1.关于热量和温度,下列说法中正确的是

A.热量是热传递过程中物体间内能的转移量,温度是物体分子平均动能大小的量度

B.温度不同的两块金属接触时,温度高的物体放出温度、温度低的物体吸收温度

C.高温物体的内能比低温物体的内能多

D.两个质量和比热容都相等的物体,若吸收相等热量,则它们的温度相等

试题详情>>

2.用很薄的玻璃片制作而成的一个空气三棱镜,横截面为等边三角形,浸没在水中(如下图)。一束由两种单色光混合而成的光线与BC边平行,从水中入射到AB边的Q点,进入空气之后,都改变了传播方向

试题详情>>

A.均向上偏折,偏折角小的单色光光子能量较大

B.均向下偏折,偏折角小的单色光光子能量较大

C.均向上偏折,偏折程度较大的单色光光子能量较大

D.均向下偏折,偏折程度较大的单色光光子能量较大

试题详情>>

3.为治理煤粉尘污染,在烟囱内安装了静电除尘装置如下图所示,现有如下电源,除尘装置应安装

A.36V蓄电池                                                B.220V交流电源

C.1000V高压直流电源                                  D.1000V交流电源

试题详情>>

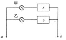
4.如下图所示,甲、乙是规格相同的灯泡,接线柱接电压为U的直流电源时,无论电源的正极与哪一个接线柱相连,甲灯均能正常发光,乙灯完全不亮。当接电压的有效值为U的交流电源时,甲灯发出微弱的光,乙灯能正常发光,则下列判断正确的是

试题详情>>

A.与甲灯串联的元件是电容器,与乙灯串联的元件是电感线圈

试题详情>>

B.与甲灯串联的元件是电感线圈,与乙灯串联的元件是电容器

试题详情>>

C.与甲灯串联的元件是二极管,与乙灯串联的元件是电容器

试题详情>>

D.与甲灯串联的元件是电感线圈,与乙灯串联的元件是二极管

试题详情>>

5.若以抛出点为起点,取初速度方向为水平位移的正方向,则如下图所示能正确描述做平抛运动物体的水平位移随时间变化关系的图像是

试题详情>>

6.假设地面附近空中有一S极磁单极子,在竖直平面内的磁感线,如下图所示。一带电小球正在该磁单极子附近的某个平面做匀速圆周运动,图中①②③表示三个不同的水平面,则该小球所在平面可能是

试题详情>>

A.①                       B.②                          C.③                          D.都不可能

试题详情>>

7.将质量为M的木块固定在光滑水平面上,一颗质量为的子弹以速度沿水平方向射入木块,子弹射穿木块时的速度为,现将同样的木块放在光滑的水平桌面上,相同的子弹仍以速度沿水平方向射入木块。若,则子弹

A.能够射穿木块

B.不能射穿木块,子弹将留在木块中,一起以共I司的速度做匀速运动

C.刚好能射穿木块,此时相对速度为零

试题详情>>

D.若子弹以速度射向木块,并从木块中穿出,木块获得的速度为;若子弹以 速度射向木块,木块获得的速度为,则必有

试题详情>>

8.正电子是电子的反粒子,它跟普通电子电荷量相等,而电性相反,科学家设想在宇宙的某些部分可能存在完全由反粒子构成的物质――反物质。1997年初和年底,欧洲和美国的科学研究机构先后宣布:他们分别制造出9个和7个反氢原子。这是人类探索反对物质的一大进步,你推测反氢原子的结构不可能的是

A.由一个不带电的中子与一个带负电荷的电子构成

B.由一个带负电荷的质子与一个带负电荷的电子构成

C.一个带正电荷的质子与一个带负电荷的电子构成

D.一个带负电荷的质子和一个带正电荷的电子构成

试题详情>>

9.2005年10月12日,“神舟六号”飞船顺利升空入轨。14日5时56分,“神舟六号”飞船进行轨道维持,飞船发动机点火工作了6.5s.所谓“轨道维持”就是通过控制飞船上发动机的点火时间和推力的大小和方向,使飞船能保持在预定轨道上稳定运行。如果不进行轨道维持,由于飞船受轨道上稀薄空气的摩擦阻力,轨道高度会逐渐缓慢降低,在这种情况下,下列说法中正确的是

A.飞船受到的万有引力逐渐增大、线速度逐渐减小

B.飞船的向心加速度逐渐增大、周期逐渐减小、线速度和角速度都逐渐增大

C.飞船的动能、重力势能和机械能都逐渐减小

D.重力势能逐渐减小,动能逐渐增大,机械能逐渐减小

试题详情>>

10.如下图所示,为用一原、副线圈匝数比为2┱1的理想变压器给灯泡供电电路,电表均为理想的,所有连接导线电阻不计,当MN两端输入V的交流电,则

A.灯泡中1s内电流方向变化50次

B.电压表的示数为110V

C.若在A1与灯泡中间串联一个二极管,电流表A1、A2的示数将变小,电压表V的示数不变

试题详情>>

D.若在A1与灯泡中间串联一个二极管,流过灯泡中电流的周期变为0.01

试题详情>>

11.如下图所示,在粗糙斜面顶端固定轻弹簧的一端,另一端挂一物体,物体在A点处于平衡状态。现用平行于斜面向下的力拉物体,第一次直接拉到B点;第二次将物体先拉到C点,再回到B点,在这两次过程中,以下正确的是

试题详情>>

A.重力势能的改变量相等                             B.弹性势能的改变量相等

C.摩擦力对物体做的功相等                          D.弹簧弹力对物体做的功相等

试题详情>>

12.将一单摆装置竖直悬挂于某一深度为(未知)且开口向下的小筒中(单摆的下部分露于筒外),如下图甲所示,将悬线拉离平衡位置一个小角度后由静止释放,设单摆振动过程中悬线不会碰到筒壁,如果本实验的长度测量工具只能测量出筒的下端口到摆球球心之距离,并通过改变而测出对应的摆动周期,再以为纵轴、为横轴做出函数关系图像,那么就可以通过此图像得出小筒的深度和当地的重力加速度。

试题详情>>

(1)现有如下测量工具:A.时钟;B.秒表;C.天平;D.毫米刻度尺。本实验所需的测量工具有                                      

试题详情>>

(2)如果实验中所得到的关系图像如图乙所示,那么真正的图像应该是中的                       

试题详情>>

(3)由图像可知,小筒的深度                       m;当地                      m/s2

试题详情>>

13.实验室中现有器材如实物图所示,有:

试题详情>>

电池E,电动势约10V,内阻约1

试题详情>>

电流表A1,量程10A,内阻约为0.2

试题详情>>

电流表A2,量程300 mA,内阻约为5

试题详情>>

电流表A3,量程250 mA,内阻约为5

试题详情>>

电阻箱R1,最大阻值999.9,阻值最小改变量为0.1

试题详情>>

滑线变阻器R2,最大阻值100;开关S,导线若干。

要求用图所示的电路测定图中电流表A的内阻。

试题详情>>

(1)在所给的三个电流表中,哪几个可用此电路精确测出其内阻?

(2)在可测的电流表中任选一个作为测量对象,在实物图上连成测量电路。

(3)你要读出的物理量是                ,用这些物理量表示待测内阻的计算公式是                               

试题详情>>

14.如下图(甲)所示,有一根玻璃管,内径为,外径为,折射率为,图(乙)是它的截面,有一束光线从玻璃管的外侧面上的A点垂直于玻璃管中心轴线射入,如图(乙)所示。

试题详情>>

(1)试求入射角应满足什么条件才能使该光线不会进入玻璃管中间的空心部分;

试题详情>>

(2)若入射角为60°,则有无光线从玻璃管的外壁射出玻璃管?如果有,请求出有光线射出的位置有几处,并求各处射出的光线与A点人射光线的夹角多大?如果没有,请说明理由。

试题详情>>

15.一辆摩托车能达到的最大速度为30m/s,要想在3min内由静止起沿一条平直公路追上在前面100m处正以20m/s的速度匀速行驶的汽车,则摩托车必须以多大的加速度起动?

甲同学的解法是:设摩托车恰好在3min时追上汽车,则:

试题详情>>

,代入数据得:

乙同学的解法是:设摩托车追上汽车时,摩托车的速度恰好是30m/s,则:

试题详情>>

,代入数据得:

你认为他们的解法正确吗?若错误,请说明理由,并写出正确的解法。

试题详情>>

16.经过用天文望远镜长期观测,人们在宇宙中已经发现了许多双星系统,通过对它们的研究,使我们对宇宙中物质的存在形式和分布情况有了较深刻的认识,双星系统由两个星体组成,其中每个星体的线度都远小于两星体之间的距离,一般双星系统距离其他星体很远,可以当作孤立系统来处理。

现根据对某一双星系统的光度学测量确定:该双星系统中每个星体的质量都是M,两者相距L,它们正围绕两者连线的中点做圆周运动。

试题详情>>

(1)试计算该双星系统的运动周期

试题详情>>

(2)若实验中观测到的运动周期为,且。为了理解的不同,目前有一种流行的理论认为,在宇宙中可能存在一种望远镜观测不到的暗物质。作为一种简化模型,我们假定在以这两个星体连线为直径的球体内均匀分布这种暗物质,若不考虑其他暗物质的影响,请根据这一模型和上述观测结果确定该星系间这种暗物质的密度。

试题详情>>

17.如下图所示,声源S和观察者A都沿轴正方向运动,相对于地面的速度分别为,空气中声音传播的速率为,设,空气相对于地面没有流动。

试题详情>>

(1)若声源相继发出两个声音信号,时间间隔为。请根据发出的这两个声信号从声源传播到观察者的过程,确定观察者接收到这两个声音信号的时间间隔出

(2)利用(1)的结果,推导此情形下观察者接收到的声波频率和声源放出的声波频率间的关系式。

试题详情>>

18.如下图甲所示,相距很小的平行金属板M接地,N接乙图的电压,S1、S2为正对的小孔,N右侧有两个宽度均为、方向相反的匀强磁场区域,磁感应强度均为B,磁场区域右侧有一个荧光屏,取O点为原点,向上为正方向建立轴,电子枪发射的热电子(初速度不计)经小孔S1进入两板间,电子的质量为,电荷量为

试题详情>>

(1)求从小孔S2射出的电子的最大速度

试题详情>>

(2)若M、N电势差为时,电子恰好不能打到荧光屏上,求的表达式?

(3)在满足(2)的条件下,求荧光屏的发光区间?

试题详情>>

19.如下图所示,质量的带有小孔的塑料块沿斜面滑到最高点C时速度恰为零,此时与从A点水平射出的弹丸相碰,弹丸沿着斜面方向进入塑料块中,并立即与塑料块有相同的速度。已知A点和C点距地面的高度分别为:m,m,弹丸的质量,水平初速度,取。求:

试题详情>>

(1)斜面与水平地面的夹角。(可用反三角函数表示)

(2)若在斜面下端与地面交接处设一个垂直于斜面的弹性挡板,塑料块与它相碰后的率等于碰前的速率,要使塑料块能够反弹回到C点,斜面与塑料块间的动摩擦因数可为多少?

试题详情>>
关闭