                          B.地面对P的摩擦力逐渐增大

C.P、Q间的弹力先减小后增大                     D.Q所受的合力逐渐增大

试题详情>>

10.如图所示,弹簧的一端固定在竖直墙上,质量为m的光滑弧形槽静止在光滑水平面上,底部与水平面平滑连接,一个质量也为m的小球从槽高h处开始自由下滑                (    )

试题详情>>

A.在以后的运动过程中,小球和槽的动量始终守恒

B.在下滑过程中小球和槽之间的相互作用力始终不做功

C.被弹簧反弹后,小球和槽都做速率不变的直线运动

D.被弹簧反弹后,小球和槽的机械能守恒,小球能回到槽高h处

试题详情>>

11.如图所示为氢原子的四个能级,其中E1为基态,若氢原子A处于激发态E2,氢原子B处于激发态E3,则下列说法正确的是                                                                (    )

试题详情>>

A.原子A可能辐射出3种频率的光子

B.原子B可能辐射出3种频率的光子

C.原子A能够吸收原子B发出的光子并跃迁到能级E4

D.原子B能够吸收原子A发出的光子并跃迁到能级E4

试题详情>>

12.下列说法正确的是                                                                                           (  )

    A.γ射线在电场和磁场中都不会发生偏转

    B.β射线比α射线更容易使气体电离

    C.太阳辐射的能量主要来源于重核裂变

    D.核反应堆产生的能量来自轻核聚变

试题详情>>

13.某同学用图1所示的实验装置研究小车在斜面上的运动。实验步骤如下:

a.安装好实验器材。

试题详情>>

b.接通电源后,让拖着纸带的小车沿平板斜面向下运动,重复几次。选出一条点迹比较清晰的纸带。舍去开始密集的点迹,从便于测量的点开始,每两个打点间隔取一个计数点,如图2中0、1、2……6。

试题详情>>

c.测量1、2、3……6计数点到0计数点的距离,分别记作:x1、x2、x3……x6

d.通过测量和计算,该同学判断出小车沿平板做匀加速直线运动。

试题详情>>

e.分别计算出x1、x2、x3……x6与对应时间的比值……

试题详情>>

f.以为纵坐标、t为横坐标,标出与对应时间t的坐标点,画出一t图线。

试题详情>>

结合上述实验步骤,请你完成下列任务:

①(2分)实验中,除打点计时器(含纸带、复写纸)、小车、平板、铁架台、导线及开关外,在下面的仪器和器材中,必须使用的有              。(填选项代号)

      A.电压合适的50 Hz交流电源              B.电压可调的直流电源

      C.刻度尺                 D.秒表              E.天平              F.重锤

试题详情>>

②(2分)将最小刻度为1mm的刻度尺的0刻线与0计数点对齐,0、l、2、5计数点所在位置如图3所示,则x2=      cm,x5=      cm。

试题详情>>

③(4分)该同学在图4中已标出1、3、4、6计数点对应的坐标点,请你在该图中标出与2、5两个计数点对应的坐标点,并画出一t图线.

试题详情>>

④(4分)根据一t图判断,它在斜面上运动的加速度a=       m/s2(结果保留到小数点后两位)

试题详情>>

14.(8分)如图所示,质量为6kg的木块静止在水平桌面上,木块与桌面间的动摩擦因数为μ=0.5。现用与水平方向成37°角的斜向下的推力推木块,木块匀速前进,求该推力的大小。(g=10N/kg,sin37°=0.6,cos37°=0.8)

试题详情>>

15.(10分)如图所示,轻杆BC的C点用光滑铰链与墙壁固定,杆的B点通过水平细绳AB使杆与竖直墙壁保持30°的夹角。若在B点悬挂一个定滑轮(不计重力),某人用它匀速地提起重物。已知重物的质量m=30 kg,人的质量M=50kg,g取10 m/s2.试求:

试题详情>>

      (1)此时地面对人的支持力;

      (2)轻杆BC和绳AB所受的力

试题详情>>

16.(10分)如图所示,小球甲从倾角θ=30°的光滑斜面上高h=5 cm的A点由静止释放,同时小球乙自C点以速度v0沿光滑水平面向左匀速运动,C点与斜面底端B处的距离L=0.04m,甲下滑到B点无机械能损失,然后朝乙追去,甲释放后经过t=1 s刚好追上乙,求乙的速度V0

试题详情>>

17.(12分)如果公路上有一列汽车车队以10 m/s的速度正在匀速行驶,相邻车间距离为25 m,后面有一辆摩托车以20 m/s的速度同向行驶,当它距离车队最后一辆车25 m时刹车,以0.5m/s2的加速度做匀减速运动,摩托车在车队旁边行驶而过,设车队车辆数n足够大,求:

(1)摩托车最多与几辆汽车相遇?最多与车队中汽车相遇几次?

(2)摩托车从赶上车队到离开车队,共经历多长时间?

试题详情>>
关闭