1.农业生产中供应作物生长的N素可以是有机肥(农家肥)或无机肥料(NH+ 4、NO- 3),但施用有机肥具有较明显的增产效果。下列叙述不正确的是

   A.施用有机肥由于呈固态且需要微生物逐渐分解,因而可延长肥效

   B.有机肥中的N通常需要先经微生物分解再经硝化细菌的硝化作用才能被植物吸收

    C.施用有机肥可适当提高温度有利于根系生长

D.施用有机肥不仅可满足植物对N等矿质元素的需要,而且能为植物生长提供充足的能量

试题详情>>

2.下图为人体内血糖平衡调节的部分过程示意图,下列相关叙述不正确的是

试题详情>>

 

  A.激素甲是人体内唯一可以降低血糖浓度的激素

  B.下丘脑还可产生某种释放激素直接促进激素甲的分泌

  C.该调节过程包含了神经调节和体液调节两种方式

  D.缺乏激素甲的病人体内蛋白质供能的比例会增加

试题详情>>

3.如果一个生态系统中有4种生物,他们可能形成下列几种营养结构,其中抵抗力稳定性最大的是

试题详情>>

 

 

 

 

试题详情>>

4.下列有关生命活动的调节及免疫的说法,正确的是

A.切除下丘脑的动物丧失血糖调节能力

B.切除胸腺的幼年小鼠,其免疫功能丧失

C.人在拔牙时一般需注射局部麻醉药,使人感觉不到疼痛,原因是麻醉药阻断了传入神经的兴奋传导

D.人被生锈的铁钉扎破脚后,应该尽快注射破伤风抗毒素,其原因是破伤风抗毒素能够促

   进自身免疫作用

试题详情>>

5.植株甲是二倍体水稻。通过生物技术手段利用植株甲获得了植株乙,而后利用甲、乙植株又获得阿、丁两种植株。培育过程如下图所示。下列有关叙述正确的是

试题详情>>

 

 

 

 

 

 

 

 

 

 

   A.植株甲与植株乙正交和反交所得种子的种皮基因型相同

    B.植株丙与植株丁的染色体组数相同

    C.植株甲、乙、丙、丁均属于同一物种

    D.周中涉及的育种方式主要有多倍体育种和细胞工程育种

试题详情>>

6.食品检验是保证食品安全的重要措施,下列不属于食品安全检测指标的是

A.二氧化硫的含量              B.蛋白质的含量

C.亚硝酸盐的含量                D.三聚氰胺的含量

试题详情>>

7.下图为课本中的插图,下列操作不合理的是

 

 

 

 

 

A.切割钠    B.过氧化钠与水反应    C.钾的焰色反应    D.铜在氯气中燃烧

试题详情>>

8.短周期元素X、Y的原子序数相差2。下列有关叙述正确的是

A.X与Y不可能位于同一主族       B.X与Y一定位于同一周期

C.X与Y可形成分子晶体XY2         D.X与Y不能形成离子品体XY

试题详情>>

9.设NA表示阿伏加德罗常数的值,下列说法正确的是

A.18gD2O所含电子数目为10NA

B.1mol甲基中所含电子数为10NA

C.在标准状况下,含m molHCl的浓盐酸与足量MnO2反应可生成NAm/4个氯气分子

试题详情>>

 D.在标准状况下,22.4L以任意比混合的H2S与SO2混合气体中所含气体分子数必小于NA

试题详情>>

10.在烧杯甲中放人20gNa202,在烧杯乙中放人20g氢氧化钡与氯化铵的混合物,分别加入20mL水,搅拌,使它们溶解,然后把盛有适量乙醚液体的试管浸入烧杯甲的溶液中,用明火接近试管口,能产生黄色火焰,再把此试管浸入烧杯乙的溶液中,发现黄色火焰由长变短,直至熄灭。上述两实验可说明的是

①乙醚可燃②乙醚的沸点较低

③氢氧化钡与氯化铵混合能吸收大量热④Na202溶于水能放出大量的热

A.①②③    B.①③④    C.②③④    D.①②③④

试题详情>>

11.常温离子液体(Ionic Liquid)也称常温熔融盐。硝酸乙基铵[(C2H5NH3)NO3]是人类发现的第

一种常温离子液体,其熔点为12℃。已知C2H5NH2结合质子的能力比NH3略强,下列有关硝酸乙基铵的说法正确的是

A.可用作电池的电解质            B.冰溶液呈碱性

C.是共价化合物                  D.结构和性质类似于硝酸乙酯

试题详情>>

12.已知同温度下的溶解度:Zn(OH)2>ZnS,MgCO3>Mg(OH)2;就溶解或电离出S2-的能力而言,FeS>H2S>CuS,则下列离子方程式错误的是

A.Mg2++2HC0- 3+2Ca2++40H-9Mg(OH)2↓+2CaCO3↓+2H20

B.Cu2++H2S9CuS↓+2H+

C.Zn2++2H209Zn(OH)2↓+H2S↑

D.FeS+2H+9Fe2++H2S↑

13在一定温度下,恒压密闭容器M(如图I)和恒容密闭容器N(如图Ⅱ)中,分别加入1molA

和1molB,起始时两容器体积均为VL,发生如下反应并达到化学平衡状态:

试题详情>>

2A(?)+B(?)    xC(g)  △H<O

平衡时M中A、B、C的物质的量之比为l:3:4。下列判断正确的是

试题详情>>

 

 

 

 

A.x=4  

B.若N中气体的密度如图Ⅲ所示,则A、B有一种是气态

C.若A、B都为气体,则平衡时M、N中C的物质的量相等

D.若A、B均为气体,平衡时M中A的转化率小于N中A的转化率

试题详情>>

14.有一种核反应叫“轨道电子俘获”,它发生于核内中子数相对过少的放射性原子核。核内的一个质子(1 1H)可以俘获一个核外电子(0 -1e)并放射出一个中微子而转变为一个中子(1 0n)。经过一次“轨道电子俘获”,衰变后原子核与衰变前的原子核相比,下列说法中正确的是

A.质量数不变,原子序数减少1     B.质量数增加l,原子序数不变

C.质量数不变,原子序数不变      D.质量数减少l,原子序数减少1

试题详情>>

15.下列说法中正确的是

A.内能大的物体一定会将内能转移一部分给内能小的物体

B.自然界中所进行的涉及热现象的宏观过程不一定都具有方向性

C.对于一定质量的理想气体,放出热量,内能可能增加

试题详情>>

D.两个分子间的距离不断减小,其分子间的势能一定减小

试题详情>>

16.一群处于n=3激发态的氢原子向基态跃迁,发出的光以

入射角θ照射到一平行玻璃砖A上,经玻璃砖又照到某一块

金属板B上,如图所示,则下列说法中正确的是   

A.入射光经玻璃砖A后会分成相互平行的三束光线

B.从n=3直接跃迁到基态发出的光经玻璃砖A后的出射光与入射光线间的距离最大

C.经玻璃砖A后有些光子的能量将减小,有些光在玻璃砖的下表面可能产生全反射

D.若从n=3能级跃迁到n=2能级放出的光子刚好能使金属板B发生光电效应,则从n=2能级跃迁到基态放出的光子一定能使金属板B发生光电效应   

试题详情>>

17.“嫦娥一号”成功实现了绕月飞行。月球表面的环绕速度比地球表面的环绕速度要小,已知月球表面的重力加速度是地球表面重力加速度的1/6,而地球的半径是月球半径的4倍,则月球的密度与地球的密度之比以及月球表面物体的环绕速度与地球人造卫星的第一宇宙速度之比是

试题详情>>

A.                      B.

试题详情>>

C.                      D.

试题详情>>

18.如图所示,A、B、C、D、E、F为匀强电场中一个边长为10cm

正六边形的六个顶点,A、B、C三点电势分别为1V、2V、3V,则下列

说法正确的是

A.匀强电场场强大小为10V/m

试题详情>>

B.匀强电场场强大小为V/m

试题详情>>

C.电荷量为1.6×10-19的正点电荷从E点移到F点,电荷克服电场力做功为1.6×10-19J

试题详情>>

D.电荷量为1.6×1O-19的负点电荷从F点移到D点,电荷的电势能减少4.8×10-19J

试题详情>>

19.一列简谐横波在X轴上传播,其波速为20m/s,某

时刻的波形如图所示,a.b.c为介质中的三个质点,此

时a正向上运动,由此可知

A.c的加速度正在增大

B.该时刻以后,b比c先回到平衡位置

试题详情>>

C.再过0.075s质点a回到平衡位置

D.若此波遇到另一波并发生干涉现象,则另一波的频率为50Hz

试题详情>>

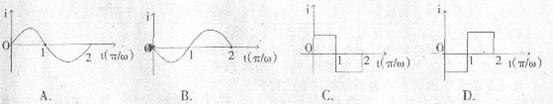
20.如图所示,一圆柱形铁芯上沿轴线方向绕有矩形线圈,

铁芯与磁极的缝隙间形成了辐向均匀磁场,磁场的中心与

铁芯的轴线重合,当线圈绕轴线以角速度m顺时针转动的

过程中,线圈中的电流变化图线是下图中的哪一个?(从图

中所示位置开始计时,N、S极间缝隙的宽度不计,以a边

的电流进入纸面,b边的电流流出纸面为正方向)

试题详情>>

 

 

 

 

试题详情>>

21.质量均为m的A、B两物体分别在水平恒力F1和F2作用下沿水平面运动,撤去F1、F2后受摩擦力的作用减速到停止,其V-t图象如图所示,则

A.F1、F2大小相等

B.A、B所受摩擦力大小相等

C.Fl、F2对A、B做功之比为l:2

D.全过程中摩擦力对A、B做功之比为1:1

第Ⅱ卷(本卷共10题,共174分)

试题详情>>

22.(1)(6分)在做“研究匀变速直线运动”的实验时,某同学得到一条用打点计时器打下的纸带如图所示,并在其上取0、1、2、3、4、5、6等7个计数点,每相邻两个计数点间还有4个点,图中没有画出,打点计时器接周期为T=0.02s的交流电源。

①打点计时器打下纸带上编号为5的计数点时,物体的速度V5=______m/s;

②物体的加速度a=_________m/s2

③如果当时电网中交变电流的频率是f=51HZ,而做实验的同学并不知道,那么速度的测量值与实际值相比_________(选填:偏大、偏小或不变)。

试题详情>>

(2)(12分)现有下列器材: 

试题详情>>

A.6V蓄电池一组(内阻约0.1Ω)

试题详情>>

B.直流电流表(0~0.2A)一只

试题详情>>

C.直流电流表(0~0.02A1一只

D.直流电压表(0~3V)一只

E.直流电压表(0~100V)一只

F.滑动变阻器(O~5Ω)~只

G.滑动变阻器(O~500Ω)~只

试题详情>>

H.电阻箱f0~99.9Ω)一只

I.电键一只

试题详情>>

现在要比较准确地测量一只约0.6Ω电阻的阻值:

①在虚线框中画出实验的原理图;

②实验中除了电源、电键和导线处,还需要的器材是­­­­________________________________;

(用器材前面的字母表示)

③写出测量电阻的表达式Rx=__________。麦达式中各符号的物理意义是___________。

试题详情>>

23.(14分)如图所示,一轻质弹簧竖直地固定在水平地面上,将一个质量

为m的物块P轻轻地放到弹簧上,当弹簧被压缩了L时(在弹性限度内)物

块速度为零,更换一个质量为3m的物块Q轻轻地放到弹簧上,当弹簧也压

缩L时,求:

(1)物块O的加速度;    (2)物块Q的速度   

试题详情>>

24.(18分)如图所示,电荷量均为+q、质量分别为m和3m的小球A和B,中间连接质量不计的细绳,在竖直向上方向的匀强电场中以速度V0匀速上升。

若不计两带电小球间的库仑力作用,某时刻细绳断开,求: 

(1)电场强度及细绳断开后A、B两球的加速度;   

(2)当B球速度为零时,A球速度的大小;   

(3)从绳断开至B球速度为零的过程中,两球组成系统的机械能增量为多少?  

试题详情>>

25.(22分)如图,在真空室内取坐标系xOy,在x轴上方存在

匀强电场,场强方向沿y轴负方向,x轴下方存在两个方向

都垂直于纸面向外的匀强磁场区I和Ⅱ,平行于x轴的虚

线ab是它们的分界线,虚线上方(包括虚线处)的磁场区I

试题详情>>

的磁感应强度B1=0.20T,虚线下方的磁场区Ⅱ的磁感应强

试题详情>>

度B2=0.10T,虚线与x轴相距d=4.0cm,在第一象限内有一

试题详情>>

点P,其位置坐标x=16.0cm、Y=10.0cm,一带正电的粒子由P点从静止释放,粒子的电荷量与质量之比q/m=5.0×107c/kg,为使粒子能通过坐标原点O,匀强电场的场强E必须满足什么条件?(不计粒子的重力作用。)

试题详情>>

27.(15分)A~I分别表示中学化学中常见的二种物质,它们之间相互关系如下图所示(部分反应物、生成物没有列出),且已知G为主族元素的固态氧化物,A、B、C、D、E、F六种物质中均含有同一种元素。

试题详情>>

 

 

 

 

 

 

请填写下列空白:

(1) A、B、C、D、E、F六种物质中所合同一种元素的原子结构示意图(已知该元素原子最外层电子数为2)为_____________________;

(2)写出C的电子式_____________________________________________;  

(3)写出反应④的离子方程式_____________________________________________;

(4)写出反应③的电极方程式:阳极:_____________________________________________;

                           阴极:_____________________________________________;

(5)I、J、G三种物质均含有同一元素X

①2007年,美、德两国成功合成出具有重要用途的X的氢化物(XH3)n,

试题详情>>

关于此氢化物的推测不正确的是(    )。   

A.此氢化物与水反应可生成X的氢氧化物和氢气

B.此氢化物中X显+3价,H显-1价

C.X的单质与水蒸气高温下反应生成此氢化物

D.此氢化物具有强还原性

②制造右图物品时,利用了X单质的__________________性质。

试题详情>>

28.(15分)硫酸铜是一种应用及其广泛的化工原料。铜不能与稀硫酸直接反应,本试验中将适量浓硝酸分多次加入到铜粉与稀硫酸的混合物中,加热使之反应完全,通过蒸发、结晶得到硫酸铜晶体(装置如图l、2所示)。 

试题详情>>

 

 

 

 

 

(1)图1烧瓶中发生的离子反应方程式为:____________________________________。

(2)图2是图1的改进装置,其优点有:

①防止NaOH溶液倒吸;

②____________________________________________________。

(3)为符合绿色化学要求,某研究性学习小组进行如下设计:

第一组:以空气为氧化剂法

方案1:以空气为氧化剂。将铜粉在仪器B中反复灼烧,使铜与空气充分反应生成氧化铜,再将氧化铜与稀硫酸反应。

试题详情>>

方案2:将空气或氧气直接通入到铜粉与稀硫酸的混合物中,发现在常温下几乎不反应。向反应液中加FeSO4或Fe2(SO4)3,,即发生反应。反应完全后向其中加物质甲调节pH为3~4,产生Fe(OH)3沉淀,过滤、蒸发、结晶,滤渣作催化剂循环使用。(已知Fe(OH)3、和Cu(OH)2完全沉淀时的pH值分别为3.7、6.4。)

请回答下列问题:

①方案1中的B仪器名称是_______________。

②方案2中甲物质是_____________ (填字母序号)。

a.CaO    b.CuCO3    c.CaC03

第二组:以过氧化氢为氧化剂法

试题详情>>

3.2g铜丝放到45ml 1.5mol・L-1的稀硫酸中,控温在50℃。加入18mL10%的H2O2,反应0.5h后,升温到60℃,持续反应1h后,过滤、蒸发结晶、减压抽滤等,用少量95%的酒精淋洗后晾干,得Cus04・5H20 1O.Og。

请回答下列问题:

③加热时温度不宜过高的原因是______________________________________。

④晶体采用酒精淋洗的优点是______________________________________。

试题详情>>

29.(16分)利用芳香烃X和链烃Y可以合成紫外线吸收剂BAD,BAD的结构丽式为:

试题详情>>

 

 

BAD的合成路线如下(已知G不能发生银镜反应):

试题详情>>

 

 

 

 

 

请回答下列问题:

(1)写出结构简式:Y__________________;D____________________________。

(2)反应①~⑤中,属于取代反应的有_____________________________(填数字序号)。

(3)1molBAD最多司与含_______________mol NaOH的溶液完全反应。   

(4)写出下列反应的化学方程式:

反应④___________________________________;

B+G→H___________________________________。

(5)遇FeCl3溶液呈紫色的E的同分异构体的数目(含E本身)为___________种。

试题详情>>

30.(共20分)Ⅰ(10分)长期使用抗生素,滥用抗生素和过量使用抗生素,会使细菌的抗药性增加。细菌抗药性的增加,是抗生素对细菌的选择,还是抗生素诱导细菌出现基因突变,产生了抗药性?有人设计了如下图的实验进行研究:

试题详情>>

 

 

(1)实验步骤:

①在正常培养基A上接种某种细菌,使细菌繁殖,培养基内密布菌落;

②将一个与培养皿内径相同的、已灭菌的绒布面,按到细菌培养基A上,使绒布面沾上细菌;

③将绒布面按到一系列含青霉素的培养基B上(在按时,不转动绒布面,以保证细菌与培养基A的位置相对应);

④从培养基A中找出____________________的菌落,接种到含青霉素的培养基C上。

(2)实验结果:

接种到有青霉素的培养基C上的细菌都能生长。

(3)分析并回答下列问题:

①控制细菌抗药性的基因存在的部位是_______________。若细菌培养基的成分中不需要糖类等有机碳源,则这类细菌的同化作用方式为__________________________。

②对比分析培养基B和培养基A的细菌菌落,细菌对青霉素抗药性的特点是____________。

③该实验结论是____________________________________________________________。

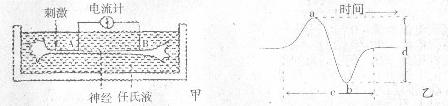
Ⅱ(10分)取出未受操作影响的动物神经,泡在任氏液(两栖类生理盐水)中,图中甲是与灵敏电流计连接的电极和神经在A、B两点接触的装置,刺激神经的一部分而使兴奋发生传递时,把电流计的指针的振动记录在图乙中。

试题详情>>

 

 

 

 

试回答与这个实验有关的问题:

(1)请比较实验前神经细胞内液与任氏液浓度的大小________________________________。(2)神经细胞接受刺激产生兴奋时,兴奋部位与未兴奋部位比较,膜内外的电位如何变化?

 _____________________________________。

(3)兴奋终止,恢复到原来的状态,这种恢复作用是否要ATP的参与?__________________。

(4)在图乙中,为什么形成上下2个峰(a和b)?____________________________________。

(5)在生理学实验中,常先刺激某根神经,再切断,分别刺激切断处的两端,这样设计实验的目的是____________________________________________。

试题详情>>

31.(22分)I(12分)某植株的性别决定受两对等位基因(B-b,T-t)的控制(两对基因分别位于两对同源染色体上),该植株的性别和基因型的对应关系如下表,回答下列问题:

基因型

B和T同时存在

T存在,B不存在

T不存在

性别

雌雄同株异花

雄株

雌株

(1)基因型为bbTT的雄株与BBtt的雌株杂交,F1的基因型为__________,表现型为______。F1自交,F2的性别为________________,分离比为___________________。

(2)基因型为_________的雄株与基因型为__________的雌株杂交,后代的性别有雄株和雌株,且分离比为1:1。

试题详情>>

Ⅱ(10分)果蝇繁殖力强、易饲养,是一种良好的遗传学研究材料,请回答下列与果蝇有关的遗传学问题。

(1)右图是研究人员对果蝇染色体上部分基因的测序结果。

①与图A相比,图B染色体发生了_______________变异。

②图A染色体上所示的部分基因所控制的性状在某一个体

的发育过程中始终没有表现,其原因可能是___________。

③果蝇中的截翅突变引起细胞中的核糖体含量降低,会使

突变体幼虫发育缓慢甚至死亡,其原因是_____________。

(2)从自然界中获得有繁殖能力的红眼雌、雄果蝇各一只,白

眼雌、雄果蝇各一只,现任意取两只不同性状的雌、雄果蝇进行一次杂交,请你根据后代的表现型及比例,确定雌雄亲本中的显性性状。(注:控制果蝇红眼、白眼的基因位于X染色体上)

①若子代果蝇只出现一种性状,则亲本中雌果蝇代表的性状为显性性状。

②若子代雌雄果蝇都含有两种不同的性状,且比例各为1:1,则_____________________。

③若_____________________,则亲本中雄果蝇代表的性状为显性性状。

 

 

 

 

 

 

 

 

 

 

 

 

 

 

 

 

 

 

 

 

 

吉安市高三第一次模拟考试理科综合

试题详情>>
关闭