2025年天星教育试题调研地理第9辑
注:目前有些书本章节名称可能整理的还不是很完善,但都是按照顺序排列的,请同学们按照顺序仔细查找。练习册 2025年天星教育试题调研地理第9辑 答案主要是用来给同学们做完题方便对答案用的,请勿直接抄袭。
第57页
- 第1页
- 第2页
- 第3页
- 第4页
- 第5页
- 第6页
- 第7页
- 第8页
- 第9页
- 第10页
- 第11页
- 第12页
- 第13页
- 第14页
- 第15页
- 第16页
- 第17页
- 第18页
- 第19页
- 第20页
- 第21页
- 第22页
- 第23页
- 第24页
- 第25页
- 第26页
- 第27页
- 第28页
- 第29页
- 第30页
- 第31页
- 第32页
- 第33页
- 第34页
- 第35页
- 第36页
- 第37页
- 第38页
- 第39页
- 第40页
- 第41页
- 第42页
- 第43页
- 第44页
- 第45页
- 第46页
- 第47页
- 第48页
- 第49页
- 第50页
- 第51页
- 第52页
- 第53页
- 第54页
- 第55页
- 第56页
- 第57页
- 第58页
- 第59页
- 第60页
- 第61页
- 第62页
- 第63页
- 第64页
- 第65页
- 第66页
- 第67页
- 第68页
- 第69页
- 第70页
- 第71页
- 第72页
- 第73页
- 第74页
- 第75页
- 第76页
- 第77页
- 第78页
- 第79页
- 第80页
- 第81页
- 第82页
- 第83页
- 第84页
阅读图文材料,完成下列要求。(20分)
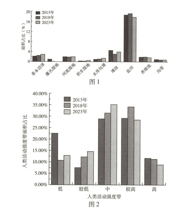
小清河河口湿地位于山东莱州湾西岸,地处海陆交界处,生物多样性丰富,具有颇高的生态价值。2013—2018年,小清河河口湿地出现明显退化趋势。2018年以来,当地采取一系列措施保护小清河河口湿地。图1示意小清河河口湿地不同类型景观的面积占比,图2示意2013—2023年小清河河口湿地人类活动强度变化。
命题依据
随着可持续发展、绿色发展理念的贯彻落实,湿地的治理与保护成为社会广泛关注的问题,更成为高考地理的命题热点,如2024年高考新课标卷第37题、湖南卷第18题。本题直击核心考点,以小尺度区域为切口,这种命题形式很可能在2025年高考中再次出现。

(1)指出小清河河口最主要的湿地景观类型,并简述其自然成因。(8分)
(2)结合人类活动强度变化,分析2013—2018年小清河河口湿地可能出现的变化。(6分)
(3)2018年以来小清河河口湿地生态环境改善,推测当地可能采取的措施。(6分)
小清河河口湿地位于山东莱州湾西岸,地处海陆交界处,生物多样性丰富,具有颇高的生态价值。2013—2018年,小清河河口湿地出现明显退化趋势。2018年以来,当地采取一系列措施保护小清河河口湿地。图1示意小清河河口湿地不同类型景观的面积占比,图2示意2013—2023年小清河河口湿地人类活动强度变化。
命题依据
随着可持续发展、绿色发展理念的贯彻落实,湿地的治理与保护成为社会广泛关注的问题,更成为高考地理的命题热点,如2024年高考新课标卷第37题、湖南卷第18题。本题直击核心考点,以小尺度区域为切口,这种命题形式很可能在2025年高考中再次出现。
(1)指出小清河河口最主要的湿地景观类型,并简述其自然成因。(8分)
类型:盐田。成因:地势低平,地下水埋藏浅;临近海洋,受海水入侵影响,地下水盐度高;年蒸发量大,盐分在地表富集。
(2)结合人类活动强度变化,分析2013—2018年小清河河口湿地可能出现的变化。(6分)
人类活动强度总体增大,养殖池等人工湿地面积增大,滩涂等自然湿地面积减小;自然湿地被侵占,湿地破碎化,生态价值降低;人类活动增强,导致湿地污染加剧,生物多样性减少。
(3)2018年以来小清河河口湿地生态环境改善,推测当地可能采取的措施。(6分)
适度压减养殖池等人工湿地,退池还滩;优化水库坑塘的蓄水时间,削峰补枯;采取生态补水等措施,治理湿地污染。
答案:
(1)类型:盐田。(2分)成因:地势低平,地下水埋藏浅;(2分)临近海洋,受海水入侵影响,地下水盐度高;(2分)年蒸发量大,盐分在地表富集。(2分)
(2)人类活动强度总体增大,养殖池等人工湿地面积增大,滩涂等自然湿地面积减小;(2分)自然湿地被侵占,湿地破碎化,生态价值降低;(2分)人类活动增强,导致湿地污染加剧,生物多样性减少。(2分)
(3)适度压减养殖池等人工湿地,退池还滩;优化水库坑塘的蓄水时间,削峰补枯;采取生态补水等措施,治理湿地污染。(每点2分,其他答案合理亦可给分)
(1)类型:盐田。(2分)成因:地势低平,地下水埋藏浅;(2分)临近海洋,受海水入侵影响,地下水盐度高;(2分)年蒸发量大,盐分在地表富集。(2分)
(2)人类活动强度总体增大,养殖池等人工湿地面积增大,滩涂等自然湿地面积减小;(2分)自然湿地被侵占,湿地破碎化,生态价值降低;(2分)人类活动增强,导致湿地污染加剧,生物多样性减少。(2分)
(3)适度压减养殖池等人工湿地,退池还滩;优化水库坑塘的蓄水时间,削峰补枯;采取生态补水等措施,治理湿地污染。(每点2分,其他答案合理亦可给分)
查看更多完整答案,请扫码查看