第75页
- 第1页
- 第2页
- 第3页
- 第4页
- 第5页
- 第6页
- 第7页
- 第8页
- 第9页
- 第10页
- 第11页
- 第12页
- 第13页
- 第14页
- 第15页
- 第16页
- 第17页
- 第18页
- 第19页
- 第20页
- 第21页
- 第22页
- 第23页
- 第24页
- 第25页
- 第26页
- 第27页
- 第28页
- 第29页
- 第30页
- 第31页
- 第32页
- 第33页
- 第34页
- 第35页
- 第36页
- 第37页
- 第38页
- 第39页
- 第40页
- 第41页
- 第42页
- 第43页
- 第44页
- 第45页
- 第46页
- 第47页
- 第48页
- 第49页
- 第50页
- 第51页
- 第52页
- 第53页
- 第54页
- 第55页
- 第56页
- 第57页
- 第58页
- 第59页
- 第60页
- 第61页
- 第62页
- 第63页
- 第64页
- 第65页
- 第66页
- 第67页
- 第68页
- 第69页
- 第70页
- 第71页
- 第72页
- 第73页
- 第74页
- 第75页
- 第76页
- 第77页
- 第78页
- 第79页
- 第80页
- 第81页
- 第82页
- 第83页
- 第84页
- 第85页
- 第86页
- 第87页
- 第88页
- 第89页
- 第90页
- 第91页
- 第92页
- 第93页
- 第94页
- 第95页
- 第96页
- 第97页
- 第98页
- 第99页
- 第100页
- 第101页
- 第102页
- 第103页
- 第104页
- 第105页
- 第106页
- 第107页
- 第108页
- 第109页
- 第110页
- 第111页
- 第112页
- 第113页
- 第114页
- 第115页
- 第116页
- 第117页
- 第118页
- 第119页
- 第120页
- 第121页
- 第122页
- 第123页
- 第124页
- 第125页
- 第126页
- 第127页
- 第128页
- 第129页
- 第130页
- 第131页
- 第132页
- 第133页
- 第134页
- 第135页
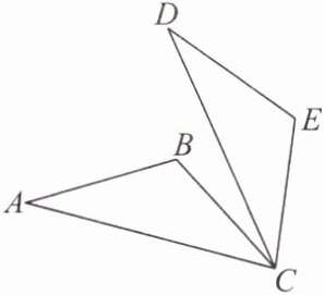
1. 如图,△ABC绕点C旋转,点B转到点E的位置,则下列说法正确的是( )

A.点B与点D是对应点
B.∠BCD是旋转角
C.点A与点E是对应点
D.△ABC≌△DEC
A.点B与点D是对应点
B.∠BCD是旋转角
C.点A与点E是对应点
D.△ABC≌△DEC
答案:
D
2. 如图,点A,B,C,D,O都在方格纸的格点上,若△COD是由△AOB绕点O逆时针旋转而得,则旋转的角度为( )

A.30°
B.45°
C.90°
D.135°
A.30°
B.45°
C.90°
D.135°
答案:
C
3. 如图,把菱形ABOC绕点O顺时针旋转得到菱形DFOE,则下列角是旋转角的是( ).

A.∠BOE
B.∠BOF
C.∠COD
D.∠COF
A.∠BOE
B.∠BOF
C.∠COD
D.∠COF
答案:
B
4. 如图,△ABC绕着点O旋转到△DEF的位置,则旋转中心是______,旋转角是______,AO= ______,AB= ______,∠ACB= ______.

答案:
点 O,∠DOA,DO,DE,∠DFE
5. 如图,正三角形ABC绕其中心O至少旋转______度,可与其自身重合.

答案:
120°
查看更多完整答案,请扫码查看