第51页
- 第1页
- 第2页
- 第3页
- 第4页
- 第5页
- 第6页
- 第7页
- 第8页
- 第9页
- 第10页
- 第11页
- 第12页
- 第13页
- 第14页
- 第15页
- 第16页
- 第17页
- 第18页
- 第19页
- 第20页
- 第21页
- 第22页
- 第23页
- 第24页
- 第25页
- 第26页
- 第27页
- 第28页
- 第29页
- 第30页
- 第31页
- 第32页
- 第33页
- 第34页
- 第35页
- 第36页
- 第37页
- 第38页
- 第39页
- 第40页
- 第41页
- 第42页
- 第43页
- 第44页
- 第45页
- 第46页
- 第47页
- 第48页
- 第49页
- 第50页
- 第51页
- 第52页
- 第53页
- 第54页
- 第55页
- 第56页
- 第57页
- 第58页
- 第59页
- 第60页
- 第61页
- 第62页
- 第63页
- 第64页
- 第65页
- 第66页
- 第67页
- 第68页
- 第69页
- 第70页
- 第71页
- 第72页
- 第73页
- 第74页
- 第75页
- 第76页
- 第77页
- 第78页
- 第79页
- 第80页
- 第81页
- 第82页
- 第83页
- 第84页
- 第85页
- 第86页
- 第87页
- 第88页
- 第89页
- 第90页
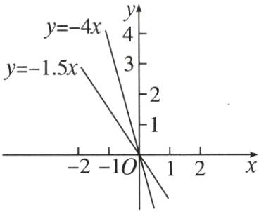
【例1】在同一平面直角坐标系中,画出函数 $ y = -4x $,$ y = -1.5x $ 的图象。并根据图象回答,随着 $ x $ 值的增大,哪个函数值减小得更快?
[听课笔记]
__________________
名师点拨 画正比例函数 $ y = kx $ 的图象,一般选择过点 $ (0,0) $ 和 $ (1,k) $ 画直线。当自变量的系数是分数时,点的选择要灵活,如画函数 $ y = -\frac{3}{2}x $ 的图象,可以选择过点 $ (0,0) $ 和 $ (-2,3) $ 画直线。
[听课笔记]
__________________
名师点拨 画正比例函数 $ y = kx $ 的图象,一般选择过点 $ (0,0) $ 和 $ (1,k) $ 画直线。当自变量的系数是分数时,点的选择要灵活,如画函数 $ y = -\frac{3}{2}x $ 的图象,可以选择过点 $ (0,0) $ 和 $ (-2,3) $ 画直线。
答案:
解如图,
从图象可以看出,随着$x$值的增大,$y = -4x$的函数值减小得更快。
解如图,
【对点训练1】在同一直角坐标系中,画出函数 $ y = \frac{1}{5}x $,$ y = x $,$ y = 5x $ 的图象,然后比较哪一个与 $ x $ 轴正方向所成的锐角最小,由此你有什么猜想?再画几个图象验证你的猜想。
答案:
解如图,
由以上三个函数的图象可知函数$y = \frac{1}{5}x$与$x$轴正方向所成的锐角最小,由此可知在正比例函数$y = kx(k > 0)$中,$k$越小,函数图象与$x$轴正方向所成的锐角越小。再画出函数$y = \frac{1}{2}x$与函数$y = 2x$的图象进行比较。
解如图,
【例2】根据表中正比例函数的自变量 $ x $ 与函数 $ y $ 的对应值,求出正比例函数的表达式。

[听课笔记]
__________________
名师点拨 正比例函数只含有一个待定系数,因此,只需要知道一个点(除原点外)的坐标即可求正比例函数的表达式。
[听课笔记]
__________________
名师点拨 正比例函数只含有一个待定系数,因此,只需要知道一个点(除原点外)的坐标即可求正比例函数的表达式。
答案:
解设正比例函数的表达式为$y = kx(k \neq 0)$,当$x = -2$时,$y = -4$,则$-4 = -2k$,解得$k = 2$,故正比例函数的表达式为$y = 2x$。
【对点训练2】已知点 $ (2,-3) $ 在正比例函数 $ y = kx(k \neq 0) $ 的图象上,则 $ y $ 的值随 $ x $ 值的增大而
减小
(填“增大”或“减小”)。
答案:
减小
查看更多完整答案,请扫码查看