第56页
- 第1页
- 第2页
- 第3页
- 第4页
- 第5页
- 第6页
- 第7页
- 第8页
- 第9页
- 第10页
- 第11页
- 第12页
- 第13页
- 第14页
- 第15页
- 第16页
- 第17页
- 第18页
- 第19页
- 第20页
- 第21页
- 第22页
- 第23页
- 第24页
- 第25页
- 第26页
- 第27页
- 第28页
- 第29页
- 第30页
- 第31页
- 第32页
- 第33页
- 第34页
- 第35页
- 第36页
- 第37页
- 第38页
- 第39页
- 第40页
- 第41页
- 第42页
- 第43页
- 第44页
- 第45页
- 第46页
- 第47页
- 第48页
- 第49页
- 第50页
- 第51页
- 第52页
- 第53页
- 第54页
- 第55页
- 第56页
- 第57页
- 第58页
- 第59页
- 第60页
- 第61页
- 第62页
- 第63页
- 第64页
- 第65页
- 第66页
- 第67页
- 第68页
- 第69页
- 第70页
- 第71页
- 第72页
- 第73页
- 第74页
- 第75页
- 第76页
- 第77页
- 第78页
- 第79页
- 第80页
- 第81页
- 第82页
- 第83页
- 第84页
- 第85页
- 第86页
- 第87页
- 第88页
- 第89页
- 第90页
- 第91页
- 第92页
- 第93页
- 第94页
- 第95页
- 第96页
- 第97页
- 第98页
- 第99页
- 第100页
3. 下列对青蛙生殖发育特点的描述,正确的是(
A.体内受精,体内发育
B.体外受精,体内发育
C.体内受精,变态发育
D.体外受精,变态发育
D
)。A.体内受精,体内发育
B.体外受精,体内发育
C.体内受精,变态发育
D.体外受精,变态发育
答案:
3.D
4. 下列关于青蛙生殖和发育的叙述,错误的是(
A.青蛙的发育过程是变态发育
B.蝌蚪用鳃呼吸,发育成青蛙后用肺呼吸,皮肤辅助呼吸
C.青蛙的受精方式为体外受精
D.青蛙双亲在水中完成孵卵
D
)。A.青蛙的发育过程是变态发育
B.蝌蚪用鳃呼吸,发育成青蛙后用肺呼吸,皮肤辅助呼吸
C.青蛙的受精方式为体外受精
D.青蛙双亲在水中完成孵卵
答案:
4.D
5. 黑颈鹤是在高原生长繁殖的鹤类。动物学家跟踪记录了黑颈鹤的繁殖过程。繁殖季节,黑颈鹤会跳舞和共鸣,雌、雄鹤头颈伸向前方,并发出特定的叫声,彼此呼应,一前一后相伴行走。这种行为方式属于鸟类繁殖行为中的(
A.求偶
B.迁徙
C.交配
D.产卵
A
)。A.求偶
B.迁徙
C.交配
D.产卵
答案:
5.A
6. 自克隆羊“多莉”问世以来,克隆技术突飞猛进,已被广泛应用于许多相关领域。下列关于克隆技术的说法,错误的是(
A.利用克隆技术可以快速培育优良的家畜品种,达到改良性状的目的
B.应用克隆技术可以降低基因工程药物的成本
C.人体克隆涉及伦理、道德等复杂问题
D.人们可以从濒危动物身上选取适当的体细胞进行克隆,达到有效保护物种的目的
A
)。A.利用克隆技术可以快速培育优良的家畜品种,达到改良性状的目的
B.应用克隆技术可以降低基因工程药物的成本
C.人体克隆涉及伦理、道德等复杂问题
D.人们可以从濒危动物身上选取适当的体细胞进行克隆,达到有效保护物种的目的
答案:
6.A
7. 我国科学家采用体细胞克隆技术,在世界上首次成功克隆出灵长类动物——猕猴“中中”“华华”。这种生殖方式属于(
A.有性生殖
B.无性生殖
C.营养生殖
D.出芽生殖
B
)。A.有性生殖
B.无性生殖
C.营养生殖
D.出芽生殖
答案:
7.B
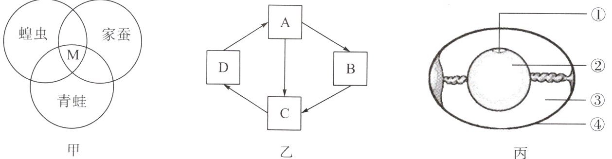
1. 如图为与生物个体生殖发育相关的模式图,请回答下列问题。

(1)若图甲表示蝗虫、家蚕、青蛙的发育特点,则M可表示
(2)若图乙表示家蚕的发育过程,D表示卵期,则B表示
(3)若图乙表示蝗虫的发育过程,D表示卵期,则对农作物危害最大的时期是
(4)图丙是鸟卵的结构示意图,其中[ ]
(1)若图甲表示蝗虫、家蚕、青蛙的发育特点,则M可表示
变态发育
。(2)若图乙表示家蚕的发育过程,D表示卵期,则B表示
蛹
期,其发育属于完全变态
。(3)若图乙表示蝗虫的发育过程,D表示卵期,则对农作物危害最大的时期是
C
(填字母)。(4)图丙是鸟卵的结构示意图,其中[ ]
① 胚盘
是胚胎发育的场所,[ ]② 卵黄
为胚胎发育提供主要营养。
答案:
1.
(1)变态发育
(2)蛹 完全变态
(3)C
(4)① 胚盘 ② 卵黄
(1)变态发育
(2)蛹 完全变态
(3)C
(4)① 胚盘 ② 卵黄
查看更多完整答案,请扫码查看