2025年一遍过高中物理必修第二册人教版
注:目前有些书本章节名称可能整理的还不是很完善,但都是按照顺序排列的,请同学们按照顺序仔细查找。练习册 2025年一遍过高中物理必修第二册人教版 答案主要是用来给同学们做完题方便对答案用的,请勿直接抄袭。
第2页
- 第1页
- 第2页
- 第3页
- 第4页
- 第5页
- 第6页
- 第7页
- 第8页
- 第9页
- 第10页
- 第11页
- 第12页
- 第13页
- 第14页
- 第15页
- 第16页
- 第17页
- 第18页
- 第19页
- 第20页
- 第21页
- 第22页
- 第23页
- 第24页
- 第25页
- 第26页
- 第27页
- 第28页
- 第29页
- 第30页
- 第31页
- 第32页
- 第33页
- 第34页
- 第35页
- 第36页
- 第37页
- 第38页
- 第39页
- 第40页
- 第41页
- 第42页
- 第43页
- 第44页
- 第45页
- 第46页
- 第47页
- 第48页
- 第49页
- 第50页
- 第51页
- 第52页
- 第53页
- 第54页
- 第55页
- 第56页
- 第57页
- 第58页
- 第59页
- 第60页
- 第61页
- 第62页
- 第63页
- 第64页
- 第65页
- 第66页
- 第67页
- 第68页
- 第69页
- 第70页
- 第71页
- 第72页
- 第73页
- 第74页
- 第75页
- 第76页
- 第77页
- 第78页
- 第79页
- 第80页
- 第81页
- 第82页
- 第83页
- 第84页
- 第85页
- 第86页
- 第87页
- 第88页
- 第89页
- 第90页
- 第91页
- 第92页
- 第93页
- 第94页
- 第95页
- 第96页
- 第97页
- 第98页
- 第99页
- 第100页
- 第101页
- 第102页
- 第103页
- 第104页
- 第105页
- 第106页
- 第107页
- 第108页
- 第109页
- 第110页
- 第111页
- 第112页
1 [2025江苏盐城期末考试]跳伞表演是人们普遍喜欢的观赏性体育项目,如图所示,当运动员从直升机上由静止跳下后,在下落过程中将会受到水平风力的影响,下列说法正确的是( )

A.风力越大,运动员的下落时间就越长,运动员可完成更多的动作
B.风力越大,运动员下落时竖直方向的速度就越大
C.运动员着地时的水平位移大小与风力无关
D.水平风力的大小不会影响运动员的下落时间
A.风力越大,运动员的下落时间就越长,运动员可完成更多的动作
B.风力越大,运动员下落时竖直方向的速度就越大
C.运动员着地时的水平位移大小与风力无关
D.水平风力的大小不会影响运动员的下落时间
答案:
1 D 运动员的下落时间由竖直方向的运动决定,与水平方向的风力无关,因此风力的大小不会影响竖直方向的运动,选项A错误,D正确;运动员下落时竖直方向的速度是由重力加速度和时间决定的,与水平方向的风力没有关系,风力只会影响运动员在水平方向上的速度,选项B错误;运动员在水平方向上的位移是由风力作用下的水平速度和下落时间共同决定的,风力越大,水平速度就越大,因此在相同的时间内,水平位移也会越大,选项C错误。
2 [2025辽宁辽阳期末考试]如图所示,在大海上,帆板在海面上以大小为$v$的速度朝正东方向航行,帆船以大小为$\sqrt{3}v$的速度朝正北方向航行。若以帆船为参考系,则下列说法正确的是( )

A.帆板朝正南方向航行,速度大小为$v$
B.帆板朝正东方向航行,速度大小为$v$
C.帆板朝南偏东$30^{\circ}$方向航行,速度大小为$2v$
D.帆板朝北偏东$30^{\circ}$方向航行,速度大小为$2v$
A.帆板朝正南方向航行,速度大小为$v$
B.帆板朝正东方向航行,速度大小为$v$
C.帆板朝南偏东$30^{\circ}$方向航行,速度大小为$2v$
D.帆板朝北偏东$30^{\circ}$方向航行,速度大小为$2v$
答案:
2 C 以帆船为参考系,帆板具有向东的速度$v$和向南的速度$\sqrt{3}v$,二者的合速度为$v_{合}=\sqrt{(\sqrt{3}v)^{2}+v^{2}}=2v$,$\tan\alpha=\frac{v}{\sqrt{3}v}=\frac{\sqrt{3}}{3}$,所以$\alpha=30^{\circ}$,即速度方向为南偏东$30^{\circ}$,故选C。
3 如图所示,一条小船渡河,河宽100米,河水流速$v_{1}=3m/s$,船在静水中速度$v_{2}=5m/s$,船头方向与河岸垂直。关于小船的运动,下列说法正确的是( )

A.小船的实际运动轨迹与河岸垂直
B.小船相对于岸的速度大小为$8m/s$
C.小船过河所用时间为$25s$
D.小船将航行到正对岸下游$60m$处
A.小船的实际运动轨迹与河岸垂直
B.小船相对于岸的速度大小为$8m/s$
C.小船过河所用时间为$25s$
D.小船将航行到正对岸下游$60m$处
答案:
3 D 小船速度如图所示,小船相对于河岸的速度大小为$v=\sqrt{v_{1}^{2}+v_{2}^{2}}=\sqrt{34} m/s$,小船速度方向不与河岸垂直,AB错误;小船渡河时间为$t=\frac{d}{v_{2}}=\frac{100}{5} s=20 s$,C错误;小船沿河岸位移大小为$x=v_{1}t=60 m$,小船将航行到正对岸下游$60 m$处,D正确。
3 D 小船速度如图所示,小船相对于河岸的速度大小为$v=\sqrt{v_{1}^{2}+v_{2}^{2}}=\sqrt{34} m/s$,小船速度方向不与河岸垂直,AB错误;小船渡河时间为$t=\frac{d}{v_{2}}=\frac{100}{5} s=20 s$,C错误;小船沿河岸位移大小为$x=v_{1}t=60 m$,小船将航行到正对岸下游$60 m$处,D正确。
4 (多选)如图所示,民族运动会上有一个骑射项目,运动员骑在奔驰的马背上沿着跑道$AB$运动拉弓放箭射向他左侧的固定目标。假设运动员骑马奔驰的速度为$v_{1}$,运动员静止时射出的箭速度为$v_{2}$,跑道离固定目标的最近距离$OC = d$。若不计空气阻力的影响,要想命中目标且射出的箭在空中飞行时间最短,则( )

A.运动员应瞄准靶心放箭
B.运动员应在距离$C$点$\frac{v_{1}}{v_{2}}d$的地方提前放箭
C.箭射到靶心的最短时间为$\frac{d}{v_{2}}$
D.箭射到靶心的最短时间为$\frac{d}{\sqrt{v_{2}^{2}-v_{1}^{2}}}$
A.运动员应瞄准靶心放箭
B.运动员应在距离$C$点$\frac{v_{1}}{v_{2}}d$的地方提前放箭
C.箭射到靶心的最短时间为$\frac{d}{v_{2}}$
D.箭射到靶心的最短时间为$\frac{d}{\sqrt{v_{2}^{2}-v_{1}^{2}}}$
答案:
4 BC 箭参与了沿马运动方向上的匀速直线运动和垂直于马运动方向上的匀速直线运动,如图,要击中目标靶,运动员应瞄准靶心左侧放箭,选项A错误;当箭垂直于马运动方向发射,此时箭在空中飞行时间最短,所以最短时间$t=\frac{d}{v_{2}}$,选项C正确,D错误;箭垂直于马运动方向发射时,箭在沿马运动方向上的位移为$x=v_{1}t=\frac{v_{1}}{v_{2}}d$,即运动员应在距离C点$\frac{v_{1}}{v_{2}}d$的地方提前放箭,选项B正确。
4 BC 箭参与了沿马运动方向上的匀速直线运动和垂直于马运动方向上的匀速直线运动,如图,要击中目标靶,运动员应瞄准靶心左侧放箭,选项A错误;当箭垂直于马运动方向发射,此时箭在空中飞行时间最短,所以最短时间$t=\frac{d}{v_{2}}$,选项C正确,D错误;箭垂直于马运动方向发射时,箭在沿马运动方向上的位移为$x=v_{1}t=\frac{v_{1}}{v_{2}}d$,即运动员应在距离C点$\frac{v_{1}}{v_{2}}d$的地方提前放箭,选项B正确。
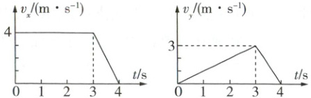
5 (多选)[2025广西柳州期末考试]物体在直角坐标系$xOy$所在的平面内由$O$点开始运动,其沿坐标轴方向的两个分速度随时间变化的图像如图所示,则对该物体运动过程的描述正确的是( )

A.物体在$0\sim3s$内做直线运动
B.物体在$3\sim4s$内做直线运动
C.物体在$3\sim4s$内做曲线运动
D.物体在$0\sim3s$内做匀变速曲线运动
A.物体在$0\sim3s$内做直线运动
B.物体在$3\sim4s$内做直线运动
C.物体在$3\sim4s$内做曲线运动
D.物体在$0\sim3s$内做匀变速曲线运动
答案:
5 BD 由题图可知0~3s内物体在x方向做速度为$4 m/s$的匀速直线运动,在y方向做初速度为0的匀加速直线运动,即合力沿y方向,可知物体的合初速度与合加速度不在同一直线上,$v-t$图像斜率表示加速度,由题图可知y方向上的加速度不变,所以物体的合运动为匀变速曲线运动,选项A错误,D正确;由题图可知3s末物体合速度方向与x方向夹角的正切值为$\tan\theta=\frac{v_{y}}{v_{x}}=\frac{3}{4}$,3~4s内x方向的加速度大小$a_{x}=\frac{4 - 0}{4 - 3} m/s^2=4 m/s^2$,y方向的加速度大小$a_{y}=\frac{3 - 0}{4 - 3} m/s^2=3 m/s^2$,可知3~4s内物体合加速度方向与x方向夹角的正切值为$\tan\alpha=\frac{a_{y}}{a_{x}}=\frac{3}{4}=\tan\theta$,可知物体的合初速度与合加速度在同一直线上,故物体做直线运动,选项B正确,C错误。
查看更多完整答案,请扫码查看