第83页
- 第1页
- 第2页
- 第3页
- 第4页
- 第5页
- 第6页
- 第7页
- 第8页
- 第9页
- 第10页
- 第11页
- 第12页
- 第13页
- 第14页
- 第15页
- 第16页
- 第17页
- 第18页
- 第19页
- 第20页
- 第21页
- 第22页
- 第23页
- 第24页
- 第25页
- 第26页
- 第27页
- 第28页
- 第29页
- 第30页
- 第31页
- 第32页
- 第33页
- 第34页
- 第35页
- 第36页
- 第37页
- 第38页
- 第39页
- 第40页
- 第41页
- 第42页
- 第43页
- 第44页
- 第45页
- 第46页
- 第47页
- 第48页
- 第49页
- 第50页
- 第51页
- 第52页
- 第53页
- 第54页
- 第55页
- 第56页
- 第57页
- 第58页
- 第59页
- 第60页
- 第61页
- 第62页
- 第63页
- 第64页
- 第65页
- 第66页
- 第67页
- 第68页
- 第69页
- 第70页
- 第71页
- 第72页
- 第73页
- 第74页
- 第75页
- 第76页
- 第77页
- 第78页
- 第79页
- 第80页
- 第81页
- 第82页
- 第83页
- 第84页
- 第85页
- 第86页
- 第87页
- 第88页
- 第89页
- 第90页
- 第91页
- 第92页
- 第93页
- 第94页
- 第95页
- 第96页
- 第97页
- 第98页
(1) 请在如图的平面直角坐标系中作出 $ y = 2x + 1 $,$ y = 3x $ 的图象;
(2) 利用你所画的图象,直接写出方程组 $ \begin{cases} y = 2x + 1, \\ y = 3x \end{cases} $ 的解。

(2) 利用你所画的图象,直接写出方程组 $ \begin{cases} y = 2x + 1, \\ y = 3x \end{cases} $ 的解。
答案:
解:
(1) 画函数 $ y = 2x + 1 $ 的图象:
当 $ x = 0 $,$ y = 1 $,得到点 $ (0,1) $;
当 $ y = 0 $,$ 2x + 1 = 0 $,解得 $ x = -\dfrac{1}{2} $,得到点 $ \left( -\dfrac{1}{2}, 0 \right) $。
画函数 $ y = 3x $ 的图象:
当 $ x = 0 $,$ y = 0 $,得到点 $ (0,0) $;
当 $ x = 1 $,$ y = 3 $,得到点 $ (1,3) $。
在平面直角坐标系中画出这两条直线。
(2) 从图象中可以看出,两条直线的交点为 $ (1,3) $,
因此方程组$ \begin{cases} y = 2x + 1, \\ y = 3x \end{cases} $
的解为$ \begin{cases} x = 1, \\ y = 3 \end{cases} $

解:
(1) 画函数 $ y = 2x + 1 $ 的图象:
当 $ x = 0 $,$ y = 1 $,得到点 $ (0,1) $;
当 $ y = 0 $,$ 2x + 1 = 0 $,解得 $ x = -\dfrac{1}{2} $,得到点 $ \left( -\dfrac{1}{2}, 0 \right) $。
画函数 $ y = 3x $ 的图象:
当 $ x = 0 $,$ y = 0 $,得到点 $ (0,0) $;
当 $ x = 1 $,$ y = 3 $,得到点 $ (1,3) $。
在平面直角坐标系中画出这两条直线。
(2) 从图象中可以看出,两条直线的交点为 $ (1,3) $,
因此方程组$ \begin{cases} y = 2x + 1, \\ y = 3x \end{cases} $
的解为$ \begin{cases} x = 1, \\ y = 3 \end{cases} $
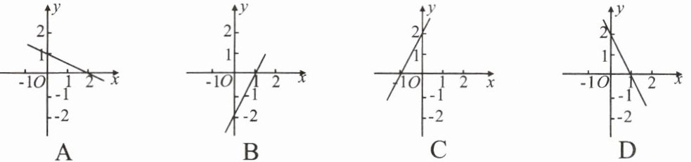
1. 下列图象中,以方程 $ y - 2x - 2 = 0 $ 的解为坐标的点组成的图象是(

C
)
答案:
C
2. 直线 $ y = 2x + b $ 与 $ x $ 轴的交点坐标是 $ (2,0) $,则关于 $ x $ 的方程 $ 2x + b = 0 $ 的解是 $ x = $
2
。
答案:
2
3. (原创题) 如图为一次函数 $ y = kx + b $ 的图象,结合图象回答下列问题:

(1) 方程 $ kx + b = 0 $ 的解是
(2) 方程 $ kx + b = 2 $ 的解是
(3) 方程 $ kx + b = -2 $ 的解是
(1) 方程 $ kx + b = 0 $ 的解是
x=1
;(2) 方程 $ kx + b = 2 $ 的解是
x=2
;(3) 方程 $ kx + b = -2 $ 的解是
x=0
。
答案:
(1)x=1
(2)x=2
(3)x=0
(1)x=1
(2)x=2
(3)x=0
4. (梧州市中考) 如图,在平面直角坐标系中,直线 $ y = 2x + b $ 与直线 $ y = -3x + 6 $ 相交于点 $ A $,则关于 $ x $,$ y $ 的二元一次方程组 $ \begin{cases} y = 2x + b, \\ y = -3x + 6 \end{cases} $ 的解是(

A.$ \begin{cases} x = 2, \\ y = 0 \end{cases} $
B.$ \begin{cases} x = 1, \\ y = 3 \end{cases} $
C.$ \begin{cases} x = -1, \\ y = 9 \end{cases} $
D.$ \begin{cases} x = 3, \\ y = 1 \end{cases} $
B
)A.$ \begin{cases} x = 2, \\ y = 0 \end{cases} $
B.$ \begin{cases} x = 1, \\ y = 3 \end{cases} $
C.$ \begin{cases} x = -1, \\ y = 9 \end{cases} $
D.$ \begin{cases} x = 3, \\ y = 1 \end{cases} $
答案:
B
5. 已知二元一次方程组 $ \begin{cases} x - y = -4, \\ x + 2y = 2 \end{cases} $ 的解为 $ \begin{cases} x = -2, \\ y = 2, \end{cases} $ 则在同一平面直角坐标系中,函数 $ y = x + 4 $ 与 $ y = -\dfrac{1}{2}x + 1 $ 的图象的交点坐标为
(-2,2)
。
答案:
(-2,2)
6. 已知一次函数 $ y = -\dfrac{1}{2}x + b $ 的图象与 $ y $ 轴交于点 $ A $,与 $ x $ 轴交于点 $ B $,与正比例函数 $ y = 2x $ 的图象交于点 $ C(1,a) $。
(1) 求 $ a $,$ b $ 的值;
(2) 方程组 $ \begin{cases} 2x - y = 0, \\ \dfrac{1}{2}x + y = b \end{cases} $ 的解为
(1) 求 $ a $,$ b $ 的值;
(2) 方程组 $ \begin{cases} 2x - y = 0, \\ \dfrac{1}{2}x + y = b \end{cases} $ 的解为
$\begin{cases} x=1, \\ y=2 \end{cases}$
。(1)解:由题知,点C(1,a)在y=2x的图象上,所以a=1×2=2,所以点C的坐标为(1,2).因为点C(1,2)在$y=-\dfrac{1}{2}x+b$的图象上,所以$2=-\dfrac{1}{2}+b,$所以$b=2.5.$
答案:
(1)解:由题知,点C(1,a)在y=2x的图象上,所以a=1×2=2,所以点C的坐标为(1,2).因为点C(1,2)在$y=-\dfrac{1}{2}x+b$的图象上,所以$2=-\dfrac{1}{2}+b,$所以$b=2.5. (2)\begin{cases} x=1, \\ y=2 \end{cases}$
(1)解:由题知,点C(1,a)在y=2x的图象上,所以a=1×2=2,所以点C的坐标为(1,2).因为点C(1,2)在$y=-\dfrac{1}{2}x+b$的图象上,所以$2=-\dfrac{1}{2}+b,$所以$b=2.5. (2)\begin{cases} x=1, \\ y=2 \end{cases}$
查看更多完整答案,请扫码查看