14.一辆汽车在水平公路上沿曲线由行驶,汽车速度逐渐增大。下列四图分别画出了汽车转弯时所受合力的方向,你认为正确的是(    )

试题详情>>

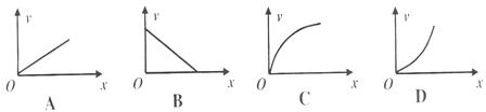
15.假设在平直公路上行驶的老式汽车紧急刹车时,汽车向前作匀减速直线运动,直到静止。同一汽车刹车时的速度不同,滑行距离也不同。下列图象中能反映出同一汽车在同一路面上紧急刹车时,汽车速度与滑行距离关系的是(    )

试题详情>>

16.如图所示,一理想变压器原线圈匝数匝,副线圈匝数匝,原线圈中接一交变电源,交变电压。副线圈中接一电动机,电阻为。电流表示数为。交流电表对电路的影响可忽略不计,则(    )

试题详情>>

A.此交流电的频率为                        B.电压表示数为

试题详情>>

    C.电流表示数为                                D.此电动机的输出功率为

试题详情>>

17.如图所示,三个小球分别用三根绝缘细线悬挂在同一点,细线的长度关系,让三球带电后它们静止在图中所示位置。此时细线沿竖直方向,连线恰构成一等边三角形,则下列说法正确的是(    )

试题详情>>

    A.三球质量一定相等

试题详情>>

    B.三球电荷量一定相等

试题详情>>

    C.细线所受拉力大小一定相等

试题详情>>

D.三球所受静电力大小一定相等

试题详情>>

18.一列简谐横波沿轴正方向传播,为波源,如图所示是波源开始振动后时的波形图,则下列判断正确的是(    )

试题详情>>

     A.这列波的周期为,振幅为

试题详情>>

    B.这列波的波速为,波长为

试题详情>>

    C.再经过处质点的位置坐标为

试题详情>>

    D.再经过处的质点第一次到达波谷

试题详情>>

19.氢原子能级如图所示,若氢原子发出两种频率的光,在真空中用同一装置做双缝干涉实验,分别得到干涉图样如图甲、乙所示。若光是氢原子由能级跃迁时发出的,则(    )

试题详情>>

A.图中的“”表示电压值

试题详情>>

    B.光可能是从能级跃迁时发出的

试题详情>>

    C.光在水中的传播速度小于光在水中的速度

试题详情>>

    D.若用光以角从玻璃射向空气恰好发生全反射,则光以同样的入射角从玻璃射向空气不能发生全反射

试题详情>>

20.如图所示,两个水平放置的很大的带电金属板间,一长为的绝缘细线一端固定在点,另一端栓着一个质量为、带有一定电量的小球,假设所带电量对板上电荷分布影响忽略不计。小球原来静止,当给小球某一初速度后,它可绕点在竖直平面内做匀速圆周运动,则(    )

试题详情>>

A.小球一定带负电

B.从最低点到最高点小球电势能减小

C.从最低点到最高点小球机械能增加

试题详情>>

D.在最低点时,小球重力的瞬时功率为

试题详情>>

21.如图所示,是位于水平面内的平行金属导轨,间距为,其电阻可忽略不计,间连接着一个阻值为的电阻,为一个垂直于的金属杆,它与接触良好并沿轨道方向无摩擦滑动,阻值为。整个装置处于匀强磁场中,磁场方向垂直于图中纸面向里,磁感应强度,当施拉力使杆以速度匀速运动时,下列说法正确的是(    )

试题详情>>

    A.当向右运动时,两点间电压为

试题详情>>

    B.当向左运动时,受到的安培力方向向右,大小为

试题详情>>

    C.经时间,电阻上产生的电热为

试题详情>>

    D.施加于上的拉力的功率为

第Ⅱ卷 (非选择题  共174分)

注意事项:

试题详情>>

1.用黑色字迹的签字笔或钢笔将答案写在答题纸上,不能答在试题卷上。

试题详情>>

2.在答题纸上作图,可使用2B铅笔,确定后必须使用黑色字迹的签字笔或钢笔描黑。

试题详情>>

22.(18分)

试题详情>>

I.(6分)用三棱镜做测定玻璃折射率的实验,先在白纸上放好三棱镜,在三棱镜的一侧插上两枚大头针,然后在三棱镜的另一侧观察,调整视线使的像被挡住,接着在眼睛所在的一侧插两枚大头针,使挡住的像,使挡住的像,在纸上标出大头针的位置和三棱镜轮廓如图所示。

试题详情>>

(1)在答题纸对应的图中画出所需光路。

    (2)如果只用一把三角尺,如何测出此玻璃的折射率?

试题详情>>

    请作简要回答,并在答题纸对应的图中标上适当的字母,写出折射率的表达式。

                               

试题详情>>

Ⅱ.(12分)测量一电源的电动势和内电阻约为约为)。器材:

试题详情>>

    A:量程的电压表(内阻很大,对电路的影响可以忽略不计)

试题详情>>

    B:量程为的电压表(内阻很大,对电路的影响可以忽略不计)

试题详情>>

    C:量程为的电流表(具有一定内阻)

试题详情>>

    D:量程为的电流表(具有一定内阻)

试题详情>>

E:定值电阻

试题详情>>

滑动变阻器、电建K、导线若干

(1)要求尽可能提高实验精度,画出实验电路原理图

试题详情>>

    (2)电路中电压表选       ,电流表选           。(填字母代号)

试题详情>>

    (3)实验中,当电流表读数为时电压表读数为;当电流表读数为时电压表读数为,则可以求出             。(用表示)

试题详情>>

23.(14分)2008年9月25日21时10分04秒,我国自行研制的神舟七号载人飞船由长征二号F型运载火箭点火,在酒泉卫星发射中心发射升空。飞船一般是由运载火箭点火发射后送入其运行轨道的。其发射后的飞行过程大致可分为:垂直加速阶段,惯性飞行阶段和进入轨道阶段。如图所示:

试题详情>>

(1)假定飞船的运行轨道为圆轨道,它的轨道半径为地球半径的4倍,则它运行的速度大小为多少?

试题详情>>

(2)设某次发射过程中,把一在地球表面重为的物体,放置在飞船中。在飞船垂直加速上升的过程中,测得飞船加速度时物体与飞船中的支持面间相互作用力为,飞船此时距地面的高度为多少?(已知地球的半径,取

试题详情>>

24.(18分)如图所示,长,质量的薄木板静止放在粗糙水平面上。薄木板与地面之间的动摩擦因数为。质量的小物块(可看做质点)放在木板右侧,木板与物块的动摩擦因数。现对木板施加一水平向右拉力,设最大静摩擦力等于滑动摩擦力,取

试题详情>>

    (1)如果用拉力拉木板,求2秒内小滑块的位移;

试题详情>>

    (2)如果拉力恒定不变,求小物块离开薄木板时小物块的动能;

试题详情>>

(3)如果拉力恒定不变,求在2秒钟之内小物块与薄木板之间产生的内能。

试题详情>>

25.(22分)如图所示,与纸平面平行的平面内有一带电粒子以某一初速度做直线运动,一段时间后进入一垂直于纸面向里的圆形匀强磁场区域(图中未画出)。粒子飞出磁场后从上板边缘平行于板面进入两面平行的金属板间,两金属板带等量异种电荷,粒子在两板间经偏转后恰从下板右边缘飞出。已知带电粒子质量为,电量为,其重力不计,粒子进入磁场前的速度方向与带电板成角。匀强磁场的磁感应强度为,带电金属板长,板间距,板间电压为。则:

    (1)上金属板带何种电荷?

    (2)粒子刚进入金属板间的速度为多大?

(3)圆形磁场区域的最小面积为多大?

试题详情>>
关闭