1.设全集,集合,则实数的值为

     A.-3          B.1           C.-3或1         D.3或-1

试题详情>>

2.若,则的值为

试题详情>>

A.           B.            C.           D. 

试题详情>>

3.已知,则“”,“”是的

A.充分不必要条件             B.必要不充分条件

C.充要条件                   D.既不充分也不必要条件

试题详情>>

4. 已知等差数列的前项和为,则过点的直线

的斜率为

  A.4              B.-28            C.-4          D.-14

试题详情>>

5.已知平面平面,直线,直线,直线

试题详情>>

 下列四种位置关系中,不一定成立的是

试题详情>>

     A.          B.         C.         D.

试题详情>>

6.双曲线的左、右焦点分别是F1、F2,过F1作倾斜角为300的直线交叉曲线右支于M点,若MF2垂直于轴,则双曲线的离心率为

试题详情>>

A.                 B.              C.        D.

试题详情>>

7.函数的最小正周期为,若其图象向左平移个单位后得到的函数为奇函数,则函数的图像

试题详情>>

     A.关于点对称              B.关于点对称 

   

 

试题详情>>

 C.关于直线对称            D.关于直线对称

试题详情>>

8.若不等式组,(为常数)表示的平面区域的面积是8,则的最小值为

试题详情>>

      A.        B.          C.0             D.

试题详情>>

9.若点的边上,且

试题详情>>

      A.              B.          C.1             D.0

试题详情>>

10.由4名男生2名女生共6名志愿者组成的服务队义务参加某两项不同的活动,他们自由分成两组,每组参加一项活动,要求每组最多4人且女生不单独成组,组不同的安排方式有

    A.36种          B.48种          C.60种         D.68种

试题详情>>

11.在平行六面体ABCD-A1B1C1D1中,若AA1=1.,则直线A1D1到平面ABCD的距离为

试题详情>>

A.1              B.           C.          D.

试题详情>>

12.曲线C的方程是,设圆M过点,且圆心M在曲线C上,EG是圆M在轴上截得的弦,当M运动时,弦长

A.等于4          B.等于3          C.等于2         D.不为定值

第Ⅱ卷

注意事项:

试题详情>>

    1.请用直径0.5毫米黑色墨水签字笔在答题卡上各题的答题区域内作答,在试题卷上作答无效

试题详情>>

    2.本卷共10小题,共90分

试题详情>>

13.的二项展开式中的系数为,则实数______________。

试题详情>>

14.某班有学生52人,现用系统抽样的方法,抽取一个容量为4的样本,已知座位号分别为6,32,45的同学都在样本中,那么样本中另一位同学的座位号应该是          

试题详情>>

15.若函数存在反函数,且函数的图像过点(3,11),则函数的图像一定过点____________。

试题详情>>

16.已知的等比中项,则的取值范围为_________。

试题详情>>

17.已知函数的图像上两相邻最高点的坐标分别为

试题详情>>

(I)求的值;

试题详情>>

(Ⅱ)在中,分别是角的对边,且的值。

 

试题详情>>

18. 如图,在矩形中,的中点,以为折痕将

试题详情>>

上折起。使,且平面

试题详情>>

(I)求证:

试题详情>>

(Ⅱ)求直线与平面所成角的大小。

试题详情>>

19.美国次贷危机引发2008年全球金融动荡,波及中国两大股市.甲、乙、丙三人打算趁股市低迷之际投资股市,三人商定在圈定的10支股票中各自独立随即购买一支。

(I)求甲、乙两人买到的股票互不相同的概率;

(Ⅱ)求甲乙丙三人至少有两人买到同一支股票的概率。

 

 

 

试题详情>>

20.设函数

试题详情>>

(I)求函数的单调区间;

试题详情>>

(II)若函数在区间内没有极值点,求实数的取值范围。

 

 

 

 

 

 

 

 

 

 

 

试题详情>>

21.已知数列中,,记

试题详情>>

(I)求,并证明数列是等比数列

试题详情>>

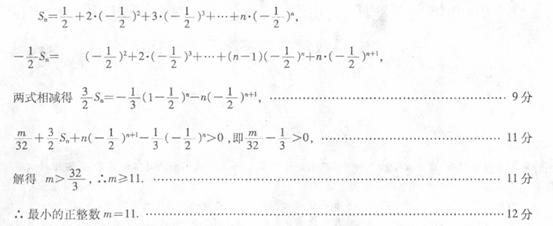
(II)记,若对任意正整数,不等式

试题详情>>

恒成立,求最小正整数

 

 

 

 

 

 

 

 

 

 

 

 

 

 

试题详情>>

22. 已知椭圆过点),且离心率

试题详情>>

(I)求椭圆的方程;

试题详情>>

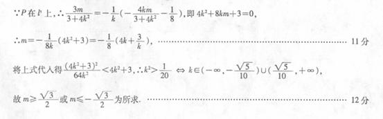
(Ⅱ)设若椭圆上存在横坐标不同的两点,使,且共线,求实数的取值范围。

 

 

 

 

 

 

 

 

 

 

 

 

 

 

 

 

试题详情>>

 

 

 

 

 

试题详情>>

 

 

 

 

 

试题详情>>

 

 

 

 

试题详情>>
关闭