第33页
- 第1页
- 第2页
- 第3页
- 第4页
- 第5页
- 第6页
- 第7页
- 第8页
- 第9页
- 第10页
- 第11页
- 第12页
- 第13页
- 第14页
- 第15页
- 第16页
- 第17页
- 第18页
- 第19页
- 第20页
- 第21页
- 第22页
- 第23页
- 第24页
- 第25页
- 第26页
- 第27页
- 第28页
- 第29页
- 第30页
- 第31页
- 第32页
- 第33页
- 第34页
- 第35页
- 第36页
- 第37页
- 第38页
- 第39页
- 第40页
- 第41页
- 第42页
- 第43页
- 第44页
- 第45页
- 第46页
- 第47页
- 第48页
- 第49页
- 第50页
- 第51页
- 第52页
- 第53页
- 第54页
- 第55页
- 第56页
- 第57页
- 第58页
- 第59页
- 第60页
- 第61页
- 第62页
- 第63页
- 第64页
- 第65页
- 第66页
- 第67页
1. 看图列式计算。
(1)
(2)
9-
(3)
(1)
6
+3
=9
3
+6
=9
9
-3
=6
9
-6
=3
(2)
9-
2
-3
=4
(3)
3
+4
+1
=8
答案:
1.(1)6+3=9 3+6=9 9-3=6 9-6=3 (2)9-2-3=4 (3)3+4+1=8
2. 看谁算得又对又快。
$5+2= $
$8-0= $
$1+6= $
$8-3+4= $
$8+1-5= $
$5+2= $
7
$9-1= $8
$3+5= $8
$8-0= $
8
$9-2= $7
$2+7= $9
$1+6= $
7
$9-5= $4
$8-3+4= $
9
$1+2+5= $8
$8+1-5= $
4
$3+5-8= $0
答案:
2. 7 8 8 8 7 9 7 4 9 8 4 0
3. 在$◯$里填“$>$”“$<$”或“$=$”。
$7◯$
$7-3◯$
$9-4+3◯$
$7◯$
<
$2+6$ $9-9◯$<
$0+1$$7-3◯$
>
$3$ $5+4◯$>
$6-3$$9-4+3◯$
=
$8$ $2+4-3◯$<
$3+1$
答案:
3. < < > > = <
4. 先从$5、3、4、2、7$中选出三个数,再写出两道加法算式和两道减法算式。
2
+3
= 5
3
+2
= 5
5
-3
= 2
5
-2
= 3
答案:
4. 答案不唯一,如2+3=5 3+2=5 5-3=2 5-2=3
5.(生活体验)公交车上原来有9人,现在车上有多少人?
$□◯□◯□=□$

$□◯□◯□=□$
9-5+1=5
答案:
5. 9-5+1=5
6.(生活应用)萌萌拿走两盘苹果,她最多拿走多少个?最少呢?

最多:
最少:
最多:
5
◯3
=8
最少:
2
◯3
=5
答案:
6. 5+3=8 2+3=5
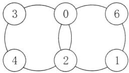
7.(思维过程)将$1、3、4、6分别填入◯$里,使每一个圆圈中的四个数的和都是$9$。

答案:
7.
解析:左边圆圈中已有0和2,合起来是2,填入的两个数的和是7,才能使四个数的和是9。因此可以填入3和4或1和6,将剩下的两个数填入右边圆圈中即可。
7.
解析:左边圆圈中已有0和2,合起来是2,填入的两个数的和是7,才能使四个数的和是9。因此可以填入3和4或1和6,将剩下的两个数填入右边圆圈中即可。
查看更多完整答案,请扫码查看