第53页
- 第1页
- 第2页
- 第3页
- 第4页
- 第5页
- 第6页
- 第7页
- 第8页
- 第9页
- 第10页
- 第11页
- 第12页
- 第13页
- 第14页
- 第15页
- 第16页
- 第17页
- 第18页
- 第19页
- 第20页
- 第21页
- 第22页
- 第23页
- 第24页
- 第25页
- 第26页
- 第27页
- 第28页
- 第29页
- 第30页
- 第31页
- 第32页
- 第33页
- 第34页
- 第35页
- 第36页
- 第37页
- 第38页
- 第39页
- 第40页
- 第41页
- 第42页
- 第43页
- 第44页
- 第45页
- 第46页
- 第47页
- 第48页
- 第49页
- 第50页
- 第51页
- 第52页
- 第53页
- 第54页
- 第55页
- 第56页
- 第57页
- 第58页
- 第59页
- 第60页
- 第61页
- 第62页
- 第63页
- 第64页
- 第65页
- 第66页
- 第67页
- 第68页
- 第69页
- 第70页
- 第71页
- 第72页
- 第73页
- 第74页
- 第75页
- 第76页
- 第77页
- 第78页
- 第79页
- 第80页
- 第81页
- 第82页
- 第83页
- 第84页
- 第85页
- 第86页
- 第87页
- 第88页
- 第89页
- 第90页
- 第91页
- 第92页
- 第93页
- 第94页
- 第95页
- 第96页
- 第97页
- 第98页
- 第99页
- 第100页
- 第101页
- 第102页
- 第103页
- 第104页
- 第105页
- 第106页
- 第107页
- 第108页
- 第109页
- 第110页
- 第111页
- 第112页
- 第113页
- 第114页
- 第115页
- 第116页
- 第117页
- 第118页
- 第119页
1. 下图为组织的形成过程示意图,下列有关叙述错误的是(

A.a、b、c 过程分别表示细胞的生长、分裂和分化
B.b 过程产生的新细胞中染色体数目不变
C.c 过程产生的细胞中染色体数目不变
D.形态、结构和生理功能不同的细胞联合在一起构成组织
D
)A.a、b、c 过程分别表示细胞的生长、分裂和分化
B.b 过程产生的新细胞中染色体数目不变
C.c 过程产生的细胞中染色体数目不变
D.形态、结构和生理功能不同的细胞联合在一起构成组织
答案:
D
2. 下图可表示生物体的结构层次,下列说法正确的是(

A.①经过分裂形成不同的组织
B.人体的发育是从①卵细胞开始的
C.血液和血管都属于组织
D.杜鹃花比杜鹃鸟少了②这一结构层次
D
)A.①经过分裂形成不同的组织
B.人体的发育是从①卵细胞开始的
C.血液和血管都属于组织
D.杜鹃花比杜鹃鸟少了②这一结构层次
答案:
D
3. 下图表示番茄的几个不同的结构层次,下列有关说法错误的是(

A.切番茄时,流出大量汁液,这些汁液主要来自图甲中的①
B.图丙中的②是植物的营养器官
C.番茄植株的结构层次由小到大依次为甲→丁→乙→丙
D.人的心脏对应图丁所示结构层次
D
)A.切番茄时,流出大量汁液,这些汁液主要来自图甲中的①
B.图丙中的②是植物的营养器官
C.番茄植株的结构层次由小到大依次为甲→丁→乙→丙
D.人的心脏对应图丁所示结构层次
答案:
D
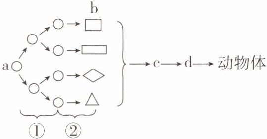
4. 右上图所示是动物体的构成模型,①②过程表示细胞不同的生理活动,a~d 表示动物体的结构层次。下列叙述正确的是(

A.a 通过①②过程形成 b,相同的 b 组合在一起构成 c
B.不同的 c 按照一定的次序组合在一起构成了 d
C.衣藻与 c 属于同一结构层次
D.油菜的种子与 d 属于同一结构层次
B
)A.a 通过①②过程形成 b,相同的 b 组合在一起构成 c
B.不同的 c 按照一定的次序组合在一起构成了 d
C.衣藻与 c 属于同一结构层次
D.油菜的种子与 d 属于同一结构层次
答案:
B
5. 大熊猫是我国特有的物种,主要以箭竹为食。下图为二者的结构层次模式图,a 为生物体的部分结构层次,请据图回答下列问题。

(1)大熊猫主要以箭竹幼嫩的茎和叶为食,箭竹的茎中含有
(2)大熊猫吃箭竹幼嫩的茎和叶,体现了生物
(3)若生物个体 A 是大熊猫,则 a 表示的结构层次是
(4)大熊猫较为顽皮,喜欢攀爬树干。在攀爬过程中其四肢上具有收缩、舒张功能,能为攀爬提供动力的是
(1)大熊猫主要以箭竹幼嫩的茎和叶为食,箭竹的茎中含有
输导
组织,能运输水和无机盐,因此箭竹的茎属于营养
器官。(2)大熊猫吃箭竹幼嫩的茎和叶,体现了生物
生活需要营养
的特征;箭竹地下茎上的芽能发育成竹笋,说明地下茎上的芽中具有分生
组织,体现了生物能生长、发育和繁殖
的特征。(3)若生物个体 A 是大熊猫,则 a 表示的结构层次是
组织→器官→系统
;若生物个体 A 是箭竹,则 a 表示的结构层次是组织→器官
。(4)大熊猫较为顽皮,喜欢攀爬树干。在攀爬过程中其四肢上具有收缩、舒张功能,能为攀爬提供动力的是
肌肉
组织。
答案:
(1)输导 营养
(2)生活需要营养 分生 能生长、发育和繁殖
(3)组织→器官→系统 组织→器官
(4)肌肉
(1)输导 营养
(2)生活需要营养 分生 能生长、发育和繁殖
(3)组织→器官→系统 组织→器官
(4)肌肉
查看更多完整答案,请扫码查看