第23页
- 第1页
- 第2页
- 第3页
- 第4页
- 第5页
- 第6页
- 第7页
- 第8页
- 第9页
- 第10页
- 第11页
- 第12页
- 第13页
- 第14页
- 第15页
- 第16页
- 第17页
- 第18页
- 第19页
- 第20页
- 第21页
- 第22页
- 第23页
- 第24页
- 第25页
- 第26页
- 第27页
- 第28页
- 第29页
- 第30页
- 第31页
- 第32页
- 第33页
- 第34页
- 第35页
- 第36页
- 第37页
- 第38页
- 第39页
- 第40页
- 第41页
- 第42页
- 第43页
- 第44页
- 第45页
- 第46页
- 第47页
- 第48页
- 第49页
- 第50页
- 第51页
- 第52页
- 第53页
- 第54页
- 第55页
- 第56页
- 第57页
- 第58页
- 第59页
- 第60页
- 第61页
- 第62页
- 第63页
- 第64页
- 第65页
- 第66页
- 第67页
- 第68页
- 第69页
- 第70页
- 第71页
- 第72页
- 第73页
- 第74页
- 第75页
- 第76页
- 第77页
- 第78页
- 第79页
- 第80页
- 第81页
- 第82页
- 第83页
- 第84页
- 第85页
- 第86页
- 第87页
- 第88页
- 第89页
- 第90页
- 第91页
- 第92页
- 第93页
- 第94页
- 第95页
- 第96页
- 第97页
- 第98页
- 第99页
- 第100页
- 第101页
- 第102页
- 第103页
- 第104页
- 第105页
- 第106页
- 第107页
- 第108页
- 第109页
- 第110页
- 第111页
- 第112页
1. 小鱼可以长成大鱼,这与细胞的哪些变化有关( )
A.细胞的生长
B.细胞的分裂
C.细胞的分化
D.细胞的生长、分裂和分化
A.细胞的生长
B.细胞的分裂
C.细胞的分化
D.细胞的生长、分裂和分化
答案:
D
2. 下列关于细胞生长的叙述中,错误的是( )
A.细胞的生长可以使细胞的体积增大
B.细胞生长时可以从周围环境中吸取营养物质
C.细胞的生长可使细胞的数目增多
D.细胞生长时能将从外界吸取的营养物质转变成组成自身的物质
A.细胞的生长可以使细胞的体积增大
B.细胞生长时可以从周围环境中吸取营养物质
C.细胞的生长可使细胞的数目增多
D.细胞生长时能将从外界吸取的营养物质转变成组成自身的物质
答案:
C
3. 细胞中容易被碱性染料染成深色的物质叫作染色体。组成染色体的是( )
A.蛋白质和糖类
B.蛋白质和无机盐
C.DNA 和脂质
D.DNA 和蛋白质
A.蛋白质和糖类
B.蛋白质和无机盐
C.DNA 和脂质
D.DNA 和蛋白质
答案:
D
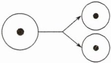
4. (2025·惠州检测)如图为某生物体内一项生命活动的过程示意图,下列有关说法正确的是( )

A.该过程表示动物细胞的分化过程
B.该过程中发生了遗传物质的复制与平分
C.该过程中细胞膜和细胞质的变化最明显
D.该过程先进行细胞质分裂再进行细胞核分裂
A.该过程表示动物细胞的分化过程
B.该过程中发生了遗传物质的复制与平分
C.该过程中细胞膜和细胞质的变化最明显
D.该过程先进行细胞质分裂再进行细胞核分裂
答案:
B
5. 在广东航天科普教育基地的一次科普讲座中,老师介绍了模式生物拟南芥在太空的奇妙生长历程。拟南芥的体细胞中有 5 对染色体,一个细胞连续分裂 3 次后,形成新细胞的数目和每个新细胞中染色体的数目分别是( )
A.6 个,3 条
B.8 个,10 条
C.8 个,5 条
D.3 个,30 条
A.6 个,3 条
B.8 个,10 条
C.8 个,5 条
D.3 个,30 条
答案:
B
查看更多完整答案,请扫码查看