第93页
- 第1页
- 第2页
- 第3页
- 第4页
- 第5页
- 第6页
- 第7页
- 第8页
- 第9页
- 第10页
- 第11页
- 第12页
- 第13页
- 第14页
- 第15页
- 第16页
- 第17页
- 第18页
- 第19页
- 第20页
- 第21页
- 第22页
- 第23页
- 第24页
- 第25页
- 第26页
- 第27页
- 第28页
- 第29页
- 第30页
- 第31页
- 第32页
- 第33页
- 第34页
- 第35页
- 第36页
- 第37页
- 第38页
- 第39页
- 第40页
- 第41页
- 第42页
- 第43页
- 第44页
- 第45页
- 第46页
- 第47页
- 第48页
- 第49页
- 第50页
- 第51页
- 第52页
- 第53页
- 第54页
- 第55页
- 第56页
- 第57页
- 第58页
- 第59页
- 第60页
- 第61页
- 第62页
- 第63页
- 第64页
- 第65页
- 第66页
- 第67页
- 第68页
- 第69页
- 第70页
- 第71页
- 第72页
- 第73页
- 第74页
- 第75页
- 第76页
- 第77页
- 第78页
- 第79页
- 第80页
- 第81页
- 第82页
- 第83页
- 第84页
- 第85页
- 第86页
- 第87页
- 第88页
- 第89页
- 第90页
- 第91页
- 第92页
- 第93页
- 第94页
- 第95页
- 第96页
- 第97页
- 第98页
- 第99页
- 第100页
- 第101页
- 第102页
- 第103页
- 第104页
- 第105页
- 第106页
- 第107页
- 第108页
- 第109页
- 第110页
- 第111页
- 第112页
- 第113页
- 第114页
- 第115页
- 第116页
- 第117页
- 第118页
- 第119页
- 第120页
- 第121页
- 第122页
- 第123页
- 第124页
- 第125页
- 第126页
- 第127页
- 第128页
- 第129页
- 第130页
- 第131页
- 第132页
- 第133页
- 第134页
- 第135页
12. 如图,在下图中使用无刻度的直尺按要求画图.
在正方形网格中,将格点$ \triangle ABC 绕某点顺时针旋转角 \alpha (0° < \alpha < 180°) 得到格点 \triangle DEF $,点A与点D,点B与点E,点C与点F分别是对应点.
(1)请利用网格线画图找到旋转中心,将其标记为点P并写出其坐标;
(2)写出旋转角$ \alpha $的度数;
(3)在$ \triangle DEF $的DF边上利用网格线画图找一点Q,连接EQ,使$ S_{\triangle DEQ} = \frac{1}{2}S_{\triangle ABC} $.

在正方形网格中,将格点$ \triangle ABC 绕某点顺时针旋转角 \alpha (0° < \alpha < 180°) 得到格点 \triangle DEF $,点A与点D,点B与点E,点C与点F分别是对应点.
(1)请利用网格线画图找到旋转中心,将其标记为点P并写出其坐标;
(2)写出旋转角$ \alpha $的度数;
(3)在$ \triangle DEF $的DF边上利用网格线画图找一点Q,连接EQ,使$ S_{\triangle DEQ} = \frac{1}{2}S_{\triangle ABC} $.
答案:
(1)如图,旋转中心P(-1,2).
(2)旋转角为90°.
(3)如图,点Q即为所求.
(1)如图,旋转中心P(-1,2).
(2)旋转角为90°.
(3)如图,点Q即为所求.
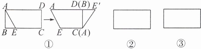
13. 我们通常可以对一些图形进行剪切,并利用图形的轴对称、平移、旋转等进行图案设计.如图①,可以沿线段AE剪切矩形ABCD,再将$ \triangle ABE $通过变换与梯形AECD拼接成等腰梯形.请按下列要求进行图案设计:
(1)把矩形剪切2次拼接成一个菱形,请在图②中画出剪切线,再画出拼接示意图;
(2)把矩形剪切1次拼接成一个菱形,请在图③中画出剪切线,再画出拼接示意图.
①
②
③

(1)把矩形剪切2次拼接成一个菱形,请在图②中画出剪切线,再画出拼接示意图;
(2)把矩形剪切1次拼接成一个菱形,请在图③中画出剪切线,再画出拼接示意图.
①
②
③
答案:
(1) 剪切2次拼接成菱形:
剪切线:在矩形中,分别连接左上角顶点与下底边中点、右上角顶点与下底边中点(两条线段)。
拼接示意图:将剪切得到的两个直角三角形分别绕下底边中点旋转180°,使直角边与梯形的腰重合,形成四边相等的菱形。
(2) 剪切1次拼接成菱形:
剪切线:连接矩形上底边中点与右下角顶点(一条线段)。
拼接示意图:将剪切得到的直角三角形绕上底边中点旋转180°,使直角边与剩余四边形的斜边重合,形成四边相等的菱形。
(注:实际答题需在图②、③中画出剪切线及拼接后的菱形轮廓,此处文字描述剪切线位置及拼接方法。)
(1) 剪切2次拼接成菱形:
剪切线:在矩形中,分别连接左上角顶点与下底边中点、右上角顶点与下底边中点(两条线段)。
拼接示意图:将剪切得到的两个直角三角形分别绕下底边中点旋转180°,使直角边与梯形的腰重合,形成四边相等的菱形。
(2) 剪切1次拼接成菱形:
剪切线:连接矩形上底边中点与右下角顶点(一条线段)。
拼接示意图:将剪切得到的直角三角形绕上底边中点旋转180°,使直角边与剩余四边形的斜边重合,形成四边相等的菱形。
(注:实际答题需在图②、③中画出剪切线及拼接后的菱形轮廓,此处文字描述剪切线位置及拼接方法。)
查看更多完整答案,请扫码查看