(2)函数y=cos(4x+)的图象的两条相邻对称轴间的距离为                      (  )
(A)                     (B)              (C)              (D)

试题详情>>

(3)在边长为的正三角形ABC中,设=c=a=b,则abbcca等于

                                                                                                                              (  )
(A)-3                   (B)0                (C)1                (D)3

(4)设i为虚数单位,则(1+i4展开式中的第三项为                                    (  )

(A)4i                      (B)-4i           (C)6                (D)-6           

试题详情>>

(5)设mn是不同的直线,是不同的平面,有以下四个命题:
①若γ,则              ②若m,则m
③若mm,则               ④若mnn?α,则mα
其中真命题的序号是                                                                                     (  )
(A)①④                 (B)②③              (C)②④       (D)①③

试题详情>>

(6)已知A(0,b),B为椭圆+=1(a>b>0)的左准线与x轴的交点,若线段AB的中点C在椭圆上,则该椭圆的离心率为                                     (  )
(A)                   (B)           (C)           (D)

试题详情>>

(7)已知函数fx)=x≥1),x)为fx)的反函数,则函数y=|x|与y=(-x)在同一坐标系中的图象为                                                                                    (  )

试题详情>>



(A)                            (B)      (C)       (D)

(8)已知函数y=fx)是定义在[a,b]上的增函数,其中abR,且0<b<-a.设函数Fx)=[fx)]2-[f(-x)]2,且Fx)不恒等于0,则对于Fx)有如下说法:
①定义域为[-bb] ②是奇函数 ③最小值为0 ④在定义域内单调递增其中正确说法的个数有                                                                            (  )
(A)4个                  (B)3个            (C)2个            (D)1个

 

试题详情>>

(9)双曲线-=1的一个焦点到一条渐近线的距离是     .

试题详情>>

(10)在△ABC中,A+C=2BBC=5,且△ABC的面积为10,则B=     ;
AB=      .

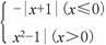
(11)已知函数fx)=则不等式fx)<0的解集为      .

试题详情>>

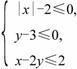
(12)设不等式组所表示的平面区域为S,则S的面积为    ;若A

 

BS内的两个点,则|AB|的最大值为    .

(13)已知PABC是以O为球心的球面上的四个点,PAPBPC两两垂直,且PA=PB=PC=2,则球O的半径为    ;球心O到平面ABC的距离为    .

(14)在100,101,102,…,999这些数中,各位数字按严格递增(如“145”)或严格递减(如“321”)顺序排列的数的个数是    个.把符合条件的所有数按从小到大的顺序排列,则321是第    个数.(用数字作答)

(15)(本小题共12分)
已知向量a=(cosx+2sinx,sinx),b=(cosx-sinx,2cosx),设函数fx)=ab.
)求函数fx)的单调递增区间;
)求函数fx)的最大值及取得最大值时x的集合.

(16)(本小题共14分)

试题详情>>

如图,在四棱锥S-ABCD中,底面ABCD是正方形,SA⊥底面ABCDSA=AB,点MSD的中点,ANSC,且交SC于点N.
(Ⅰ)求证:SB∥平面ACM;
(Ⅱ)求二面角D-AC-M的大小;
(Ⅲ)求证:平面SAC⊥平面AMN.

(17)(本小题共12分)

某城市有30%的家庭订阅了A报,有60%的家庭订阅了B报,有20%的家庭同时订阅了A报和B报,从该城市中任取了4个家庭.

(Ⅰ)求这4个家庭中恰好有3个家庭订阅了A报的概率;

(Ⅱ)求这4个家庭中至多有3个家庭订阅了B报的概率;

(Ⅲ)求这4个家庭中恰好有2个家庭AB报都没有订阅的概率.

(18)(本小题共14分)

试题详情>>

已知抛物线S的顶点在坐标原点,焦点在x轴上,△ABC的三个顶点都在抛物线上,且△ABC的重心为抛物线的焦点,若BC所在直线l的方程为4x+y-20=0.

)求抛物线S的方程;

)若O是坐标原点,PQ是抛物线S上的两个动点,且满足OPOQ.试说明动直线PQ是否过定点.

(19)(本小题共14分)

x1x2x1x2)是函数fx)=ax3+bx2-a2xa>0)的两个极值点.

)若x1=-1,x2=2,求函数fx)的解析式;

试题详情>>

)若|x1|+|x2|=,求b的最大值;

试题详情>>

)设函数gx)=x2=a时,求证:

试题详情>>

|gx)|≤a3a+2)2.

(20)(本小题共14分)

试题详情>>

已知定义在R上的函数fx)满足:f(1)=,且对于任意实数xy,总有

试题详情>>

fxfy)=fx+y)+fx-y)成立.
)求f(0)的值,并证明函数fx)为偶函数;
)定义数列{an}:an=2fn+1)-fn)(n=1,2,3,…),求证:{an}为等比数列;
)若对于任意的非零实数y,总有fy)>2.设有理数x1x2满足:|x1|<|x2|,判断fx1)和fx2)的大小关系,并证明你的结论.

 

海 淀 区 高 三 年 级 第 一 学 期 期 末 练 习

  (理科)

试题详情>>
关闭