2025年人教金学典同步解析与测评高中数学必修第一册人教版福建专版
注:目前有些书本章节名称可能整理的还不是很完善,但都是按照顺序排列的,请同学们按照顺序仔细查找。练习册 2025年人教金学典同步解析与测评高中数学必修第一册人教版福建专版 答案主要是用来给同学们做完题方便对答案用的,请勿直接抄袭。
第76页
- 第1页
- 第2页
- 第3页
- 第4页
- 第5页
- 第6页
- 第7页
- 第8页
- 第9页
- 第10页
- 第11页
- 第12页
- 第13页
- 第14页
- 第15页
- 第16页
- 第17页
- 第18页
- 第19页
- 第20页
- 第21页
- 第22页
- 第23页
- 第24页
- 第25页
- 第26页
- 第27页
- 第28页
- 第29页
- 第30页
- 第31页
- 第32页
- 第33页
- 第34页
- 第35页
- 第36页
- 第37页
- 第38页
- 第39页
- 第40页
- 第41页
- 第42页
- 第43页
- 第44页
- 第45页
- 第46页
- 第47页
- 第48页
- 第49页
- 第50页
- 第51页
- 第52页
- 第53页
- 第54页
- 第55页
- 第56页
- 第57页
- 第58页
- 第59页
- 第60页
- 第61页
- 第62页
- 第63页
- 第64页
- 第65页
- 第66页
- 第67页
- 第68页
- 第69页
- 第70页
- 第71页
- 第72页
- 第73页
- 第74页
- 第75页
- 第76页
- 第77页
- 第78页
- 第79页
- 第80页
- 第81页
- 第82页
- 第83页
- 第84页
- 第85页
- 第86页
- 第87页
- 第88页
- 第89页
- 第90页
- 第91页
- 第92页
- 第93页
- 第94页
- 第95页
- 第96页
- 第97页
- 第98页
- 第99页
- 第100页
- 第101页
- 第102页
- 第103页
- 第104页
- 第105页
- 第106页
- 第107页
- 第108页
- 第109页
- 第110页
- 第111页
- 第112页
- 第113页
- 第114页
- 第115页
- 第116页
- 第117页
- 第118页
- 第119页
- 第120页
- 第121页
- 第122页
- 第123页
- 第124页
- 第125页
- 第126页
- 第127页
- 第128页
- 第129页
- 第130页
- 第131页
- 第132页
- 第133页
- 第134页
- 第135页
- 第136页
- 第137页
- 第138页
- 第139页
- 第140页
- 第141页
- 第142页
- 第143页
- 第144页
- 第145页
- 第146页
- 第147页
- 第148页
- 第149页
- 第150页
- 第151页
- 第152页
- 第153页
- 第154页
- 第155页
- 第156页
- 第157页
- 第158页
- 第159页
- 第160页
- 第161页
- 第162页
- 第163页
- 第164页
- 第165页
- 第166页
- 第167页
- 第168页
- 第169页
- 第170页
- 第171页
- 第172页
- 第173页
- 第174页
- 第175页
- 第176页
- 第177页
- 第178页
- 第179页
- 第180页
- 第181页
- 第182页
- 第183页
- 第184页
- 第185页
- 第186页
- 第187页
- 第188页
- 第189页
- 第190页
- 第191页
- 第192页
- 第193页
- 第194页
一、函数的增减性
情境Ⅰ:德国心理学家艾宾浩斯研究发现,遗忘在学习之后立即开始,而且遗忘的进程并不是均匀的。最初遗忘速度较快,以后逐渐减慢。他认为“保持和遗忘是时间的函数”,并根据实验结果绘成描述遗忘进程的曲线,即著名的艾宾浩斯记忆遗忘曲线,如图所示。
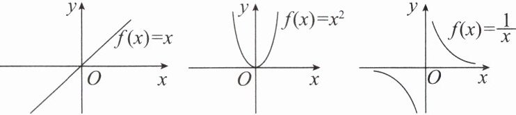
情境Ⅱ:作出函数 $ f(x) = x $,$ f(x) = x^2 $,$ f(x) = \frac{1}{x} $ 的图象,如图所示。
从图象上不难看出函数 $ f(x) = x $ 的图象从左到右是上升的;函数 $ f(x) = x^2 $ 的图象在 $ y $ 轴左侧部分从左到右是下降的,而在 $ y $ 轴右侧部分从左到右是上升的;函数 $ f(x) = \frac{1}{x} $ 的图象在 $ y $ 轴左侧部分从左到右是下降的,在 $ y $ 轴右侧部分从左到右也是下降的。

【思考】
(1)情境Ⅰ告诉我们学习中的遗忘规律是如何变化的?
(2)情境Ⅱ中 $ f(x) $ 随 $ x $ 的增大是如何变化的?
(3)什么是增(减)函数?增(减)函数定义中的 $ x_1, x_2 $ 有什么特征?
(4)若函数 $ f(x) $ 是其定义域上的增函数,且 $ f(a) > f(b) $,则 $ a, b $ 满足什么关系?若函数 $ f(x) $ 是减函数呢?

情境Ⅰ:德国心理学家艾宾浩斯研究发现,遗忘在学习之后立即开始,而且遗忘的进程并不是均匀的。最初遗忘速度较快,以后逐渐减慢。他认为“保持和遗忘是时间的函数”,并根据实验结果绘成描述遗忘进程的曲线,即著名的艾宾浩斯记忆遗忘曲线,如图所示。
情境Ⅱ:作出函数 $ f(x) = x $,$ f(x) = x^2 $,$ f(x) = \frac{1}{x} $ 的图象,如图所示。
从图象上不难看出函数 $ f(x) = x $ 的图象从左到右是上升的;函数 $ f(x) = x^2 $ 的图象在 $ y $ 轴左侧部分从左到右是下降的,而在 $ y $ 轴右侧部分从左到右是上升的;函数 $ f(x) = \frac{1}{x} $ 的图象在 $ y $ 轴左侧部分从左到右是下降的,在 $ y $ 轴右侧部分从左到右也是下降的。
【思考】
(1)情境Ⅰ告诉我们学习中的遗忘规律是如何变化的?
(2)情境Ⅱ中 $ f(x) $ 随 $ x $ 的增大是如何变化的?
(3)什么是增(减)函数?增(减)函数定义中的 $ x_1, x_2 $ 有什么特征?
(4)若函数 $ f(x) $ 是其定义域上的增函数,且 $ f(a) > f(b) $,则 $ a, b $ 满足什么关系?若函数 $ f(x) $ 是减函数呢?
答案:
(1)提示:这条曲线告诉我们,学习中的遗忘是有规律的,遗忘的进程是不均衡的,最初阶段遗忘的速度很快,后来就逐渐变慢了.这条曲线表明了遗忘规律是“先快后慢”
(2)提示:f(x)=x中f(x)随x的增大而增大;f(x)=x²中f(x)先随x的增大而减小,再随x的增大而增大;f(x)=$\frac{1}{x}$中f(x)在区间(-∞,0)上和区间(0,+∞)上都是随x的增大而减小.
(3)提示:一般地,设函数f(x)的定义域为D,区间I⊆D.如果∀x₁,x₂∈I,当x₁<x₂时,都有f(x₁)<f(x₂)(f(x₁)>f(x₂)),那么就称函数f(x)在区间I上单调递增(减).特别地,当函数f(x)在它的定义域上单调递增(减)时,我们就称它是增函数(减函数).
定义中的x₁,x₂有以下3个特征:
①任意性,即x₁,x₂是任意选取的,证明时不能以特殊代替一般;
②有大小,通常规定x₁<x₂;
③属于同一个单调区间.
(4)提示:若函数f(x)是其定义域上的增函数,则当f(a)>f(b)时,a>b;若函数f(x)是其定义域上的减函数,则当f(a)>f(b)时,a<b.
(1)提示:这条曲线告诉我们,学习中的遗忘是有规律的,遗忘的进程是不均衡的,最初阶段遗忘的速度很快,后来就逐渐变慢了.这条曲线表明了遗忘规律是“先快后慢”
(2)提示:f(x)=x中f(x)随x的增大而增大;f(x)=x²中f(x)先随x的增大而减小,再随x的增大而增大;f(x)=$\frac{1}{x}$中f(x)在区间(-∞,0)上和区间(0,+∞)上都是随x的增大而减小.
(3)提示:一般地,设函数f(x)的定义域为D,区间I⊆D.如果∀x₁,x₂∈I,当x₁<x₂时,都有f(x₁)<f(x₂)(f(x₁)>f(x₂)),那么就称函数f(x)在区间I上单调递增(减).特别地,当函数f(x)在它的定义域上单调递增(减)时,我们就称它是增函数(减函数).
定义中的x₁,x₂有以下3个特征:
①任意性,即x₁,x₂是任意选取的,证明时不能以特殊代替一般;
②有大小,通常规定x₁<x₂;
③属于同一个单调区间.
(4)提示:若函数f(x)是其定义域上的增函数,则当f(a)>f(b)时,a>b;若函数f(x)是其定义域上的减函数,则当f(a)>f(b)时,a<b.
查看更多完整答案,请扫码查看