第9页
- 第1页
- 第2页
- 第3页
- 第4页
- 第5页
- 第6页
- 第7页
- 第8页
- 第9页
- 第10页
- 第11页
- 第12页
- 第13页
- 第14页
- 第15页
- 第16页
- 第17页
- 第18页
- 第19页
- 第20页
- 第21页
- 第22页
- 第23页
- 第24页
- 第25页
- 第26页
- 第27页
- 第28页
- 第29页
- 第30页
- 第31页
- 第32页
- 第33页
- 第34页
- 第35页
- 第36页
- 第37页
- 第38页
- 第39页
- 第40页
- 第41页
- 第42页
- 第43页
- 第44页
- 第45页
- 第46页
- 第47页
- 第48页
- 第49页
- 第50页
- 第51页
- 第52页
- 第53页
- 第54页
- 第55页
- 第56页
- 第57页
- 第58页
- 第59页
- 第60页
- 第61页
- 第62页
- 第63页
- 第64页
- 第65页
- 第66页
- 第67页
- 第68页
- 第69页
- 第70页
- 第71页
- 第72页
- 第73页
- 第74页
- 第75页
- 第76页
- 第77页
- 第78页
- 第79页
- 第80页
- 第81页
- 第82页
- 第83页
- 第84页
- 第85页
- 第86页
- 第87页
- 第88页
- 第89页
- 第90页
- 第91页
- 第92页
- 第93页
- 第94页
- 第95页
- 第96页
- 第97页
- 第98页
- 第99页
- 第100页
- 第101页
- 第102页
- 第103页
- 第104页
- 第105页
- 第106页
- 第107页
- 第108页
- 第109页
- 第110页
- 第111页
- 第112页
- 第113页
- 第114页
- 第115页
- 第116页
- 第117页
1. 化简$(\frac{1}{x - y} - \frac{1}{x + y})(x^{2} - y^{2})$的结果是(
A.$2x$
B.$-2x$
C.$-2y$
D.$2y$
D
)A.$2x$
B.$-2x$
C.$-2y$
D.$2y$
答案:
D
2. 若分式$\frac{x^{2}}{x + 1}□\frac{x}{x + 1}的运算结果为x(x\neq0)$,则在“$□$”中添加的运算符号为(
A.$+或×$
B.$-或÷$
C.$+或÷$
D.$-或×$
C
)A.$+或×$
B.$-或÷$
C.$+或÷$
D.$-或×$
答案:
C [点拨]$\frac{x^{2}}{x + 1} + \frac{x}{x + 1} = \frac{x(x + 1)}{x + 1} = x$,$\frac{x^{2}}{x + 1} ÷ \frac{x}{x + 1} = \frac{x^{2}}{x + 1} \cdot \frac{x + 1}{x} = x$,故选C。
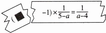
3. [2025衡水校级月考]小明在纸上书写了一个正确的演算过程,同桌小亮一不小心撕坏了一角,如图所示,则撕坏的一角中“■”为( )

A.$\frac{1}{a - 4}$
B.$\frac{4}{a + 1}$
C.$\frac{1}{4 - a}$
D.$-\frac{1}{a + 1}$
A.$\frac{1}{a - 4}$
B.$\frac{4}{a + 1}$
C.$\frac{1}{4 - a}$
D.$-\frac{1}{a + 1}$
答案:
A [点拨]撕坏的一角中
”为$\frac{1}{a - 4} × (5 - a) + 1 = \frac{5 - a + a - 4}{a - 4} = \frac{1}{a - 4}$,故选A。
A [点拨]撕坏的一角中
4. 新考法 整体代入法 若$a - b = 1$,则$(\frac{b^{2}}{a} - a)\cdot\frac{2a}{a + b}$的值为
-2
。
答案:
-2
5. 新视角 结论开放题 小明在化简分式$\frac{m}{m - 2} - \frac{2}{m - 2}\cdot□$时,发现最终结果是整式,则$□$表示的式子可以是
$m - 1$
(答案不唯一)。
答案:
$m - 1$(答案不唯一)
6. 计算:
(1) [2024重庆] $(1 + \frac{2}{x - 2})÷\frac{x^{2} - 4}{x^{2} - 4x + 4}$;
(2) $\frac{2m + 1}{m} - (2 - m)÷\frac{-m^{2} + 4m - 4}{m^{2} - 4}$。
(1) [2024重庆] $(1 + \frac{2}{x - 2})÷\frac{x^{2} - 4}{x^{2} - 4x + 4}$;
(2) $\frac{2m + 1}{m} - (2 - m)÷\frac{-m^{2} + 4m - 4}{m^{2} - 4}$。
答案:
[解]
(1)原式$=\frac{x - 2 + 2}{x - 2} \cdot \frac{(x - 2)^{2}}{(x + 2)(x - 2)} = \frac{x}{x - 2} \cdot \frac{x - 2}{x + 2} = \frac{x}{x + 2}$。
(2)原式$=\frac{2m + 1}{m} - (2 - m) × \frac{(m + 2)(m - 2)}{-(m - 2)^{2}} = \frac{2m + 1}{m} - (m + 2) = \frac{2m + 1}{m} - \frac{m(m + 2)}{m} = \frac{1 - m^{2}}{m}$。
(1)原式$=\frac{x - 2 + 2}{x - 2} \cdot \frac{(x - 2)^{2}}{(x + 2)(x - 2)} = \frac{x}{x - 2} \cdot \frac{x - 2}{x + 2} = \frac{x}{x + 2}$。
(2)原式$=\frac{2m + 1}{m} - (2 - m) × \frac{(m + 2)(m - 2)}{-(m - 2)^{2}} = \frac{2m + 1}{m} - (m + 2) = \frac{2m + 1}{m} - \frac{m(m + 2)}{m} = \frac{1 - m^{2}}{m}$。
7. [2024遂宁]先化简:$(1 - \frac{1}{x - 1})÷\frac{x - 2}{x^{2} - 2x + 1}$,再从$1$,$2$,$3中选择一个合适的数作为x$的值代入求值。
答案:
[解]$(1 - \frac{1}{x - 1}) ÷ \frac{x - 2}{x^{2} - 2x + 1} = \frac{x - 1 - 1}{x - 1} \cdot \frac{(x - 1)^{2}}{x - 2} = x - 1$。
$\because x \neq 1$且$x \neq 2$,
$\therefore$当$x = 3$时,原式$= 3 - 1 = 2$。
$\because x \neq 1$且$x \neq 2$,
$\therefore$当$x = 3$时,原式$= 3 - 1 = 2$。
8. 已知$a$为整数,且$\frac{a + 3}{a - 5} - \frac{a - 5}{a + 2}÷\frac{a^{2} - 10a + 25}{a^{2} - 4}$为正整数,则所有符合条件的$a$的值的和为(
A.$4$
B.$8$
C.$12$
D.$16$
16
)A.$4$
B.$8$
C.$12$
D.$16$
答案:
D [点拨]$\frac{a + 3}{a - 5} - \frac{a - 5}{a + 2} ÷ \frac{a^{2} - 10a + 25}{a^{2} - 4} = \frac{a + 3}{a - 5} - \frac{a - 5}{a + 2} ÷ \frac{(a - 5)^{2}}{(a - 2)(a + 2)} = \frac{a + 3}{a - 5} - \frac{a - 5}{a + 2} \cdot \frac{(a - 2)(a + 2)}{(a - 5)^{2}} = \frac{a + 3}{a - 5} - \frac{a - 2}{a - 5} = \frac{a + 3 - a + 2}{a - 5} = \frac{5}{a - 5}$。
$\because a$为整数,且$\frac{a + 3}{a - 5} - \frac{a - 5}{a + 2} ÷ \frac{a^{2} - 10a + 25}{a^{2} - 4}$为正整数,
$\therefore a - 5 = 1$或$a - 5 = 5$。$\therefore a = 6$或$a = 10$。
$\therefore$所有符合条件的$a$的值的和为$6 + 10 = 16$。
$\because a$为整数,且$\frac{a + 3}{a - 5} - \frac{a - 5}{a + 2} ÷ \frac{a^{2} - 10a + 25}{a^{2} - 4}$为正整数,
$\therefore a - 5 = 1$或$a - 5 = 5$。$\therefore a = 6$或$a = 10$。
$\therefore$所有符合条件的$a$的值的和为$6 + 10 = 16$。
9. 新考法 新定义计算法 定义一种新运算:$f(x)= \frac{x^{2} + 1}{x}$,$g(x)= \frac{x^{2} - 1}{x}$,例如:当$x = 1$时,$f(1)= \frac{1^{2} + 1}{1}= 2$,$g(1)= \frac{1^{2} - 1}{1}= 0$。则下列说法正确的有(
①$f(2) - g(2)= 1$;
②当$f(m)= - 2$时,$g(m)= 2$;
③当$f(m_{1}) + f(m_{2}) + … + f(m_{n})= 1024$,$g(m_{1}) + g(m_{2}) + … + g(m_{n})= 1026$时,$(m_{1} + m_{2} + … + m_{n})(\frac{1}{m_{1}} + \frac{1}{m_{2}} + … + \frac{1}{m_{n}})= - 1025$。
A.$0$个
B.$1$个
C.$2$个
D.$3$个
①③
)①$f(2) - g(2)= 1$;
②当$f(m)= - 2$时,$g(m)= 2$;
③当$f(m_{1}) + f(m_{2}) + … + f(m_{n})= 1024$,$g(m_{1}) + g(m_{2}) + … + g(m_{n})= 1026$时,$(m_{1} + m_{2} + … + m_{n})(\frac{1}{m_{1}} + \frac{1}{m_{2}} + … + \frac{1}{m_{n}})= - 1025$。
A.$0$个
B.$1$个
C.$2$个
D.$3$个
答案:
C [点拨]①当$x = 2$时,$f(2) - g(2) = \frac{2^{2} + 1}{2} - \frac{2^{2} - 1}{2} = 1$,故①正确;②$f(m) = \frac{m^{2} + 1}{m} = -2$,即$m^{2} + 2m + 1 = 0$,解得$m = -1$。$\therefore g(m) = \frac{(-1)^{2} - 1}{-1} = 0$,故②错误;③$\because f(x) = \frac{x^{2} + 1}{x}$,$g(x) = \frac{x^{2} - 1}{x}$,$\therefore f(x) + g(x) = \frac{x^{2} + 1 + x^{2} - 1}{x} = 2x$,$f(x) - g(x) = \frac{x^{2} + 1 - x^{2} + 1}{x} = \frac{2}{x}$。
$f(m_{1}) + f(m_{2}) + \cdots + f(m_{n}) = 1024$(i),$g(m_{1}) + g(m_{2}) + \cdots + g(m_{n}) = 1026$(ii),i + ii,得$2(m_{1} + m_{2} + \cdots + m_{n}) = 2050$,即$m_{1} + m_{2} + \cdots + m_{n} = 1025$,i - ii,得$2(\frac{1}{m_{1}} + \frac{1}{m_{2}} + \cdots + \frac{1}{m_{n}}) = -2$,即$\frac{1}{m_{1}} + \frac{1}{m_{2}} + \cdots + \frac{1}{m_{n}} = -1$,$\therefore (m_{1} + m_{2} + \cdots + m_{n})(\frac{1}{m_{1}} + \frac{1}{m_{2}} + \cdots + \frac{1}{m_{n}}) = -1025$,故③正确。综上,正确的说法有2个。
$f(m_{1}) + f(m_{2}) + \cdots + f(m_{n}) = 1024$(i),$g(m_{1}) + g(m_{2}) + \cdots + g(m_{n}) = 1026$(ii),i + ii,得$2(m_{1} + m_{2} + \cdots + m_{n}) = 2050$,即$m_{1} + m_{2} + \cdots + m_{n} = 1025$,i - ii,得$2(\frac{1}{m_{1}} + \frac{1}{m_{2}} + \cdots + \frac{1}{m_{n}}) = -2$,即$\frac{1}{m_{1}} + \frac{1}{m_{2}} + \cdots + \frac{1}{m_{n}} = -1$,$\therefore (m_{1} + m_{2} + \cdots + m_{n})(\frac{1}{m_{1}} + \frac{1}{m_{2}} + \cdots + \frac{1}{m_{n}}) = -1025$,故③正确。综上,正确的说法有2个。
10. 新视角 规律探究题 已知$a_{1}= x + 1(x\neq0且x\neq - 1)$,$a_{2}= \frac{1}{1 - a_{1}}$,$a_{3}= \frac{1}{1 - a_{2}}$,…$$,$a_{n}= \frac{1}{1 - a_{n - 1}}$,则$a_{2025}$的值为
$\frac{x}{x + 1}$
。
答案:
$\frac{x}{x + 1}$ [点拨]$\because a_{1} = x + 1$,
$\therefore a_{2} = \frac{1}{1 - a_{1}} = \frac{1}{1 - (x + 1)} = -\frac{1}{x}$。
$\therefore a_{3} = \frac{1}{1 - a_{2}} = \frac{1}{1 - (-\frac{1}{x})} = \frac{x}{x + 1}$。
$\therefore a_{4} = \frac{1}{1 - a_{3}} = \frac{1}{1 - \frac{x}{x + 1}} = \frac{1}{\frac{1}{x + 1}} = x + 1$。
$\therefore a_{5} = \frac{1}{1 - a_{4}} = \frac{1}{1 - (x + 1)} = -\frac{1}{x}$,$\cdots$
由上可得,每三个为一个循环。
$\because 2025 ÷ 3 = 675$,$\therefore a_{2025} = \frac{x}{x + 1}$。
$\therefore a_{2} = \frac{1}{1 - a_{1}} = \frac{1}{1 - (x + 1)} = -\frac{1}{x}$。
$\therefore a_{3} = \frac{1}{1 - a_{2}} = \frac{1}{1 - (-\frac{1}{x})} = \frac{x}{x + 1}$。
$\therefore a_{4} = \frac{1}{1 - a_{3}} = \frac{1}{1 - \frac{x}{x + 1}} = \frac{1}{\frac{1}{x + 1}} = x + 1$。
$\therefore a_{5} = \frac{1}{1 - a_{4}} = \frac{1}{1 - (x + 1)} = -\frac{1}{x}$,$\cdots$
由上可得,每三个为一个循环。
$\because 2025 ÷ 3 = 675$,$\therefore a_{2025} = \frac{x}{x + 1}$。
查看更多完整答案,请扫码查看