第93页
- 第2页
- 第3页
- 第4页
- 第5页
- 第6页
- 第7页
- 第8页
- 第9页
- 第10页
- 第11页
- 第12页
- 第13页
- 第14页
- 第15页
- 第16页
- 第17页
- 第18页
- 第19页
- 第20页
- 第21页
- 第22页
- 第23页
- 第24页
- 第25页
- 第26页
- 第27页
- 第28页
- 第29页
- 第30页
- 第31页
- 第32页
- 第33页
- 第34页
- 第35页
- 第36页
- 第37页
- 第38页
- 第39页
- 第40页
- 第41页
- 第42页
- 第43页
- 第44页
- 第45页
- 第46页
- 第47页
- 第48页
- 第49页
- 第50页
- 第51页
- 第52页
- 第53页
- 第54页
- 第55页
- 第56页
- 第57页
- 第58页
- 第59页
- 第60页
- 第61页
- 第62页
- 第63页
- 第64页
- 第65页
- 第66页
- 第67页
- 第68页
- 第69页
- 第70页
- 第71页
- 第72页
- 第73页
- 第74页
- 第75页
- 第76页
- 第77页
- 第78页
- 第79页
- 第80页
- 第81页
- 第82页
- 第83页
- 第84页
- 第85页
- 第86页
- 第87页
- 第88页
- 第89页
- 第90页
- 第91页
- 第92页
- 第93页
- 第94页
- 第95页
- 第96页
- 第97页
- 第98页
- 第99页
- 第100页
- 第101页
- 第102页
- 第103页
- 第104页
- 第105页
- 第106页
- 第107页
- 第108页
- 第109页
- 第110页
- 第111页
- 第112页
- 第113页
- 第114页
- 第115页
- 第116页
- 第117页
- 第118页
- 第119页
1. (2024·河南改编)小华用图 1 所示的电路探究电流与电压的关系。电源电压恒为 4.5 V,滑动变阻器的最大阻值为 20 Ω。


【基础设问】
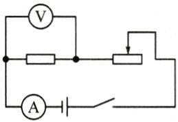
(1)用阻值为 10 Ω 的定值电阻探究电流与电压的关系,根据图 1 中实物电路,请在虚线框中画出对应的电路图。
(2)闭合开关前,应将滑动变阻器的滑片移到最右端,否则,闭合开关时
(3)闭合开关,移动滑片,记录了如表数据。第 5 次的电压表和电流表的示数如图 2、3 所示,请将示数填入表中。

(4)请在图 4 中描出上表中各组数据对应的点,并根据描出的点画出 $ I - U $ 图像。
(5)分析表中数据或图像的特点,可得出:电阻一定时,电流与电压成正比。得出此结论的理由是
(6)为了使结论具有普遍性,他们应该进行的操作是
【能力提升】
(7)某同学用小灯泡代替定值电阻重复上述实验,发现无法得出(5)中的结论,原因是
(8)隔壁小组同学在做同样的探究问题时,记录了电流 $ I $ 与电压 $ U $ 的关系图像如图 5 所示,请帮助该小组分析原因:

【基础设问】
(1)用阻值为 10 Ω 的定值电阻探究电流与电压的关系,根据图 1 中实物电路,请在虚线框中画出对应的电路图。
(2)闭合开关前,应将滑动变阻器的滑片移到最右端,否则,闭合开关时
电压表
(填“电流表”或“电压表”)指针的偏转可能超出所用量程。(3)闭合开关,移动滑片,记录了如表数据。第 5 次的电压表和电流表的示数如图 2、3 所示,请将示数填入表中。
(4)请在图 4 中描出上表中各组数据对应的点,并根据描出的点画出 $ I - U $ 图像。
(5)分析表中数据或图像的特点,可得出:电阻一定时,电流与电压成正比。得出此结论的理由是
电压与电流的比为一定值
。(6)为了使结论具有普遍性,他们应该进行的操作是
换用阻值不同的定值电阻重复前面的实验
。【能力提升】
(7)某同学用小灯泡代替定值电阻重复上述实验,发现无法得出(5)中的结论,原因是
小灯泡的电阻随温度的变化而变化
。(8)隔壁小组同学在做同样的探究问题时,记录了电流 $ I $ 与电压 $ U $ 的关系图像如图 5 所示,请帮助该小组分析原因:
电压表并联在了滑动变阻器的两端
。
答案:
1.
(1)
(2)电压表
(3)2.8 0.28
(4)
(5)电压与电流的比为一定值
(6)换用阻值不同的定值电阻重复前面的实验
(7)小灯泡的电阻随温度的变化而变化
(8)电压表并联在了滑动变阻器的两端
1.
(1)
(2)电压表
(3)2.8 0.28
(4)
(5)电压与电流的比为一定值
(6)换用阻值不同的定值电阻重复前面的实验
(7)小灯泡的电阻随温度的变化而变化
(8)电压表并联在了滑动变阻器的两端
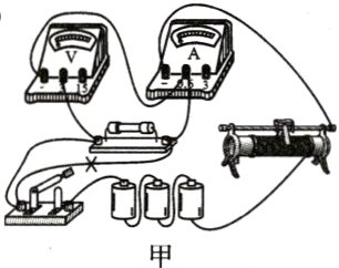
2. (2024·临沂改编)用电压表和电流表等器材探究电流与电阻的关系,电源电压为 4.5 V,所用定值电阻的阻值分别为 5 Ω、10 Ω、15 Ω、20 Ω、25 Ω、30 Ω。

【基础设问】
(1)先将 30 Ω 的电阻接入图甲所示电路,闭合开关前,应将滑动变阻器的滑片移到最
(2)图甲所示电路有一条导线连接错误,请在该导线上打“×”,并用笔画一条线代替导线,将电路连接正确。
(3)改正错误后闭合开关,电流表无示数,电压表有示数,可能是定值电阻
(4)排除故障后闭合开关,移动滑动变阻器的滑片,当电压表的示数为 3.0 V 时,电流表的示数为 0.1 A。断开开关,将 30 Ω 的电阻换成 25 Ω 的后再闭合开关,应将滑动变阻器的滑片向
(5)实验数据如表所示,请在图丙中画出 $ I - R $ 的关系图像。

(6)由图像可得出的实验结论是:
(7)为顺利完成该实验,所用滑动变阻器的最大阻值应大于
【能力提升】
(8)实验后的交流环节,同学们认为可用电阻箱代替定值电阻来改进此实验,请你写出这样改进的好处有
(9)小明根据实验数据,作出了如图丁 $ a $ 所示的图像(横坐标未标物理量),同组的小强认为不便直观判断 $ I $ 与 $ R $ 的定量关系,于是对图像中的横坐标进行了巧妙变换,从而画出了如图丁 $ b $ 所示的图像。你认为小强的改进方法是:

(10)同组的小华在做本实验时,用的滑动变阻器最大阻值为 20 Ω。她先调节滑片,使电压表示数为 2 V,记录电流表的示数;然后断开开关,将 10 Ω 的电阻依次换成 5 Ω、15 Ω 的电阻,闭合开关,移动滑片,使电压表示数仍为 2 V,记录电流表示数。当换成 20 Ω 电阻后,发现电压表示数始终不能为 2 V,为了完成实验,下列方案可行的是
A. 换用电压为 6 V 的电源
B. 把电压表改接为 0~15 V 量程
C. 在开关与滑动变阻器之间串联一个阻值为 10 Ω 的电阻
【基础设问】
(1)先将 30 Ω 的电阻接入图甲所示电路,闭合开关前,应将滑动变阻器的滑片移到最
左
(填“左”或“右”)端。(2)图甲所示电路有一条导线连接错误,请在该导线上打“×”,并用笔画一条线代替导线,将电路连接正确。
(3)改正错误后闭合开关,电流表无示数,电压表有示数,可能是定值电阻
开
路。(4)排除故障后闭合开关,移动滑动变阻器的滑片,当电压表的示数为 3.0 V 时,电流表的示数为 0.1 A。断开开关,将 30 Ω 的电阻换成 25 Ω 的后再闭合开关,应将滑动变阻器的滑片向
右
(填“左”或“右”)移动,直至电压表示数为3.0V
,此时,电流表的示数如图乙所示,为0.12
A。(5)实验数据如表所示,请在图丙中画出 $ I - R $ 的关系图像。
(6)由图像可得出的实验结论是:
电压一定时,电流与电阻成反比
。(7)为顺利完成该实验,所用滑动变阻器的最大阻值应大于
15
Ω。【能力提升】
(8)实验后的交流环节,同学们认为可用电阻箱代替定值电阻来改进此实验,请你写出这样改进的好处有
实验过程中不需要更换电阻,操作简单
。(9)小明根据实验数据,作出了如图丁 $ a $ 所示的图像(横坐标未标物理量),同组的小强认为不便直观判断 $ I $ 与 $ R $ 的定量关系,于是对图像中的横坐标进行了巧妙变换,从而画出了如图丁 $ b $ 所示的图像。你认为小强的改进方法是:
横坐标R变为$\frac{1}{R}$,作出I-$\frac{1}{R}$图像
。(10)同组的小华在做本实验时,用的滑动变阻器最大阻值为 20 Ω。她先调节滑片,使电压表示数为 2 V,记录电流表的示数;然后断开开关,将 10 Ω 的电阻依次换成 5 Ω、15 Ω 的电阻,闭合开关,移动滑片,使电压表示数仍为 2 V,记录电流表示数。当换成 20 Ω 电阻后,发现电压表示数始终不能为 2 V,为了完成实验,下列方案可行的是
C
(填字母代号)。A. 换用电压为 6 V 的电源
B. 把电压表改接为 0~15 V 量程
C. 在开关与滑动变阻器之间串联一个阻值为 10 Ω 的电阻
答案:
2.
(1)左
(2)
(3)开
(4)右 电压表示数为3.0V 0.12
(5)
(6)电压一定时,电流与电阻成反比
(7)15
(8)实验过程中不需要更换电阻,操作简单
(9)横坐标R变为$\frac{1}{R}$,作出I-$\frac{1}{R}$图像
(10)C
2.
(1)左
(2)
(3)开
(4)右 电压表示数为3.0V 0.12
(5)
(6)电压一定时,电流与电阻成反比
(7)15
(8)实验过程中不需要更换电阻,操作简单
(9)横坐标R变为$\frac{1}{R}$,作出I-$\frac{1}{R}$图像
(10)C
查看更多完整答案,请扫码查看