第83页
- 第1页
- 第2页
- 第3页
- 第4页
- 第5页
- 第6页
- 第7页
- 第8页
- 第9页
- 第10页
- 第11页
- 第12页
- 第13页
- 第14页
- 第15页
- 第16页
- 第17页
- 第18页
- 第19页
- 第20页
- 第21页
- 第22页
- 第23页
- 第24页
- 第25页
- 第26页
- 第27页
- 第28页
- 第29页
- 第30页
- 第31页
- 第32页
- 第33页
- 第34页
- 第35页
- 第36页
- 第37页
- 第38页
- 第39页
- 第40页
- 第41页
- 第42页
- 第43页
- 第44页
- 第45页
- 第46页
- 第47页
- 第48页
- 第49页
- 第50页
- 第51页
- 第52页
- 第53页
- 第54页
- 第55页
- 第56页
- 第57页
- 第58页
- 第59页
- 第60页
- 第61页
- 第62页
- 第63页
- 第64页
- 第65页
- 第66页
- 第67页
- 第68页
- 第69页
- 第70页
- 第71页
- 第72页
- 第73页
- 第74页
- 第75页
- 第76页
- 第77页
- 第78页
- 第79页
- 第80页
- 第81页
- 第82页
- 第83页
- 第84页
- 第85页
- 第86页
- 第87页
- 第88页
- 第89页
- 第90页
- 第91页
- 第92页
- 第93页
- 第94页
- 第95页
- 第96页
- 第97页
- 第98页
- 第99页
- 第100页
- 第101页
- 第102页
- 第103页
- 第104页
9. 如图,直线$y = ax + b与直线y = mx都经过点A(-1,2)$,则关于$x,y的方程组\begin{cases}ax - y + b = 0,\\mx - y = 0\end{cases} $的解是(

A.$\begin{cases}x = 1,\\y = -2\end{cases} $
B.$\begin{cases}x = -1,\\y = -2\end{cases} $
C.$\begin{cases}x = 1,\\y = 2\end{cases} $
D.$\begin{cases}x = -1,\\y = 2\end{cases} $
D
)A.$\begin{cases}x = 1,\\y = -2\end{cases} $
B.$\begin{cases}x = -1,\\y = -2\end{cases} $
C.$\begin{cases}x = 1,\\y = 2\end{cases} $
D.$\begin{cases}x = -1,\\y = 2\end{cases} $
答案:
D
10. 如图,直线$y = kx(k \neq 0)与y = \frac{2}{3}x + 4在第二象限交于点A$,$y = \frac{2}{3}x + 4分别交x$轴、$y轴于B,C$两点. 若$S_{\triangle ABO}:S_{\triangle ACO} = 1:2$,则方程组$\begin{cases}kx - y = 0,\\2x - 3y + 12 = 0\end{cases} $的解为

$\begin{cases} x=-4 \\ y=\dfrac{4}{3} \end{cases}$
。
答案:
$\begin{cases} x=-4 \\ y=\dfrac{4}{3} \end{cases}$
11. 已知一次函数$y = -\frac{b}{4}x - 4和y = 2ax + 4a + b$.
(1) 当$a,b$为何值时,两函数的图象重合?
(2) 如果两直线相交于点$(-1,3)$,求$a,b$的值。
(1) 当$a,b$为何值时,两函数的图象重合?
(2) 如果两直线相交于点$(-1,3)$,求$a,b$的值。
答案:
(1)
两个一次函数图象重合,则对应的一次项系数和常数项分别相等,即:
$\begin{cases}-\frac{b}{4}=2a\\-4 = 4a + b\end{cases}$
由$-\frac{b}{4}=2a$可得$b=-8a$,将其代入$-4 = 4a + b$中,得:
$-4=4a-8a$
$-4=-4a$
$a = 1$
把$a = 1$代入$b=-8a$,得$b=-8$。
所以当$a = 1$,$b=-8$时,两函数的图象重合。
(2)
因为两直线相交于点$(-1,3)$,所以点$(-1,3)$满足两个一次函数方程,将其分别代入两个函数可得:
$\begin{cases}3=-\frac{b}{4}×(-1)-4\\3=2a×(-1)+4a + b\end{cases}$
即$\begin{cases}\frac{b}{4}-4 = 3\\-2a+4a + b=3\end{cases}$
由$\frac{b}{4}-4 = 3$,可得$\frac{b}{4}=7$,解得$b = 28$。
把$b = 28$代入$-2a+4a + b=3$中,得$2a+28=3$,$2a=-25$,解得$a=-\frac{25}{2}$。
综上,
(1)中$a = 1$,$b=-8$;
(2)中$a=-\frac{25}{2}$,$b = 28$。
(1)
两个一次函数图象重合,则对应的一次项系数和常数项分别相等,即:
$\begin{cases}-\frac{b}{4}=2a\\-4 = 4a + b\end{cases}$
由$-\frac{b}{4}=2a$可得$b=-8a$,将其代入$-4 = 4a + b$中,得:
$-4=4a-8a$
$-4=-4a$
$a = 1$
把$a = 1$代入$b=-8a$,得$b=-8$。
所以当$a = 1$,$b=-8$时,两函数的图象重合。
(2)
因为两直线相交于点$(-1,3)$,所以点$(-1,3)$满足两个一次函数方程,将其分别代入两个函数可得:
$\begin{cases}3=-\frac{b}{4}×(-1)-4\\3=2a×(-1)+4a + b\end{cases}$
即$\begin{cases}\frac{b}{4}-4 = 3\\-2a+4a + b=3\end{cases}$
由$\frac{b}{4}-4 = 3$,可得$\frac{b}{4}=7$,解得$b = 28$。
把$b = 28$代入$-2a+4a + b=3$中,得$2a+28=3$,$2a=-25$,解得$a=-\frac{25}{2}$。
综上,
(1)中$a = 1$,$b=-8$;
(2)中$a=-\frac{25}{2}$,$b = 28$。
12. 如图,直线$l_1:y = x + 1与直线l_2:y = mx + n相交于点P(1,b)$.
(1) 求$b$的值.
(2) 不解关于$x,y$的方程组,请你直接写出$\begin{cases}y = x + 1,\\y = mx + n\end{cases} $的解.
(3) 直线$l_3:y = nx + m是否也经过点P$?请说明理由.

(1) 求$b$的值.
(2) 不解关于$x,y$的方程组,请你直接写出$\begin{cases}y = x + 1,\\y = mx + n\end{cases} $的解.
(3) 直线$l_3:y = nx + m是否也经过点P$?请说明理由.
答案:
(1)把$P(1,b)$代入$y = x + 1$,得$b = 1 + 1=2$。
(2)因为两直线相交于点$P(1,2)$,所以方程组$\begin{cases}y = x + 1\\y = mx + n\end{cases}$的解为$\begin{cases}x = 1\\y = 2\end{cases}$。
(3)把$P(1,2)$代入$y = nx + m$,得$2=n + m$。
由$y = x + 1$与$y = mx + n$相交于点$P(1,2)$,把$x = 1,y = 2$代入$y = mx + n$得$2=m + n$,所以直线$y = nx + m$经过点$P$。
(1)把$P(1,b)$代入$y = x + 1$,得$b = 1 + 1=2$。
(2)因为两直线相交于点$P(1,2)$,所以方程组$\begin{cases}y = x + 1\\y = mx + n\end{cases}$的解为$\begin{cases}x = 1\\y = 2\end{cases}$。
(3)把$P(1,2)$代入$y = nx + m$,得$2=n + m$。
由$y = x + 1$与$y = mx + n$相交于点$P(1,2)$,把$x = 1,y = 2$代入$y = mx + n$得$2=m + n$,所以直线$y = nx + m$经过点$P$。
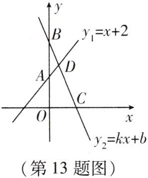
13. 如图,已知一次函数$y_1 = x + 2的图象与y轴交于点A$,一次函数$y_2 = kx + b的图象经过点B(0,4)$,与$x轴交于点C$,与$y_1 = x + 2的图象交于点D$,且点$D的坐标为(\frac{2}{3},n)$.
(1) 求$k和b$的值;
(2) 若$y_1 > y_2$,则$x$的取值范围是______;
(3) 求四边形$AOCD$的面积.

(1)
(1) 求$k和b$的值;
(2) 若$y_1 > y_2$,则$x$的取值范围是______;
(3) 求四边形$AOCD$的面积.
(1)
k=-2,b=4
;(2) x>2/3
;(3) 10/3
。
答案:
(1) 点D在y₁=x+2上,将x=2/3代入得n=2/3+2=8/3,
∴D(2/3,8/3)。
y₂=kx+b过B(0,4),则b=4。将D(2/3,8/3)代入y₂=kx+4得8/3=k·2/3+4,解得k=-2。
∴k=-2,b=4。
(2) 由y₁>y₂得x+2 > -2x+4,解得3x>2,x>2/3。
(3) 点A为y₁与y轴交点,令x=0,y₁=2,
∴A(0,2);点C为y₂与x轴交点,令y₂=0,-2x+4=0,x=2,
∴C(2,0)。
四边形AOCD面积=S△AOD+S△OCD。
S△AOD:以AO=2为底,D横坐标2/3为高,面积=1/2×2×2/3=2/3。
S△OCD:以OC=2为底,D纵坐标8/3为高,面积=1/2×2×8/3=8/3。
总面积=2/3+8/3=10/3。
(1) k=-2,b=4;
(2) x>2/3;
(3) 10/3。
(1) 点D在y₁=x+2上,将x=2/3代入得n=2/3+2=8/3,
∴D(2/3,8/3)。
y₂=kx+b过B(0,4),则b=4。将D(2/3,8/3)代入y₂=kx+4得8/3=k·2/3+4,解得k=-2。
∴k=-2,b=4。
(2) 由y₁>y₂得x+2 > -2x+4,解得3x>2,x>2/3。
(3) 点A为y₁与y轴交点,令x=0,y₁=2,
∴A(0,2);点C为y₂与x轴交点,令y₂=0,-2x+4=0,x=2,
∴C(2,0)。
四边形AOCD面积=S△AOD+S△OCD。
S△AOD:以AO=2为底,D横坐标2/3为高,面积=1/2×2×2/3=2/3。
S△OCD:以OC=2为底,D纵坐标8/3为高,面积=1/2×2×8/3=8/3。
总面积=2/3+8/3=10/3。
(1) k=-2,b=4;
(2) x>2/3;
(3) 10/3。
查看更多完整答案,请扫码查看