2026年学易优同步学案导学高中数学必修第一册人教版
注:目前有些书本章节名称可能整理的还不是很完善,但都是按照顺序排列的,请同学们按照顺序仔细查找。练习册 2026年学易优同步学案导学高中数学必修第一册人教版 答案主要是用来给同学们做完题方便对答案用的,请勿直接抄袭。
第141页
- 第1页
- 第2页
- 第3页
- 第4页
- 第5页
- 第6页
- 第7页
- 第8页
- 第9页
- 第10页
- 第11页
- 第12页
- 第13页
- 第14页
- 第15页
- 第16页
- 第17页
- 第18页
- 第19页
- 第20页
- 第21页
- 第22页
- 第23页
- 第24页
- 第25页
- 第26页
- 第27页
- 第28页
- 第29页
- 第30页
- 第31页
- 第32页
- 第33页
- 第34页
- 第35页
- 第36页
- 第37页
- 第38页
- 第39页
- 第40页
- 第41页
- 第42页
- 第43页
- 第44页
- 第45页
- 第46页
- 第47页
- 第48页
- 第49页
- 第50页
- 第51页
- 第52页
- 第53页
- 第54页
- 第55页
- 第56页
- 第57页
- 第58页
- 第59页
- 第60页
- 第61页
- 第62页
- 第63页
- 第64页
- 第65页
- 第66页
- 第67页
- 第68页
- 第69页
- 第70页
- 第71页
- 第72页
- 第73页
- 第74页
- 第75页
- 第76页
- 第77页
- 第78页
- 第79页
- 第80页
- 第81页
- 第82页
- 第83页
- 第84页
- 第85页
- 第86页
- 第87页
- 第88页
- 第89页
- 第90页
- 第91页
- 第92页
- 第93页
- 第94页
- 第95页
- 第96页
- 第97页
- 第98页
- 第99页
- 第100页
- 第101页
- 第102页
- 第103页
- 第104页
- 第105页
- 第106页
- 第107页
- 第108页
- 第109页
- 第110页
- 第111页
- 第112页
- 第113页
- 第114页
- 第115页
- 第116页
- 第117页
- 第118页
- 第119页
- 第120页
- 第121页
- 第122页
- 第123页
- 第124页
- 第125页
- 第126页
- 第127页
- 第128页
- 第129页
- 第130页
- 第131页
- 第132页
- 第133页
- 第134页
- 第135页
- 第136页
- 第137页
- 第138页
- 第139页
- 第140页
- 第141页
- 第142页
- 第143页
- 第144页
- 第145页
- 第146页
- 第147页
- 第148页
- 第149页
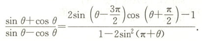
【例1】求证:

$ \frac{\sin \theta+\cos \theta}{\sin \theta-\cos \theta}=\frac{2 \sin \left(\theta-\frac{3 \pi}{2}\right) \cos \left(\theta+\frac{\pi}{2}\right)-1}{1-2 \sin ^{2}(\pi+\theta)}. $
$ \frac{\sin \theta+\cos \theta}{\sin \theta-\cos \theta}=\frac{2 \sin \left(\theta-\frac{3 \pi}{2}\right) \cos \left(\theta+\frac{\pi}{2}\right)-1}{1-2 \sin ^{2}(\pi+\theta)}. $
答案:
证明
∵右边=$\frac{ - 2 \sin ( \frac { 3 \pi } { 2 } - \theta ) · ( - \sin \theta ) - 1 } { 1 - 2 \sin ^ { 2 } \theta }$
=$\frac{2 \sin [ \pi + ( \frac { \pi } { 2 } - \theta ) ] \sin \theta - 1 } { 1 - 2 \sin ^ { 2 } \theta }$
=$\frac{ - 2 \sin ( \frac { \pi } { 2 } - \theta ) \sin \theta - 1 } { 1 - 2 \sin ^ { 2 } \theta }$
=$\frac{ - 2 \cos \theta \sin \theta - ( \sin ^ { 2 } \theta + \cos ^ { 2 } \theta ) } { \cos ^ { 2 } \theta + \sin ^ { 2 } \theta - 2 \sin ^ { 2 } \theta }$
=$\frac{( \sin \theta + \cos \theta ) ^ { 2 } } { \sin ^ { 2 } \theta - \cos ^ { 2 } \theta } = \frac { \sin \theta + \cos \theta } { \sin \theta - \cos \theta }$
=左边,
∴原等式成立.
∵右边=$\frac{ - 2 \sin ( \frac { 3 \pi } { 2 } - \theta ) · ( - \sin \theta ) - 1 } { 1 - 2 \sin ^ { 2 } \theta }$
=$\frac{2 \sin [ \pi + ( \frac { \pi } { 2 } - \theta ) ] \sin \theta - 1 } { 1 - 2 \sin ^ { 2 } \theta }$
=$\frac{ - 2 \sin ( \frac { \pi } { 2 } - \theta ) \sin \theta - 1 } { 1 - 2 \sin ^ { 2 } \theta }$
=$\frac{ - 2 \cos \theta \sin \theta - ( \sin ^ { 2 } \theta + \cos ^ { 2 } \theta ) } { \cos ^ { 2 } \theta + \sin ^ { 2 } \theta - 2 \sin ^ { 2 } \theta }$
=$\frac{( \sin \theta + \cos \theta ) ^ { 2 } } { \sin ^ { 2 } \theta - \cos ^ { 2 } \theta } = \frac { \sin \theta + \cos \theta } { \sin \theta - \cos \theta }$
=左边,
∴原等式成立.
求证:
$ \frac{\cos (2 \pi-\theta)}{\cos (\pi+\theta) \sin \left(\frac{\pi}{2}+\theta\right)-\sin \left(\frac{3 \pi}{2}+\theta\right)}+\frac{\cos (\pi-\theta)}{\cos \theta\left[\sin \left(\frac{3 \pi}{2}-\theta\right)-1\right]}=\frac{2}{\sin ^{2} \theta}. $
$ \frac{\cos (2 \pi-\theta)}{\cos (\pi+\theta) \sin \left(\frac{\pi}{2}+\theta\right)-\sin \left(\frac{3 \pi}{2}+\theta\right)}+\frac{\cos (\pi-\theta)}{\cos \theta\left[\sin \left(\frac{3 \pi}{2}-\theta\right)-1\right]}=\frac{2}{\sin ^{2} \theta}. $
答案:
证明
∵左边=$\frac { \cos \theta } { - \cos \theta \cos \theta + \cos \theta } + \frac { - \cos \theta } { \cos \theta ( - \cos \theta - 1 ) }$
=$\frac { 1 } { 1 - \cos \theta } + \frac { 1 } { 1 + \cos \theta }$
=$\frac { 1 + \cos \theta + 1 - \cos \theta } { ( 1 - \cos \theta ) ( 1 + \cos \theta ) }$
=$\frac { 2 } { 1 - \cos ^ { 2 } \theta } = \frac { 2 } { \sin ^ { 2 } \theta }$=右边,
∴原等式成立.
∵左边=$\frac { \cos \theta } { - \cos \theta \cos \theta + \cos \theta } + \frac { - \cos \theta } { \cos \theta ( - \cos \theta - 1 ) }$
=$\frac { 1 } { 1 - \cos \theta } + \frac { 1 } { 1 + \cos \theta }$
=$\frac { 1 + \cos \theta + 1 - \cos \theta } { ( 1 - \cos \theta ) ( 1 + \cos \theta ) }$
=$\frac { 2 } { 1 - \cos ^ { 2 } \theta } = \frac { 2 } { \sin ^ { 2 } \theta }$=右边,
∴原等式成立.
【问题1】三角形中其中一个角与另外两角的和是什么关系?
答案:
提示 互补.
【问题2】直角三角形中,两锐角是什么关系?
答案:
提示 互余.
【例2】在$\triangle ABC$中,$\sin \frac{A+B-C}{2}=\sin \frac{A-B+C}{2}$,试判断$\triangle ABC$的形状.
答案:
解 因为$A + B + C = \pi$,
所以$A + B - C = \pi - 2 C$,$A - B + C = \pi - 2 B$.
又因为$\sin \frac { A + B - C } { 2 } = \sin \frac { A - B + C } { 2 }$,
所以$\sin \frac { \pi - 2 C } { 2 } = \sin \frac { \pi - 2 B } { 2 }$,
所以$\sin ( \frac { \pi } { 2 } - C ) = \sin ( \frac { \pi } { 2 } - B )$,
所以$\cos C = \cos B$.
又B,C为△ABC的内角,所以C=B,
所以△ABC为等腰三角形
所以$A + B - C = \pi - 2 C$,$A - B + C = \pi - 2 B$.
又因为$\sin \frac { A + B - C } { 2 } = \sin \frac { A - B + C } { 2 }$,
所以$\sin \frac { \pi - 2 C } { 2 } = \sin \frac { \pi - 2 B } { 2 }$,
所以$\sin ( \frac { \pi } { 2 } - C ) = \sin ( \frac { \pi } { 2 } - B )$,
所以$\cos C = \cos B$.
又B,C为△ABC的内角,所以C=B,
所以△ABC为等腰三角形
查看更多完整答案,请扫码查看