第140页
- 第1页
- 第2页
- 第3页
- 第4页
- 第5页
- 第6页
- 第7页
- 第8页
- 第9页
- 第10页
- 第11页
- 第12页
- 第13页
- 第14页
- 第15页
- 第16页
- 第17页
- 第18页
- 第19页
- 第20页
- 第21页
- 第22页
- 第23页
- 第24页
- 第25页
- 第26页
- 第27页
- 第28页
- 第29页
- 第30页
- 第31页
- 第32页
- 第33页
- 第34页
- 第35页
- 第36页
- 第37页
- 第38页
- 第39页
- 第40页
- 第41页
- 第42页
- 第43页
- 第44页
- 第45页
- 第46页
- 第47页
- 第48页
- 第49页
- 第50页
- 第51页
- 第52页
- 第53页
- 第54页
- 第55页
- 第56页
- 第57页
- 第58页
- 第59页
- 第60页
- 第61页
- 第62页
- 第63页
- 第64页
- 第65页
- 第66页
- 第67页
- 第68页
- 第69页
- 第70页
- 第71页
- 第72页
- 第73页
- 第74页
- 第75页
- 第76页
- 第77页
- 第78页
- 第79页
- 第80页
- 第81页
- 第82页
- 第83页
- 第84页
- 第85页
- 第86页
- 第87页
- 第88页
- 第89页
- 第90页
- 第91页
- 第92页
- 第93页
- 第94页
- 第95页
- 第96页
- 第97页
- 第98页
- 第99页
- 第100页
- 第101页
- 第102页
- 第103页
- 第104页
- 第105页
- 第106页
- 第107页
- 第108页
- 第109页
- 第110页
- 第111页
- 第112页
- 第113页
- 第114页
- 第115页
- 第116页
- 第117页
- 第118页
- 第119页
- 第120页
- 第121页
- 第122页
- 第123页
- 第124页
- 第125页
- 第126页
- 第127页
- 第128页
- 第129页
- 第130页
- 第131页
- 第132页
- 第133页
- 第134页
- 第135页
- 第136页
- 第137页
- 第138页
- 第139页
- 第140页
- 第141页
- 第142页
例1
在下列生活、生产现象中,可以用基本事实“两点确定一条直线”来解释的是 (
A.钟表的秒针旋转一周,形成一个圆面
B.把笔尖看成一个点,当这个点运动时便得到一条线
C.长方形硬纸板绕它的一边旋转一周,形成一个圆柱体
D.木匠师傅锯木料时,一般先在木料上画出两个点,再过这两个点作出一条墨线
解析 A项说明线动成面,不符合题意;
B项说明点动成线,不符合题意;
C项说明面动成体,不符合题意;
D项说明两点确定一条直线,符合题意.
答案 D
在下列生活、生产现象中,可以用基本事实“两点确定一条直线”来解释的是 (
D
)A.钟表的秒针旋转一周,形成一个圆面
B.把笔尖看成一个点,当这个点运动时便得到一条线
C.长方形硬纸板绕它的一边旋转一周,形成一个圆柱体
D.木匠师傅锯木料时,一般先在木料上画出两个点,再过这两个点作出一条墨线
解析 A项说明线动成面,不符合题意;
B项说明点动成线,不符合题意;
C项说明面动成体,不符合题意;
D项说明两点确定一条直线,符合题意.
答案 D
答案:
D
例2
如图,棋盘上有黑、白两色棋子若干,若直线l经过3枚相同颜色的棋子,则这样的直线共有

如图,棋盘上有黑、白两色棋子若干,若直线l经过3枚相同颜色的棋子,则这样的直线共有
3
条.
答案:
3
例3
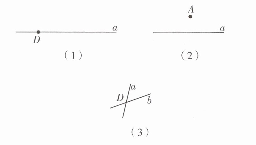
用适当的语句表述图中点与直线或直线与直线的关系.

解 根据图形可知,
(1)
(2)
(3)
用适当的语句表述图中点与直线或直线与直线的关系.
解 根据图形可知,
(1)
点D在直线a上或直线a经过点D
;(2)
点A在直线a外或直线a不经过点A
;(3)
直线a和直线b相交于点D
.
答案:
(1)点D在直线a上或直线a经过点D;
(2)点A在直线a外或直线a不经过点A;
(3)直线a和直线b相交于点D.
(2)点A在直线a外或直线a不经过点A;
(3)直线a和直线b相交于点D.
查看更多完整答案,请扫码查看