第67页
- 第1页
- 第2页
- 第3页
- 第4页
- 第5页
- 第6页
- 第7页
- 第8页
- 第9页
- 第10页
- 第11页
- 第12页
- 第13页
- 第14页
- 第15页
- 第16页
- 第17页
- 第18页
- 第19页
- 第20页
- 第21页
- 第22页
- 第23页
- 第24页
- 第25页
- 第26页
- 第27页
- 第28页
- 第29页
- 第30页
- 第31页
- 第32页
- 第33页
- 第34页
- 第35页
- 第36页
- 第37页
- 第38页
- 第39页
- 第40页
- 第41页
- 第42页
- 第43页
- 第44页
- 第45页
- 第46页
- 第47页
- 第48页
- 第49页
- 第50页
- 第51页
- 第52页
- 第53页
- 第54页
- 第55页
- 第56页
- 第57页
- 第58页
- 第59页
- 第60页
- 第61页
- 第62页
- 第63页
- 第64页
- 第65页
- 第66页
- 第67页
- 第68页
- 第69页
- 第70页
- 第71页
- 第72页
- 第73页
- 第74页
1. 基础 求下面图形的面积有多种方法,根据给出的算式,在图中用虚线表示出割补方法。(单位:cm)

答案:
2. 基础 计算下面图形的面积。(单位:cm)

答案:
16×10 - 8×4 = 128(cm²)
(10 + 10)×(25 - 10)÷2 + 10×10 = 250(cm²)
(10 + 10)×(25 - 10)÷2 + 10×10 = 250(cm²)
3. 提升 实验小学第24届科技节“航天强国,未来有我”活动中,五年级段的比赛项目为“飞天雏形”,妙想设计了一个火箭模型,其平面图如图所示(单位:cm),这个火箭模型的平面面积是多少平方厘米?

答案:
(22 + 38)×15÷2 + 45×30 + 30×20÷2 = 2100(平方厘米)
答:这个火箭模型的平面面积是2100平方厘米。
[解析]根据图示,这个火箭模型的平面面积等于梯形的面积加中间长方形的面积,加上面三角形的面积,据此解答即可。
答:这个火箭模型的平面面积是2100平方厘米。
[解析]根据图示,这个火箭模型的平面面积等于梯形的面积加中间长方形的面积,加上面三角形的面积,据此解答即可。
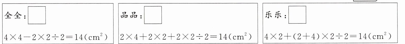
4. 拓展 新考向 探究说理 一张边长4cm的正方形纸,从相邻两条边的中点连一条线段,沿着这条线段剪掉一个角(如图所示),剩下的面积是多少平方厘米?下面是全全、品品和乐乐三位同学的解答方法。


(1)你认为哪位同学的解答方法正确?在对应的$□$里画“√”。
(2)选择一个你认为正确的同学的解法,说明解题思路(用文字、画图等方式都可以)。
(1)你认为哪位同学的解答方法正确?在对应的$□$里画“√”。
(2)选择一个你认为正确的同学的解法,说明解题思路(用文字、画图等方式都可以)。
答案:
(1)□√ □√ □√
(2)选择全全的解答方法。(选择不唯一)

(说明解题思路方式不唯一)
(1)□√ □√ □√
(2)选择全全的解答方法。(选择不唯一)
(说明解题思路方式不唯一)
查看更多完整答案,请扫码查看