第115页
- 第1页
- 第2页
- 第3页
- 第4页
- 第5页
- 第6页
- 第7页
- 第8页
- 第9页
- 第10页
- 第11页
- 第12页
- 第13页
- 第14页
- 第15页
- 第16页
- 第17页
- 第18页
- 第19页
- 第20页
- 第21页
- 第22页
- 第23页
- 第24页
- 第25页
- 第26页
- 第27页
- 第28页
- 第29页
- 第30页
- 第31页
- 第32页
- 第33页
- 第34页
- 第35页
- 第36页
- 第37页
- 第38页
- 第39页
- 第40页
- 第41页
- 第42页
- 第43页
- 第44页
- 第45页
- 第46页
- 第47页
- 第48页
- 第49页
- 第50页
- 第51页
- 第52页
- 第53页
- 第54页
- 第55页
- 第56页
- 第57页
- 第58页
- 第59页
- 第60页
- 第61页
- 第62页
- 第63页
- 第64页
- 第65页
- 第66页
- 第67页
- 第68页
- 第69页
- 第70页
- 第71页
- 第72页
- 第73页
- 第74页
- 第75页
- 第76页
- 第77页
- 第78页
- 第79页
- 第80页
- 第81页
- 第82页
- 第83页
- 第84页
- 第85页
- 第86页
- 第87页
- 第88页
- 第89页
- 第90页
- 第91页
- 第92页
- 第93页
- 第94页
- 第95页
- 第96页
- 第97页
- 第98页
- 第99页
- 第100页
- 第101页
- 第102页
- 第103页
- 第104页
- 第105页
- 第106页
- 第107页
- 第108页
- 第109页
- 第110页
- 第111页
- 第112页
- 第113页
- 第114页
- 第115页
- 第116页
- 第117页
- 第118页
- 第119页
- 第120页
- 第121页
- 第122页
- 第123页
- 第124页
- 第125页
- 第126页
- 第127页
- 第128页
- 第129页
- 第130页
- 第131页
- 第132页
- 第133页
- 第134页
- 第135页
9. 已知$\vert x - 4\vert + (y - 9)^{2} = 0$,试求代数式$(\frac{x - y}{x + y})^{2} · \frac{x + y}{x^{2} - 4xy + 4y^{2}} ÷ (\frac{x - y}{x - 2y})^{2}$的值。
答案:
9.解:由|x-4|$+(y-9)^2=0,$得x=4,y=9.
$ \therefore (\frac{x-y}{x+y})^2 · \frac{x+y}{x^2-4xy+4y^2} ÷ (\frac{x-y}{x-2y})^2 $
$= \frac{(x-y)^2}{(x+y)^2} · \frac{x+y}{(x-2y)^2} · \frac{(x-2y)^2}{(x-y)^2} $
$= \frac{1}{x+y} $
当x=4,y=9时,原式$= \frac{1}{4+9} = \frac{1}{13}$
$ \therefore (\frac{x-y}{x+y})^2 · \frac{x+y}{x^2-4xy+4y^2} ÷ (\frac{x-y}{x-2y})^2 $
$= \frac{(x-y)^2}{(x+y)^2} · \frac{x+y}{(x-2y)^2} · \frac{(x-2y)^2}{(x-y)^2} $
$= \frac{1}{x+y} $
当x=4,y=9时,原式$= \frac{1}{4+9} = \frac{1}{13}$
10. 有这样一道题:“计算$\frac{x^{2} - 2x + 1}{x^{2} - 1} ÷ \frac{x - 1}{x^{2} + x} ÷ (\frac{1}{x})^{3}$的值,其中$x = 2$”,小明同学把$x = 2$抄错为$x = -2$,但是他计算的结果也是正确的,你能说说这是怎么回事吗?
答案:
10.解:原式$= \frac{(x-1)^2}{(x+1)(x-1)} · \frac{x(x+1)}{x-1} · x^3 = x^4 $
$ \therefore $当x=2或x=-2时,原式都为16.
$ \therefore $当x=2或x=-2时,原式都为16.
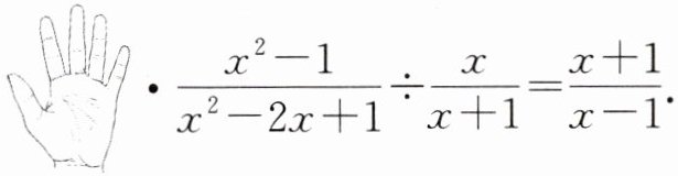
11. [2024 长沙模拟]老师在黑板上书写了一道题目的正确计算过程,随后用手遮住了其中一部分,如图所示:
$· \frac{x^{2} - 1}{x^{2} - 2x + 1} ÷ \frac{x}{x + 1} = \frac{x + 1}{x - 1}$。
(1)求被手遮住部分的代数式;
(2)等式左边的代数式的值能等于 0 吗?请说明理由。
(1)求被手遮住部分的代数式;
(2)等式左边的代数式的值能等于 0 吗?请说明理由。
答案:
11.解
(1)设被手遮住部分的代数式为A,
则$A= \frac{x+1}{x-1} · \frac{x}{x+1} ÷ \frac{x^2-1}{x^2-2x+1} = \frac{x}{x-1} · \frac{(x-1)^2}{(x+1)(x-1)} = \frac{x}{x+1} $
(2)等式左边的代数式的值不能等于0.理由如下:
若等式左边的代数式的值为0,则$\frac{x+1}{x-1}=0,$即x+1=0,
当x+1=0时,原分式无意义,
$ \therefore $等式左边的代数式的值不能等于0.
(1)设被手遮住部分的代数式为A,
则$A= \frac{x+1}{x-1} · \frac{x}{x+1} ÷ \frac{x^2-1}{x^2-2x+1} = \frac{x}{x-1} · \frac{(x-1)^2}{(x+1)(x-1)} = \frac{x}{x+1} $
(2)等式左边的代数式的值不能等于0.理由如下:
若等式左边的代数式的值为0,则$\frac{x+1}{x-1}=0,$即x+1=0,
当x+1=0时,原分式无意义,
$ \therefore $等式左边的代数式的值不能等于0.
12. 【创新意识】阅读下面的解题过程:
已知$\frac{x}{x^{2} + 1} = \frac{1}{3}$,求$\frac{x^{2}}{x^{4} + 1}$的值。
解:由$\frac{x}{x^{2} + 1} = \frac{1}{3}$知$x \neq 0$,
$\therefore \frac{x^{2} + 1}{x} = 3$,即$x + \frac{1}{x} = 3$。
$\therefore \frac{x^{4} + 1}{x^{2}} = x^{2} + \frac{1}{x^{2}}$
$= (x + \frac{1}{x})^{2} - 2$
$= 3^{2} - 2$
$= 7$。
故$\frac{x^{2}}{x^{4} + 1}$的值为$\frac{1}{7}$。
该题的解法叫作“倒数法”,请你利用“倒数法”解决下面的问题:
已知$\frac{x}{x^{2} - 3x + 1} = \frac{1}{5}$,求$\frac{x^{2}}{x^{4} + x^{2} + 1}$的值。
已知$\frac{x}{x^{2} + 1} = \frac{1}{3}$,求$\frac{x^{2}}{x^{4} + 1}$的值。
解:由$\frac{x}{x^{2} + 1} = \frac{1}{3}$知$x \neq 0$,
$\therefore \frac{x^{2} + 1}{x} = 3$,即$x + \frac{1}{x} = 3$。
$\therefore \frac{x^{4} + 1}{x^{2}} = x^{2} + \frac{1}{x^{2}}$
$= (x + \frac{1}{x})^{2} - 2$
$= 3^{2} - 2$
$= 7$。
故$\frac{x^{2}}{x^{4} + 1}$的值为$\frac{1}{7}$。
该题的解法叫作“倒数法”,请你利用“倒数法”解决下面的问题:
已知$\frac{x}{x^{2} - 3x + 1} = \frac{1}{5}$,求$\frac{x^{2}}{x^{4} + x^{2} + 1}$的值。
答案:
12.解:由$\frac{x}{x^2-3x+1} = \frac{1}{5}$知$x \neq 0,$
$ \therefore \frac{x^2-3x+1}{x} =5,$即$x-3+ \frac{1}{x} =5. $
$ \therefore x+ \frac{1}{x} =8,$
$ \therefore \frac{x^4+x^2+1}{x^2} =x^2+1+ \frac{1}{x^2} $
$= (x+ \frac{1}{x})^2 -1 $
$=8^2 -1 $
=63.
故$\frac{x^2}{x^4+x^2+1}$的值为$\frac{1}{63}$
$ \therefore \frac{x^2-3x+1}{x} =5,$即$x-3+ \frac{1}{x} =5. $
$ \therefore x+ \frac{1}{x} =8,$
$ \therefore \frac{x^4+x^2+1}{x^2} =x^2+1+ \frac{1}{x^2} $
$= (x+ \frac{1}{x})^2 -1 $
$=8^2 -1 $
=63.
故$\frac{x^2}{x^4+x^2+1}$的值为$\frac{1}{63}$
查看更多完整答案,请扫码查看