第56页
- 第1页
- 第2页
- 第3页
- 第4页
- 第5页
- 第6页
- 第7页
- 第8页
- 第9页
- 第10页
- 第11页
- 第12页
- 第13页
- 第14页
- 第15页
- 第16页
- 第17页
- 第18页
- 第19页
- 第20页
- 第21页
- 第22页
- 第23页
- 第24页
- 第25页
- 第26页
- 第27页
- 第28页
- 第29页
- 第30页
- 第31页
- 第32页
- 第33页
- 第34页
- 第35页
- 第36页
- 第37页
- 第38页
- 第39页
- 第40页
- 第41页
- 第42页
- 第43页
- 第44页
- 第45页
- 第46页
- 第47页
- 第48页
- 第49页
- 第50页
- 第51页
- 第52页
- 第53页
- 第54页
- 第55页
- 第56页
- 第57页
- 第58页
- 第59页
- 第60页
- 第61页
- 第62页
- 第63页
- 第64页
- 第65页
- 第66页
- 第67页
- 第68页
- 第69页
- 第70页
- 第71页
- 第72页
- 第73页
- 第74页
- 第75页
- 第76页
- 第77页
- 第78页
- 第79页
- 第80页
- 第81页
- 第82页
- 第83页
- 第84页
- 第85页
- 第86页
- 第87页
- 第88页
- 第89页
- 第90页
- 第91页
- 第92页
- 第93页
- 第94页
- 第95页
- 第96页
- 第97页
- 第98页
- 第99页
- 第100页
- 第101页
- 第102页
- 第103页
- 第104页
- 第105页
- 第106页
- 第107页
- 第108页
- 第109页
- 第110页
- 第111页
- 第112页
- 第113页
- 第114页
- 第115页
- 第116页
- 第117页
13. 把两个半径分别为 $1$ cm 和 $\sqrt[3]{7}$ cm 的铅球熔化后做成一个更大的铅球, 则这个大铅球的半径是
2
cm(球的体积公式 $V = \frac{4}{3}\pi r^3$, 其中 $r$ 是球的半径).
答案:
2 【点拨】$\frac{4}{3}\pi × 1{}^{3}+\frac{4}{3}\pi × (\sqrt[{3}]{7}){}^{3}=\frac{32}{3}\pi (\mathrm{c}\mathrm{m}{}^{3})$,$\therefore$大
铅球的半径为$\sqrt[{3}]{\frac{32}{3}\pi × \frac{3}{4}÷ \pi }=2(\mathrm{c}\mathrm{m}).$
铅球的半径为$\sqrt[{3}]{\frac{32}{3}\pi × \frac{3}{4}÷ \pi }=2(\mathrm{c}\mathrm{m}).$
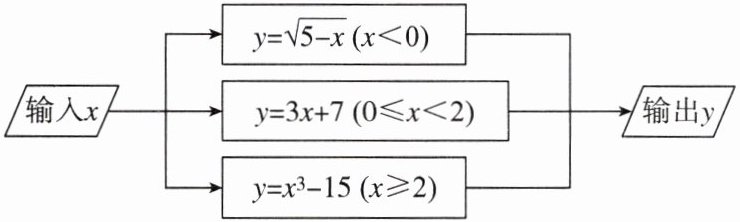
14. 新考法
程序计算法 根据下面的运算程序:

若输入一个正数 $x$ 时, 输出 $y$ 的值是 $12$, 则输入的 $x$ 的值是
程序计算法 根据下面的运算程序:
若输入一个正数 $x$ 时, 输出 $y$ 的值是 $12$, 则输入的 $x$ 的值是
3或$\frac{5}{3}$
.
答案:
3或$\frac{5}{3}$ 【点拨】当$0\leqslant x<2$时,则$3x+7=12$,解得
$x=\frac{5}{3}$;当$x\geqslant 2$时,则$x{}^{3}-15=12$,解得$x=3.$综上所
述,输入的x的值是3或$\frac{5}{3}.$
$x=\frac{5}{3}$;当$x\geqslant 2$时,则$x{}^{3}-15=12$,解得$x=3.$综上所
述,输入的x的值是3或$\frac{5}{3}.$
15. $M$ 是个位数字不为零的两位数, 将 $M$ 的个位数字与十位数字互换后, 得另一个两位数 $N$, 若 $M - N$ 恰是某正整数的立方, 则这样的数共有
6
个.
答案:
6
16. [情境题 智力游戏] 魔方, 又叫魔术方块, 也称鲁比克方块, 是匈牙利建筑学教授厄尔诺·鲁比克在 1974 年发明的. 魔方与中国人发明的“华容道”, 法国人发明的“独立钻石”一同被称为智力游戏界的三大不可思议. 如图是一个 $4$ 阶魔方, 又称“魔方的复仇”, 由四层完全相同的 $64$ 个小立方体组成, 体积为 $512 cm^3$. 求组成这个魔方的小立方体的表面积.

答案:
【解】$\because$魔方由四层完全相同的64个小立方体组成,
体积为$512\mathrm{c}\mathrm{m}{}^{3}$,
$\therefore$每个小立方体的体积为$512÷ 64=8(\mathrm{c}\mathrm{m}{}^{3})$,
$\therefore$每个小立方体的棱长为$\sqrt[{3}]{8}=2(\mathrm{c}\mathrm{m})$,
$\therefore$小立方体的表面积为$6× 2{}^{2}=24(\mathrm{c}\mathrm{m}{}^{2}).$
答:小立方体的表面积为$24\mathrm{c}\mathrm{m}{}^{2}.$
体积为$512\mathrm{c}\mathrm{m}{}^{3}$,
$\therefore$每个小立方体的体积为$512÷ 64=8(\mathrm{c}\mathrm{m}{}^{3})$,
$\therefore$每个小立方体的棱长为$\sqrt[{3}]{8}=2(\mathrm{c}\mathrm{m})$,
$\therefore$小立方体的表面积为$6× 2{}^{2}=24(\mathrm{c}\mathrm{m}{}^{2}).$
答:小立方体的表面积为$24\mathrm{c}\mathrm{m}{}^{2}.$
17. 新考法
阅读类比法 据说著名数学家华罗庚有次搭乘飞机时, 看到邻座的乘客阅读的杂志上有一道智力题: 一个数是 $59319$, 求它的立方根. 华罗庚脱口而出, 邻座的乘客十分惊奇, 忙问计算的奥妙. 你知道华罗庚是怎样迅速准确地计算出来的吗?
(1)【发现与思考】
$\because 10^3 = 1000, 100^3 = 1000000$,
$1000 < 59319 < 1000000$,
$\therefore \sqrt[3]{59319}$ 是两位数.
$\because 59319$ 的个位数字是 $9$,
$\therefore \sqrt[3]{59319}$ 的个位数字是
$\because 30^3 = 27000, 40^3 = 64000$,
$\therefore \sqrt[3]{59319}$ 的十位数字是
$\therefore \sqrt[3]{59319} = $
(2)【运用并解决】
请类比上述的发现与思考, 推理求出 $110592$ 的立方根.
$\because 10{}^{3}=1000$,$100{}^{3}=1000000$,
$1000<110592<1000000$,
$\therefore \sqrt[{3}]{110592}$是两位数.
$\because 110592$的个位数字是2,
$\therefore \sqrt[{3}]{110592}$的个位数字是8.
$\because 50{}^{3}=125000$,$40{}^{3}=64000$,
$\therefore \sqrt[{3}]{110592}$的十位数字是4.$\therefore \sqrt[{3}]{110592}=48.$
阅读类比法 据说著名数学家华罗庚有次搭乘飞机时, 看到邻座的乘客阅读的杂志上有一道智力题: 一个数是 $59319$, 求它的立方根. 华罗庚脱口而出, 邻座的乘客十分惊奇, 忙问计算的奥妙. 你知道华罗庚是怎样迅速准确地计算出来的吗?
(1)【发现与思考】
$\because 10^3 = 1000, 100^3 = 1000000$,
$1000 < 59319 < 1000000$,
$\therefore \sqrt[3]{59319}$ 是两位数.
$\because 59319$ 的个位数字是 $9$,
$\therefore \sqrt[3]{59319}$ 的个位数字是
9
.$\because 30^3 = 27000, 40^3 = 64000$,
$\therefore \sqrt[3]{59319}$ 的十位数字是
3
.$\therefore \sqrt[3]{59319} = $
39
.(2)【运用并解决】
请类比上述的发现与思考, 推理求出 $110592$ 的立方根.
$\because 10{}^{3}=1000$,$100{}^{3}=1000000$,
$1000<110592<1000000$,
$\therefore \sqrt[{3}]{110592}$是两位数.
$\because 110592$的个位数字是2,
$\therefore \sqrt[{3}]{110592}$的个位数字是8.
$\because 50{}^{3}=125000$,$40{}^{3}=64000$,
$\therefore \sqrt[{3}]{110592}$的十位数字是4.$\therefore \sqrt[{3}]{110592}=48.$
答案:
【解】
(1)9;3;39
(2)$\because 10{}^{3}=1000$,$100{}^{3}=1000000$,
$1000<110592<1000000$,
$\therefore \sqrt[{3}]{110592}$是两位数.
$\because 110592$的个位数字是2,
$\therefore \sqrt[{3}]{110592}$的个位数字是8.
$\because 50{}^{3}=125000$,$40{}^{3}=64000$,
$\therefore \sqrt[{3}]{110592}$的十位数字是4.$\therefore \sqrt[{3}]{110592}=48.$
(1)9;3;39
(2)$\because 10{}^{3}=1000$,$100{}^{3}=1000000$,
$1000<110592<1000000$,
$\therefore \sqrt[{3}]{110592}$是两位数.
$\because 110592$的个位数字是2,
$\therefore \sqrt[{3}]{110592}$的个位数字是8.
$\because 50{}^{3}=125000$,$40{}^{3}=64000$,
$\therefore \sqrt[{3}]{110592}$的十位数字是4.$\therefore \sqrt[{3}]{110592}=48.$
查看更多完整答案,请扫码查看