2025年名校课堂八年级数学上册沪科版
注:目前有些书本章节名称可能整理的还不是很完善,但都是按照顺序排列的,请同学们按照顺序仔细查找。练习册 2025年名校课堂八年级数学上册沪科版 答案主要是用来给同学们做完题方便对答案用的,请勿直接抄袭。
第17页
- 第1页
- 第2页
- 第3页
- 第4页
- 第5页
- 第6页
- 第7页
- 第8页
- 第9页
- 第10页
- 第11页
- 第12页
- 第13页
- 第14页
- 第15页
- 第16页
- 第17页
- 第18页
- 第19页
- 第20页
- 第21页
- 第22页
- 第23页
- 第24页
- 第25页
- 第26页
- 第27页
- 第28页
- 第29页
- 第30页
- 第31页
- 第32页
- 第33页
- 第34页
- 第35页
- 第36页
- 第37页
- 第38页
- 第39页
- 第40页
- 第41页
- 第42页
- 第43页
- 第44页
- 第45页
- 第46页
- 第47页
- 第48页
- 第49页
- 第50页
- 第51页
- 第52页
- 第53页
- 第54页
- 第55页
- 第56页
- 第57页
- 第58页
- 第59页
- 第60页
- 第61页
- 第62页
- 第63页
- 第64页
- 第65页
- 第66页
- 第67页
- 第68页
- 第69页
- 第70页
- 第71页
- 第72页
- 第73页
- 第74页
- 第75页
- 第76页
- 第77页
- 第78页
- 第79页
- 第80页
- 第81页
- 第82页
- 第83页
- 第84页
- 第85页
- 第86页
- 第87页
- 第88页
- 第89页
- 第90页
- 第91页
- 第92页
- 第93页
- 第94页
- 第95页
- 第96页
- 第97页
- 第98页
- 第99页
- 第100页
- 第101页
- 第102页
- 第103页
- 第104页
- 第105页
- 第106页
- 第107页
- 第108页
- 第109页
- 第110页
- 第111页
12. (1) (2024·合肥 45 中期中) 在函数 $ y = \frac{2}{\sqrt{x + 3}} $ 中, 自变量 $ x $ 的取值范围是
(2) (2024·蚌埠蚌山区月考) 在函数 $ y = \frac{\sqrt{x}}{x - 2} $ 中, 自变量 $ x $ 的取值范围是
x>-3
;(2) (2024·蚌埠蚌山区月考) 在函数 $ y = \frac{\sqrt{x}}{x - 2} $ 中, 自变量 $ x $ 的取值范围是
x≥0且x≠2
.
答案:
(1)x>-3
(2)x≥0且x≠2
(1)x>-3
(2)x≥0且x≠2
13. 函数 $ y = \frac{1}{\sqrt{x + 1}} + (x - 2)^0 $ 的自变量 $ x $ 的取值范围是
x>-1且x≠2
.
答案:
x>-1且x≠2
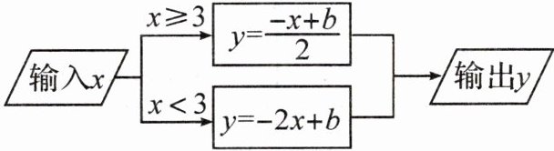
14. 根据如图所示的程序计算函数 $ y $ 的值, 若输入 $ x $ 的值是 7, 则输出 $ y $ 的值是 $ -2 $; 若输入 $ x $ 的值是 $ -8 $, 则输出 $ y $ 的值是
]
19
.
答案:
19
15. 5G 开通了, 某通信公司公布了收费标准, 其中包月 129 元时, 超出部分国内拨打电话费为 0.15 元/分. 由于业务繁忙, 小明的爸爸打电话已超出了包月费. 下表是超出部分国内拨打的收费标准.
(1) 这个表反映了哪两个变量之间的关系? 哪个是自变量?
(2) 如果用 $ x $ 表示国内拨打超出时间, $ y $ 表示国内拨打超出部分的电话费, 那么 $ y $ 与 $ x $ 之间的函数表达式是什么?
(3) 如果国内拨打电话超出 10 分钟, 需多付多少电话费?
(4) 某次超出部分国内拨打电话的费用是 5.4 元, 那么小明的爸爸国内拨打电话超出了多少分钟?

(1) 这个表反映了哪两个变量之间的关系? 哪个是自变量?
(2) 如果用 $ x $ 表示国内拨打超出时间, $ y $ 表示国内拨打超出部分的电话费, 那么 $ y $ 与 $ x $ 之间的函数表达式是什么?
(3) 如果国内拨打电话超出 10 分钟, 需多付多少电话费?
(4) 某次超出部分国内拨打电话的费用是 5.4 元, 那么小明的爸爸国内拨打电话超出了多少分钟?
答案:
(1)这个表反映了超出时间与超出部分的话费之间的关系,超出时间是自变量.
(2)y=0.15x.
(3)当x=10时,y=0.15×10=1.5.答:国内拨打电话超出10分钟,需多付1.5元电话费.
(4)当y=5.4时,0.15x=5.4,解得x=36.答:小明的爸爸国内拨打电话超出了36分钟.
(1)这个表反映了超出时间与超出部分的话费之间的关系,超出时间是自变量.
(2)y=0.15x.
(3)当x=10时,y=0.15×10=1.5.答:国内拨打电话超出10分钟,需多付1.5元电话费.
(4)当y=5.4时,0.15x=5.4,解得x=36.答:小明的爸爸国内拨打电话超出了36分钟.
16. 声音在空气中的传播速度 (简称“声速”) 和气温的关系如下表所示.

(1) 上表反映了
(2) 若用 $ T $ (°C) 表示气温, $ v $ (m/s) 表示声速, 则随着 $ T $ 的增大, $ v $ 将发生怎样的变化?
(3) 根据表中数据的变化, 你发现了什么规律? 写出 $ v $ 与 $ T $ 之间的函数表达式 (不需要写自变量的取值范围);
(4) 根据你发现的规律, 回答下列问题: 在 $ 30 \, °C $ 有闪电的夏夜, 小明在看到闪电 $ 6 \, s $ 后听到雷声, 那么打雷的地方距小明大约有多远?
(1) 上表反映了
声速
与气温
之间的关系, 其中气温
是自变量, 声速
是气温
的函数;(2) 若用 $ T $ (°C) 表示气温, $ v $ (m/s) 表示声速, 则随着 $ T $ 的增大, $ v $ 将发生怎样的变化?
(3) 根据表中数据的变化, 你发现了什么规律? 写出 $ v $ 与 $ T $ 之间的函数表达式 (不需要写自变量的取值范围);
(4) 根据你发现的规律, 回答下列问题: 在 $ 30 \, °C $ 有闪电的夏夜, 小明在看到闪电 $ 6 \, s $ 后听到雷声, 那么打雷的地方距小明大约有多远?
答案:
(1)声速 气温 气温 声速 气温
(2)随着T的增大,v也逐渐增大.
(3)规律:气温每升高5℃,声速增大3m/s.v与T之间的函数表达式是$v=331+\frac{3}{5}T.(4)$把T=30代入$v=331+\frac{3}{5}T,$得v=349.S=vt=349×6=2094.答:打雷的地方距小明大约有2094m.
(1)声速 气温 气温 声速 气温
(2)随着T的增大,v也逐渐增大.
(3)规律:气温每升高5℃,声速增大3m/s.v与T之间的函数表达式是$v=331+\frac{3}{5}T.(4)$把T=30代入$v=331+\frac{3}{5}T,$得v=349.S=vt=349×6=2094.答:打雷的地方距小明大约有2094m.
查看更多完整答案,请扫码查看