1.我国今年遭遇了特大雪灾,我国科学家用氯化钙、尿素、葡萄糖酸钠等为原料成功研制出一种新型复合融雪剂。下列说法正确的是

A.传统的氯化钠融雪剂通过升高水的凝固点实现雪融化

B.传统的氯化钠融雪剂由于价格偏高而减少使用

C.葡萄糖酸钠是强电解质                D.尿素通过CO2与NH3发生化合反应制得

试题详情>>

2.下列化学用语表达正确的是

试题详情>>

A.HClO的电子式                        B.Fe2+的离子结构示意图:

试题详情>>

C.光气COCl2的结构式:                 D.sp2杂化轨道模型:

试题详情>>

3.2007年1月1日,我国科学家在全球率先成功发现了有效治疗Ⅱ型糖尿病的神奇分子――非肽类分子激动剂(代号为Boc5,化学式为C54H52N4O16S2),它的神奇之处在于能模拟人体内的某些大分子,促进人体的胰岛素分泌,发挥对血糖的调节作用,这一发现将为千百万Ⅱ型糖尿病患者解除病痛。则下列说法正确的是

试题详情>>

A.Boc5中一定不含           B.葡萄糖、麦芽糖、蔗糖均能与新制氢氧化铜反应生成Cu2O

C.Boc5是高分子化合物     D.糖类的通式均满足 (CH2O)n

 

试题详情>>

4.用硫酸铁电化浸出黄铜矿精矿工艺中,精矿在阳极浸出的反应比较复杂,其中有一主要反应:

CuFeS2+4Fe3+=Cu2++5Fe2++2S。下列说法正确的是

A.反应中硫元素被氧化,所有铁元素均被还原    B.还原剂是S2,氧化剂是Fe3+

C.氧化产物是S,还原产物是Cu2+和Fe2+        D.当转移1mol电子时,46 g CuFeS2参加反应

试题详情>>

5.能在溶液中大量共存,加入(NH4)2Fe(SO4)2・6H2O晶体后仍能大量存在的离子组是

A.Na+、H+、Cl、NO3                                     B.K+、Ba2+、OH、I

C.Na+、Mg2+、Cl、SO42                                 D.Cu2+、S2、Br、ClO

试题详情>>

6.已知2-丁烯有顺、反两种异构体,在某条件下两种气体处于平衡,

试题详情>>

下列说法正确的是

A.顺-2-丁烯比反-2-丁烯稳定        B.顺-2-丁烯的燃烧热比反-2-丁烯大

C.加压和降温有利于平衡向生成顺-2-丁烯反应方向移动

试题详情>>

D.反-2-丁烯氢化的热化学方程式为:(g)+H2(g)→CH3CH2CH2CH3(g) △H=-123.1 kJ・mol1

试题详情>>

7.液态锂离子电池是Li+嵌入化合物的二次电池。正极采用锂化合物LiCoO2,负极采用碳电极,充电后成为锂-碳层间化合物LixC6(0<x≤1),电解质为溶解有锂盐LiPF6、LiAsF6等的有机溶液。下列有关说法错误的是

A.LiCoO2改写为氧化物的形式为:Li2O・Co2O3

B.该电池的电解液使用有机溶剂主要是由于有机溶剂与锂盐有很好的互溶性

C.该电池充电时的反应为:Li++6C+xe=LixC6+(1-x)Li+

D.放电时电解质中PF6和AsF6等离子向负极移动

试题详情>>

8.25℃时,将pH=x的H2SO4溶液与pH=y的NaOH溶液按体积比1:100混合,反应后所得溶液pH=7。若x=y,则x

    A.2               B.4           C.3                D.5

试题详情>>

9.设NA为阿伏加德罗常数。下列叙述中正确的是

试题详情>>

A.标准状况下,22.4 L CO2和O2混合气体中含有的氧原子数约为NA

试题详情>>

B.常温常压下,0.1 mol铁在0.1 mol Cl2中充分燃烧,转移的电子数为0.3 NA

C.2 mol SO2和1 molO2 混合在V2O5存在条件下的密闭容器中反应,反应后分子总数大于2 NA

D.1 L 1 mol/L的K2CO3溶液中离子总数大于3NA

试题详情>>

10.如图所示为冰晶石(化学式为Na3AlF6)的晶胞。图中●位于大立方体顶点和面心,○位于大立方体的

试题详情>>

12条棱的中点和8个小立方体的体心。则下列说法正确的是

A.冰晶石的名称是六氟合铝(Ⅲ)化钠     

B.该物质中存在离子键和共价键

C.大立方体的体心处△代表的是Al3+        

D.该物质是电解冶炼铝的还原剂 

试题详情>>

11.25℃,在20 mL 0.1mol/L 氨水溶液中逐滴加入0.2mol/L HCl溶液(如图),下列说法正确的是

试题详情>>

A.在A、C间任一点,溶液中一定都有:

c(NH4+)>c(Cl)>c(OH)>c(H+)

B.在C点,c<10,且有c(NH4+)=c(Cl)=c(OH-)=c(H+)

试题详情>>

C.若25℃时 0.1mol/L 氨水电离度为1.33%,则b<a<12

D.在D点:2c(NH4+)+2c(NH3・H2O)=c(Cl)

试题详情>>

12.下列离子方程式正确的是

A.60 mL  1 mol・L―1  氢氧化钡溶液与15 mL  2 mol・L―1明矾溶液混合:

3Ba2++6OH+2Al3++3SO42-=3BaSO4↓+2Al(OH)3

B.60 mL  1 mol・L―1纯碱溶液与20 mL  2 mol・L―1胆矾溶液混合(无气体放出):

       3CO32+2Cu2++2H2O=2HCO3+Cu2(OH)2CO3

C.H2O中投入Na218O2固体:2H2O+218O22=418OH+O2

试题详情>>

D.0.1mol/L CuCl2溶液中加入0.1mol/L NaHS溶液:Cu2++2HS+2H2O=Cu(OH)2↓+2H2S↑

试题详情>>

13.一定温度下可逆反应:A(s)+2B(g)C(g)+D(g)  △H<0。现将1mol A和2molB加入甲容器中,将

2 molC和2 mol D加入乙容器中,此时控制活塞P,使乙的容积为甲的2倍,t1时两容器内均达到平衡

试题详情>>

状态(如图所示,隔板K不能移动)。下列说法正确的是

A.保持温度和活塞位置不变,甲中再加入1 mol A和2mol B,达到新

的平衡后,c(B)2c(B)

B.保持温度和乙中压强不变 ,向乙中加入2 mol D,达到新平衡后,c(B) 2c(B)

试题详情>>

C.若该温度下反应的K=1,则甲中B和乙中C的转化率均为66.7%

D.保持活塞位置不变,升高温度,达到新的平衡后,甲、乙中B的体积分数均增大

试题详情>>

14.某些盐在溶液中结晶时,析出的晶体是结晶水合物。下表记录了t℃的4份相同的硫酸铜溶液中加入的无水硫酸铜的质量以及析出的硫酸铜晶体(CuSO4・5H2O)的质量(温度维持不变)的实验数据:

硫酸铜溶液

加入的无水硫酸铜(g)

试题详情>>

11.0

析出的硫酸铜晶体(g)

试题详情>>

15.4

当加入a g(5<a<11)无水硫酸铜时,析出硫酸铜晶体的质量(g)为

试题详情>>

A.1.8a―4.4               B.1.8a8                  C.1.8a―4.6        D.1.8a―0.1

第Ⅱ卷(非选择题,共72分)

试题详情>>

15.(6分)某同学将擦亮的镁条投入到硫酸铜溶液中,在反应的过程中观察到一些现象:

         ①                          ②有黑色固体在镁条表面及烧杯底部生成  

         ③有少量蓝色沉淀生成。

请完成下列问题:

(1)将现象①补充完整。

(2)该同学猜想黑色固体是铜或氧化铜与铜的混合物,设计如下实验:

可供选择的试剂:A、稀硫酸    B、稀硝酸    C、浓硝酸      D、硝酸银溶液

步骤一:取洗涤、晾干后的黑色固体样品,向其中加入足量的        (填字母),微热使之充分反应,

黑色固体未溶解。

步骤二:将步骤一所得液体过滤、洗涤、晾干后,再加入       (填字母),观察到溶液呈现蓝色。

(3)镁片与硫酸铜溶液发生反应的两个主要的离子方程式:                               。 

试题详情>>

16.(16分)粗盐提纯的研究。

化学式

CaCO3

CaSO3

CaC2O4

Mg(OH)2

Ksp

试题详情>>

4.96×10―9

试题详情>>

4.96×10―9

试题详情>>

2.34×10―9

试题详情>>

5.61×10―12

  【有关资料】

     

 

某研究性学习小组对粗盐的提纯和检验进行研究,并提出一些新的方案。已知该粗盐样品中主要含有不溶性杂质、Mg2+、Ca2+等(忽略SO42的存在),该小组设计流程如下:

试题详情>>

【设计除杂过程】

 

 

 

(1)操作①中需要使用的玻璃仪器有                。操作②的名称为       ,若在操作②结束后发现溶液B略有浑浊,应采取的措施是          。(2)混合液A的主要成分是           。(填化学式)

【检验除杂效果】

(3)为检验溶液B中Mg2+、Ca2+是否除尽,通常分别取少量溶液B于两支试管中,进行如下实验:

步骤一:检验Mg2+是否除尽。向其中一支试管中加入           溶液(填化学式),看是否有沉淀生成。

步骤一:检验Ca2+是否除尽。向另一支试管中加入某溶液,看是否有沉淀生成。效果最好的是       (填字母)。A、Na2CO3          B、Na2SO3        C、Na2C2O4

【获取纯净食盐】

(4)对溶液B加热并不断滴加6 mol・L―1的盐酸溶液,同时用pH试纸检测溶液,直至pH=2时停止加盐酸,得到溶液C。该操作的目的是                                     

(5)将溶液C倒入            (填仪器名称)中,加热蒸发并用玻璃棒不断搅拌,直到             

时(填现象),停止加热。

【问题讨论】

(6)在除杂过程中,向粗盐悬浊液中加混合液A时需要加热,目的是                  ,该操作中控制溶液pH=12可确保Mg2+除尽,根据提供的数据计算,溶液B中Mg2+物质的量浓度将被控制在    以下。

试题详情>>

17.(8分)碳酸锰(MnCO3)是理想的高性能强磁性材料,也是制备Mn2O3、MnO2等锰的氧化物的重要原料,广泛用于电子、化工、医药等行业。一种制备MnCO3的生产流程如下图所示。

 

 

 

 

 

试题详情>>


已知生成氢氧化物的pH和有关硫化物的Ksp如下表:

软锰矿主要成分为MnO2,其中含有铁、铝、硅的氧化物和少量重金属化合物杂质,SO2来自工业废气。流程①中主要发生的反应有:MnO2 + SO2 = MnSO4   2Fe3+ + SO2 + 2H2O = 2Fe2+ + SO42 + 4H+

(1)流程①中所得MnSO4溶液的pH比软锰矿浆的pH      (填“大”或“小”),该流程可与       (填工业生产名称)联合,生产效益更高。

(2)反应②的目的是将溶液中的Fe2+氧化成Fe3+,其离子反应方程式为   ,这样设计的目的和原理是    

(3)反应③中硫化钠的作用是使重金属离子转化为硫化物沉淀,碳酸钙的作用是          

(4)反应④发生的化学反应为:MnSO4 + 2NH4HCO3 = MnCO3↓+ (NH4)2SO4 + CO2↑ + H2O。

试题详情>>

反应中通常需加入稍过量的NH4HCO3 ,且控制溶液的pH为6.8~7.4。加入稍过量的NH4HCO3的目的是                   ,溶液的pH不能过低的原因是                                  

(5)软锰矿中锰的浸出有两种工艺:

工艺A:软锰矿浆与含SO2的工业废气反应    工艺B:软锰矿与煤碳粉混合,焙烧后加稀硫酸溶解。

其中工艺A的优点是                                  。(答对1个即可)

试题详情>>

18.(10分)工业上以黄铁矿为原料生产硫酸主要分为三个阶段进行,即煅烧、催化氧化、吸收。请回答下列个问题:

(1)煅烧黄铁矿形成的炉气必须经除尘、洗涤、干燥后进入     (填设备名称),其主要目的是______             ___。

(2)催化氧化所使用的催化剂钒触媒(V2O5)能加快二氧化硫氧化速率,此过程中产生了一连串的中间体(如图)。其中a、c二步的化学方程式可表示为:  _    ___、     __。

试题详情>>

(3)550 ℃时,SO2转化为SO3的平衡转化率(α)与体系总压强(p)的关系如右图所示。则:将2.0 mol SO2和1.0 mol O2置于5 L密闭容器中,反应达平衡后,体系总压强为0.10 M Pa。该反应的平衡常数等于     。A与B表示不同压强下的SO2转化率,通常情况下工业生产中采用常压的原因是            

(4)为循环利用催化剂,科研人员最新研制了一种离子交换法回收钒的新工艺, 

试题详情>>

回收率达91.7%以上。已知废钒催化剂中含有V2O5、VOSO4及不溶性残渣。查阅资料知:VOSO4可溶于水,V2O5难溶于水,NH4VO3难溶于水。该工艺的流程如下图。

 

 

 

 

 

 

 

 

 

 

 

试题详情>>

则:反应①②③④中属于氧化还原反应的是                (填数字序号),反应①的离子方程式为       。该工艺中反应③的沉淀率(又称沉矾率)是回收钒的关键之一,沉钒率的高低除受溶液pH影响外,还需要控制氯化铵系数(NH4Cl加入质量与料液中V2O5的质量比)和温度。根据下图试建议控制氯化铵系数和温度:                 

五、(本题包括1小题,14分)

试题详情>>

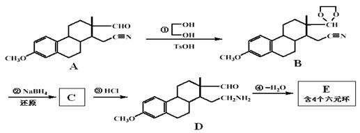
19.(14分)药物E具有抗癌抑菌功效,其合成路线如下:(B、D分子中未参加反应的部分省略)

试题详情>>

 

 

 

 

 

 

 

 

 

(1)很多药物分子有手性碳而具有旋光性,A分子中有         个手性碳原子。

(2)C的结构简式为               ,E的结构简式为               

(3)设计反应①的目的是                                                      

(4)A与银氨溶液反应的化学方程式为(A以R-CHO表示)                       

试题详情>>

提示:①合成过程中无机试剂任选,②合成反应流程图表示方法示例如下:

 

 

六、(本题包括1小题,共8分)

试题详情>>

20.(8分)黄色固体聚合硫酸铁(SPFS)是一种重要的无机高分子絮凝剂,极易溶于水,作为工业和生活污水处理等领域具有重要的应用。SPFS可表示成Fex(OH)y(SO4)z・nH2O。工业上常用的一种制备流程为:

试题详情>>

 

 

在SPFS的多个质量指标中,盐基度是重要的质量指标之一,盐基度定义为:盐基度=n(OH-)/3n(Fe)×100% 。式中n(OH-)、n(Fe)分别表示固体聚合硫酸铁中OH和Fe的物质的量。试回答下列问题。

(1)写出在酸性介质中用NaClO3氧化FeSO4・7H2O的离子方程式。

试题详情>>

(2)取7.51 g某固体聚合硫酸铁溶解于水,向其中加入过量的BaCl2溶液到沉淀完全,经过滤、洗涤、干燥得白色沉淀10.48 g,向上述滤液中加入NH3・H2O,调节溶液pH=6,经过滤、洗涤、干燥得Fe2O3固体2.80 g。试计算该固体聚合硫酸铁的盐基度。

(3)计算出该固体聚合硫酸铁样品的化学式。

七、选做题(下面两题分别对应于“物质结构与性质”和“实验化学”两个选修课程模块的内容,请你选择其中一题作答,如果你两题全做,按第一题评分。每题均为10分。)

试题详情>>

21.(A)镍(Ni)是一种重要的金属,在材料科学等领域有广泛应用。

(1)Ni在元素周期表中的位置是                 

试题详情>>

(2)镍易形成配合物,如:Ni(CO)4、[Ni(NH3)6] 2+ 等。写出一种与配体CO互为等电子体的阴离子          。配体NH3中N原子的杂化类型为            , 它可用作致冷剂的原因是         。若[Ni(NH3)6] 2+ 为正八面体构型,则[Ni(CO)2(NH3)4] 2+的结构有      种。

试题详情>>

(3) 镍常见化合价为+2、+3, 在水溶液中通常只以+2 价离子的形式存在。+3价的镍离子具有很强的氧化性,在水中会与水或酸根离子迅速发生氧化还原反应。Ni3+的电子排布式为            ,NiO(OH)溶于浓盐酸的化学方程式为                       

试题详情>>

(4)镍和镧()组成的一种合金LaNix是较好的储氢材料,能快速可逆地存储和释放H2。LaNix的晶胞如图,其储氢原理为:镧镍合金吸附H2,H2解离为原子,H储存在其中形成LaNixH6。LaNixH6中,x=           。该贮氢的镧镍合金、泡沫氧化镍、氢氧化钾溶液组成的镍氢电池被用于制作原子钟,反应原理为:

试题详情>>

LaNixHy+y NiO(OH) LaNix+y NiO+y H2O。写出其放电时负极的电极反应方程式                 

21(B)浓硝酸广泛应用于有机合成、医药、有色金属冶炼和原子能工业。工业产量仅次于硫酸,在各类酸中居第二位。用铝罐车运输浓硝酸时,会在出入口处出现腐蚀现象。某化学实验小组对此进行了研究。经查阅资料获如下信息:

HNO3的浓度

与铝发生的主要化学反应

8 mol・L?1左右

Al + 6HNO3 = Al (NO3 ) 3 + 3NO2 ↑+ 3H2O

介于3~4mol・L?1

15Al + 56HNO3 = 15Al (NO3 ) 3 + N H4NO3 +NO2 ↑+ 2NO ↑+ 3N2 ↑+ 26H2O

介于1~3mol・L?1

8Al + 30HNO3 = 8Al ( NO3 ) 3 + N H4NO3 +NO2 ↑+ NO ↑+ N2 ↑+ H2 ↑+ 12H2O

小于1mol・L?1

14Al + 46HNO3 = 14Al ( NO3 ) 3 + 2N2 ↑ +11H2 ↑+ 12H2O

实验步骤如下:(装置见右图)

试题详情>>

① 取1 支与大试管等长的无底小试管套入大试管内,将其插入广口瓶中。向小试管中注入0. 07 mol・L?1 硝酸,使酸液面低于管口约0. 5 cm 。

② 取一块铝箔系在细线的一端后,浸入NaOH溶液中,见表面产生气泡时,取出铝箔用水冲洗掉碱液。然后将铝箔再浸入HgCl2 溶液中,见表面呈现灰黑色(约1 min) 时,取出并将其放入上述准备好的小试管中,立即塞上橡皮塞,如图Ⅰ所示。

③ 迅速提起小试管,使其下端略低于大试管口,用试管夹将其夹住搁在大试管口上, 如图Ⅱ所示。

④……

请回答下列问题:

试题详情>>

(1)广口瓶的作用是________;配制0. 07 mol・L?1 HNO3所需带刻度的仪器有________________。

(2)写出实验步骤②中发生的主要反应的化学方程式并解释其作用。__________________。

(3)为了验证实验所产生的主要气体为H2,在图Ⅲ的装置上进行操作,具体方法为:__________。

(4)事实表明,在用铝罐车运输浓硝酸或浓硫酸时,发现一定时间后,在酸的出入口处皆会出现腐蚀现象,综合所学知识分别给予解释。

 

 

扬州市2007-2008学年度高三第四次调研测试

试题详情>>
关闭