2025年名校课堂八年级数学上册沪科版
注:目前有些书本章节名称可能整理的还不是很完善,但都是按照顺序排列的,请同学们按照顺序仔细查找。练习册 2025年名校课堂八年级数学上册沪科版 答案主要是用来给同学们做完题方便对答案用的,请勿直接抄袭。
第27页
- 第1页
- 第2页
- 第3页
- 第4页
- 第5页
- 第6页
- 第7页
- 第8页
- 第9页
- 第10页
- 第11页
- 第12页
- 第13页
- 第14页
- 第15页
- 第16页
- 第17页
- 第18页
- 第19页
- 第20页
- 第21页
- 第22页
- 第23页
- 第24页
- 第25页
- 第26页
- 第27页
- 第28页
- 第29页
- 第30页
- 第31页
- 第32页
- 第33页
- 第34页
- 第35页
- 第36页
- 第37页
- 第38页
- 第39页
- 第40页
- 第41页
- 第42页
- 第43页
- 第44页
- 第45页
- 第46页
- 第47页
- 第48页
- 第49页
- 第50页
- 第51页
- 第52页
- 第53页
- 第54页
- 第55页
- 第56页
- 第57页
- 第58页
- 第59页
- 第60页
- 第61页
- 第62页
- 第63页
- 第64页
- 第65页
- 第66页
- 第67页
- 第68页
- 第69页
- 第70页
- 第71页
- 第72页
- 第73页
- 第74页
- 第75页
- 第76页
- 第77页
- 第78页
- 第79页
- 第80页
- 第81页
- 第82页
- 第83页
- 第84页
- 第85页
- 第86页
- 第87页
- 第88页
- 第89页
- 第90页
- 第91页
- 第92页
- 第93页
- 第94页
- 第95页
- 第96页
- 第97页
- 第98页
- 第99页
- 第100页
- 第101页
- 第102页
- 第103页
- 第104页
- 第105页
- 第106页
- 第107页
- 第108页
- 第109页
- 第110页
- 第111页
12. (2020·安徽)已知一次函数 $ y = kx + 3 $($ k $ 为常数,且 $ k \neq 0 $)的图象经过点 $ A $,且 $ y $ 随 $ x $ 的增大而减小,则点 $ A $ 的坐标可以是(
A.$ (-1,2) $
B.$ (1,-2) $
C.$ (2,3) $
D.$ (3,4) $
B
)A.$ (-1,2) $
B.$ (1,-2) $
C.$ (2,3) $
D.$ (3,4) $
答案:
B
13. 已知一次函数 $ y = kx - k $,当 $ k < 0 $ 时,该函数图象经过(
A.第一、二、三象限
B.第一、二、四象限
C.第二、三、四象限
D.第一、三、四象限
B
)A.第一、二、三象限
B.第一、二、四象限
C.第二、三、四象限
D.第一、三、四象限
答案:
B
14. (2022·安徽)在同一平面直角坐标系中,一次函数 $ y = ax + a^{2} $ 与 $ y = a^{2}x + a $ 的图象可能是( )

答案:
D
15. (2024·合肥行知中学期中改编)已知一次函数 $ y = (m - 1)x - 2m + 1 $,其中 $ m $ 为常数,且 $ m \neq 1 $。
(1)若点 $ B(1,t) $,$ C(3,t + 2) $ 都在该一次函数的图象上,求 $ m $ 的值;
(2)当 $ - 2 \leq x \leq 3 $ 时,函数有最大值为 $ 2 $,求该函数的表达式。
(1)若点 $ B(1,t) $,$ C(3,t + 2) $ 都在该一次函数的图象上,求 $ m $ 的值;
(2)当 $ - 2 \leq x \leq 3 $ 时,函数有最大值为 $ 2 $,求该函数的表达式。
答案:
(1)由题意,得$\begin{cases}m - 1 - 2m + 1 = t,\\3(m - 1) - 2m + 1 = t + 2,\end{cases}$解得$m = 2$.
(2)①当$m > 1$时,$y$随$x$的增大而增大,
∴当$x = 3$时,函数有最大值为2.
∴$3(m - 1) - 2m + 1 = 2$,解得$m = 4$.
∴该函数的表达式为$y = 3x - 7$;②当$m < 1$时,$y$随$x$的增大而减小,
∴当$x = -2$时,函数有最大值为2.
∴$-2(m - 1) - 2m + 1 = 2$,解得$m = \frac{1}{4}$.
∴该函数的表达式为$y = -\frac{3}{4}x + \frac{1}{2}$.综上所述,该函数的表达式是$y = 3x - 7$或$y = -\frac{3}{4}x + \frac{1}{2}$.
(1)由题意,得$\begin{cases}m - 1 - 2m + 1 = t,\\3(m - 1) - 2m + 1 = t + 2,\end{cases}$解得$m = 2$.
(2)①当$m > 1$时,$y$随$x$的增大而增大,
∴当$x = 3$时,函数有最大值为2.
∴$3(m - 1) - 2m + 1 = 2$,解得$m = 4$.
∴该函数的表达式为$y = 3x - 7$;②当$m < 1$时,$y$随$x$的增大而减小,
∴当$x = -2$时,函数有最大值为2.
∴$-2(m - 1) - 2m + 1 = 2$,解得$m = \frac{1}{4}$.
∴该函数的表达式为$y = -\frac{3}{4}x + \frac{1}{2}$.综上所述,该函数的表达式是$y = 3x - 7$或$y = -\frac{3}{4}x + \frac{1}{2}$.
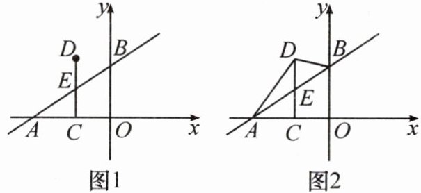
16. (2024·六安金安区期末)如图1,在平面直角坐标系中,一次函数 $ y = \frac{2}{3}x + 2 $ 的图象分别与 $ x $ 轴、$ y $ 轴交于点 $ A $,$ B $,$ C $ 是线段 $ OA $ 上的一个动点(不与点 $ O $ 和点 $ A $ 重合),过点 $ C $ 作 $ CD // y $ 轴交直线 $ AB $ 于点 $ E $,使 $ CD = \frac{3}{2}OC $,设点 $ C $ 的横坐标为 $ m $。
(1)求点 $ A $,$ B $ 的坐标;
(2)当 $ DE = CE $ 时,求 $ m $ 的值;
(3)如图2,连接 $ AD $,$ BD $,在点 $ C $ 运动的过程中,当三角形 $ ADB $ 的面积等于三角形 $ AOB $ 的面积时,求 $ m $ 的值。
-
-

(1)求点 $ A $,$ B $ 的坐标;
(2)当 $ DE = CE $ 时,求 $ m $ 的值;
(3)如图2,连接 $ AD $,$ BD $,在点 $ C $ 运动的过程中,当三角形 $ ADB $ 的面积等于三角形 $ AOB $ 的面积时,求 $ m $ 的值。
-
-
答案:
(1)在$y = \frac{2}{3}x + 2$中,令$y = 0$,则$\frac{2}{3}x + 2 = 0$,解得$x = -3$.令$x = 0$,则$y = 2$.
∴A(-3,0),B(0,2).
(2)
∵点C的横坐标为$m$,
∴OC = -m.
∵$CD = \frac{3}{2}CO$,
∴$CD = -\frac{3}{2}m$.当$x = m$时,$y = \frac{2}{3}m + 2$.
∴$CE = \frac{2}{3}m + 2$.
∴$DE = CD - CE = -\frac{3}{2}m - (\frac{2}{3}m + 2) = -\frac{13}{6}m - 2$.
∵$DE = CE$,
∴$-\frac{13}{6}m - 2 = \frac{2}{3}m + 2$,解得$m = -\frac{24}{17}$.
(3)过点B作$BF \perp DE$于点$F$,则$S_{\triangle ABD} = S_{\triangle ADE} + S_{\triangle BDE} = \frac{1}{2}DE \cdot AC + \frac{1}{2}DE \cdot BF = \frac{1}{2}DE \cdot AO$.
∵$S_{\triangle AOB} = \frac{1}{2}AO \cdot OB$,$S_{\triangle ABD} = S_{\triangle AOB}$,
∴$DE = OB$.
∵B(0,2),
∴$OB = 2$.由
(2)可知,$DE = -\frac{13}{6}m - 2$,
∴$-\frac{13}{6}m - 2 = 2$,解得$m = -\frac{24}{13}$.
(1)在$y = \frac{2}{3}x + 2$中,令$y = 0$,则$\frac{2}{3}x + 2 = 0$,解得$x = -3$.令$x = 0$,则$y = 2$.
∴A(-3,0),B(0,2).
(2)
∵点C的横坐标为$m$,
∴OC = -m.
∵$CD = \frac{3}{2}CO$,
∴$CD = -\frac{3}{2}m$.当$x = m$时,$y = \frac{2}{3}m + 2$.
∴$CE = \frac{2}{3}m + 2$.
∴$DE = CD - CE = -\frac{3}{2}m - (\frac{2}{3}m + 2) = -\frac{13}{6}m - 2$.
∵$DE = CE$,
∴$-\frac{13}{6}m - 2 = \frac{2}{3}m + 2$,解得$m = -\frac{24}{17}$.
(3)过点B作$BF \perp DE$于点$F$,则$S_{\triangle ABD} = S_{\triangle ADE} + S_{\triangle BDE} = \frac{1}{2}DE \cdot AC + \frac{1}{2}DE \cdot BF = \frac{1}{2}DE \cdot AO$.
∵$S_{\triangle AOB} = \frac{1}{2}AO \cdot OB$,$S_{\triangle ABD} = S_{\triangle AOB}$,
∴$DE = OB$.
∵B(0,2),
∴$OB = 2$.由
(2)可知,$DE = -\frac{13}{6}m - 2$,
∴$-\frac{13}{6}m - 2 = 2$,解得$m = -\frac{24}{13}$.
查看更多完整答案,请扫码查看