2025年新课程学习与检测九年级物理全一册
注:目前有些书本章节名称可能整理的还不是很完善,但都是按照顺序排列的,请同学们按照顺序仔细查找。练习册 2025年新课程学习与检测九年级物理全一册 答案主要是用来给同学们做完题方便对答案用的,请勿直接抄袭。
第67页
- 第1页
- 第2页
- 第3页
- 第4页
- 第5页
- 第6页
- 第7页
- 第8页
- 第9页
- 第10页
- 第11页
- 第12页
- 第13页
- 第14页
- 第15页
- 第16页
- 第17页
- 第18页
- 第19页
- 第20页
- 第21页
- 第22页
- 第23页
- 第24页
- 第25页
- 第26页
- 第27页
- 第28页
- 第29页
- 第30页
- 第31页
- 第32页
- 第33页
- 第34页
- 第35页
- 第36页
- 第37页
- 第38页
- 第39页
- 第40页
- 第41页
- 第42页
- 第43页
- 第44页
- 第45页
- 第46页
- 第47页
- 第48页
- 第49页
- 第50页
- 第51页
- 第52页
- 第53页
- 第54页
- 第55页
- 第56页
- 第57页
- 第58页
- 第59页
- 第60页
- 第61页
- 第62页
- 第63页
- 第64页
- 第65页
- 第66页
- 第67页
- 第68页
- 第69页
- 第70页
- 第71页
- 第72页
- 第73页
- 第74页
- 第75页
- 第76页
- 第77页
- 第78页
- 第79页
- 第80页
- 第81页
- 第82页
- 第83页
- 第84页
- 第85页
- 第86页
- 第87页
- 第88页
- 第89页
- 第90页
- 第91页
- 第92页
- 第93页
- 第94页
- 第95页
- 第96页
- 第97页
- 第98页
- 第99页
- 第100页
4. (情境化)小王随父母去自贡江姐故里进行红色研学之旅。需要提前给移动充电宝进行充电,充电宝容量为 60 000 mA·h,充电电压为 5 V,充电时剩余电量为 0。于是她关闭家中其他用电器,并观察到家里电能表如图所示,要给充电宝充满电,电能表的转盘将转过(

A.120 r
B.200 r
C.300 r
D.1 000 r
C
)A.120 r
B.200 r
C.300 r
D.1 000 r
答案:
4.C
5. 电能表中铝质转盘转数可以用来测量较小的电功。如某用电器单独工作时电能表 3 000 r/(kW·h)在 10 min 内转了 36 转,则这 10 min 内该用电器消耗的电能是
4.$32 × 10^{4}$
J。
答案:
5.4.$32 × 10^{4}$
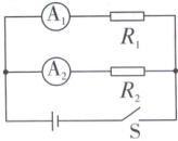
6. 在如图所示的电路中,电源电压保持不变,电阻 R₁的阻值为 20 Ω,闭合开关 S,电流表 A₁的示数为 0.3 A,电流表 A₂的示数为 0.2 A,求:
(1)电源电压 U;
(2)电阻 R₂的阻值;
(3)通电 10 s,电流通过电阻 R₂做的功 W₂。

(1)电源电压 U;
(2)电阻 R₂的阻值;
(3)通电 10 s,电流通过电阻 R₂做的功 W₂。
答案:
6.解:
(1)电源电压$U = I_{1}R_{1} = 0.3 A × 20 \Omega = 6 V$;
(2)电阻$R_{2}$的阻值$R_{2} = \frac{U}{I_{2}} = \frac{6 V}{0.2 A} = 30 \Omega$;
(3)通电$10 s$,电流通过电阻$R_{2}$做的功$W_{2} = UI_{2}t = 6 V × 0.2 A × 10 s = 12 J$。 答:
(1)电源电压是$6 V$;
(2)电阻$R_{2}$的阻值是$30 \Omega$;
(3)通电$10 s$,电流通过电阻$R_{2}$做的功$W_{2}$为$12 J$。
(1)电源电压$U = I_{1}R_{1} = 0.3 A × 20 \Omega = 6 V$;
(2)电阻$R_{2}$的阻值$R_{2} = \frac{U}{I_{2}} = \frac{6 V}{0.2 A} = 30 \Omega$;
(3)通电$10 s$,电流通过电阻$R_{2}$做的功$W_{2} = UI_{2}t = 6 V × 0.2 A × 10 s = 12 J$。 答:
(1)电源电压是$6 V$;
(2)电阻$R_{2}$的阻值是$30 \Omega$;
(3)通电$10 s$,电流通过电阻$R_{2}$做的功$W_{2}$为$12 J$。
1. 如图是某一电子测力计的电路原理图(弹簧形变量与压力 F 成正比),AB 间的弹簧中间有可收缩的导线将 R₂接入电路。使用时 B 板固定不动,当 A 板上的压力 F = 0 时,滑片 P 位于 R₂的最上端,已知 R₁ = 10 Ω,R₂的最大阻值为 50 Ω,电压表选用 0~15 V 量程,电源电压为 6 V 不变,开关 S 闭合。若 A 板上受到的压力 F 增大时,测力计上

只有电压表
(选填“只有电流表”“只有电压表”或“电流表和电压表”)示数将增大。当电压表示数最大时,通电 5 min,在整个电路中电流做功为180
J。把电压表的表盘改装为压力计表盘,使压力增大时,压力计的示数随指针向右
(选填“左”或“右”)摆动,改装后的压力计表盘刻度是不均匀
(选填“均匀”或“不均匀”)的。
答案:
1.只有电压表 180 右 不均匀
2. 某款手机具有反向充电功能。如图所示,左边手机正在向外输出电能,为右边手机充电,此时左边手机相当于

电源
(选填“电源”或“用电器”);若右边手机的电池上标明电压为 3.7 V,容量为 4 000 mA·h,则它的电量从 15%到 40%的过程中,充入了0.003 7
kW·h 的电能。
答案:
2.电源 0.003 7
查看更多完整答案,请扫码查看