第81页
- 第1页
- 第2页
- 第3页
- 第4页
- 第5页
- 第6页
- 第7页
- 第8页
- 第9页
- 第10页
- 第11页
- 第12页
- 第13页
- 第14页
- 第15页
- 第16页
- 第17页
- 第18页
- 第19页
- 第20页
- 第21页
- 第22页
- 第23页
- 第24页
- 第25页
- 第26页
- 第27页
- 第28页
- 第29页
- 第30页
- 第31页
- 第32页
- 第33页
- 第34页
- 第35页
- 第36页
- 第37页
- 第38页
- 第39页
- 第40页
- 第41页
- 第42页
- 第43页
- 第44页
- 第45页
- 第46页
- 第47页
- 第48页
- 第49页
- 第50页
- 第51页
- 第52页
- 第53页
- 第54页
- 第55页
- 第56页
- 第57页
- 第58页
- 第59页
- 第60页
- 第61页
- 第62页
- 第63页
- 第64页
- 第65页
- 第66页
- 第67页
- 第68页
- 第69页
- 第70页
- 第71页
- 第72页
- 第73页
- 第74页
- 第75页
- 第76页
- 第77页
- 第78页
- 第79页
- 第80页
- 第81页
- 第82页
- 第83页
- 第84页
- 第85页
- 第86页
- 第87页
- 第88页
- 第89页
- 第90页
- 第91页
- 第92页
- 第93页
- 第94页
- 第95页
- 第96页
- 第97页
- 第98页
- 第99页
- 第100页
- 第101页
- 第102页
- 第103页
- 第104页
- 第105页
- 第106页
- 第107页
- 第108页
- 第109页
- 第110页
- 第111页
- 第112页
- 第113页
- 第114页
- 第115页
- 第116页
- 第117页
- 第118页
- 第119页
- 第120页
- 第121页
- 第122页
- 第123页
- 第124页
- 第125页
- 第126页
- 第127页
- 第128页
- 第129页
- 第130页
- 第131页
- 第132页
- 第133页
- 第134页
- 第135页
- 第136页
- 第137页
- 第138页
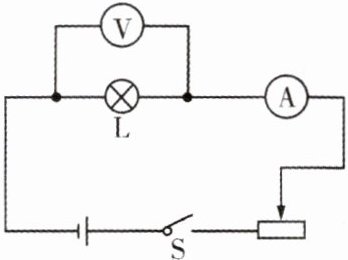
2.(1710)电源电压恒定为12 V,电压表测量范围为0~15 V,电流表测量范围为0~0.6 A,滑动变阻器规格为“44Ω 1 A”,灯泡L标有“8 V 0.5 A”字样,不考虑灯丝电阻的变化,电路中各元件都在安全的条件下,求:

(1)灯泡L的电阻值;
(2)滑动变阻器允许的取值范围;
(3)电流表示数的变化范围;
(4)电压表示数的变化范围。
(1)灯泡L的电阻值;
(2)滑动变阻器允许的取值范围;
(3)电流表示数的变化范围;
(4)电压表示数的变化范围。
答案:
(1) $ 16\Omega $
(2) $ 8\Omega \sim 44\Omega $
(3) $ 0.2A \sim 0.5A $
(4) $ 3.2V \sim 8V $
(1) $ 16\Omega $
(2) $ 8\Omega \sim 44\Omega $
(3) $ 0.2A \sim 0.5A $
(4) $ 3.2V \sim 8V $
3.(1710)如图所示,开关S处于闭合状态,电源电压保持6V不变,已知电阻$R_1= 10Ω。$

(1)当只闭合$S_3$时,电流表示数为0.3 A,求电阻$R_2$的阻值。
(2)当开关$S_1、$$S_2、$$S_3$都闭合时,电流表示数为1.8 A,求电阻$R_3$的阻值。
(3)当只闭合$S_1,$求此时电流表示数。
(1)当只闭合$S_3$时,电流表示数为0.3 A,求电阻$R_2$的阻值。
(2)当开关$S_1、$$S_2、$$S_3$都闭合时,电流表示数为1.8 A,求电阻$R_3$的阻值。
(3)当只闭合$S_1,$求此时电流表示数。
答案:
(1)只闭合$S_3$时,$R_1$与$R_2$串联,电流表测总电流。
总电阻$R=\frac{U}{I}=\frac{6\,V}{0.3\,A}=20\,\Omega$,
$R_2=R-R_1=20\,\Omega - 10\,\Omega=10\,\Omega$。
(2)开关$S_1$、$S_2$、$S_3$都闭合时,$R_2$被短路,$R_1$与$R_3$并联,电流表测干路电流。
通过$R_1$的电流$I_1=\frac{U}{R_1}=\frac{6\,V}{10\,\Omega}=0.6\,A$,
通过$R_3$的电流$I_3=I_{总}-I_1=1.8\,A-0.6\,A=1.2\,A$,
$R_3=\frac{U}{I_3}=\frac{6\,V}{1.2\,A}=5\,\Omega$。
(3)只闭合$S_1$时,只有$R_3$接入电路,电流$I=\frac{U}{R_3}=\frac{6\,V}{5\,\Omega}=1.2\,A$。
(1)10Ω;
(2)5Ω;
(3)1.2A。
(1)只闭合$S_3$时,$R_1$与$R_2$串联,电流表测总电流。
总电阻$R=\frac{U}{I}=\frac{6\,V}{0.3\,A}=20\,\Omega$,
$R_2=R-R_1=20\,\Omega - 10\,\Omega=10\,\Omega$。
(2)开关$S_1$、$S_2$、$S_3$都闭合时,$R_2$被短路,$R_1$与$R_3$并联,电流表测干路电流。
通过$R_1$的电流$I_1=\frac{U}{R_1}=\frac{6\,V}{10\,\Omega}=0.6\,A$,
通过$R_3$的电流$I_3=I_{总}-I_1=1.8\,A-0.6\,A=1.2\,A$,
$R_3=\frac{U}{I_3}=\frac{6\,V}{1.2\,A}=5\,\Omega$。
(3)只闭合$S_1$时,只有$R_3$接入电路,电流$I=\frac{U}{R_3}=\frac{6\,V}{5\,\Omega}=1.2\,A$。
(1)10Ω;
(2)5Ω;
(3)1.2A。
1.(1709)(2024年上海改编)如图所示,在定值电阻$R_{1}或滑动变阻器R_{2}$中,仅有一个发生故障。小浦为研究故障的原因,特地设计了一个方案:通过移动滑动变阻器的滑片P来判断出故障的原因。则开关S闭合后,电流表示数变化情况及对应故障正确的是(

A.电流表变化,则故障为$R_{1}$断路
B.电流表变化,则故障为$R_{2}$断路
C.电流表不变,则故障为$R_{1}$短路
D.电流表不变,则故障为$R_{1}$断路
A
)。A.电流表变化,则故障为$R_{1}$断路
B.电流表变化,则故障为$R_{2}$断路
C.电流表不变,则故障为$R_{1}$短路
D.电流表不变,则故障为$R_{1}$断路
答案:
A
2.(1709)如图所示,电源电压保持不变。闭合开关S,灯L正常发光,过了一段时间,观察到两电表的示数都变大,若电路中只有一处故障,且只发生在电阻R或L上,则电路故障是(

A.灯L断路
B.灯L短路
C.电阻R短路
D.电阻R断路
C
)。A.灯L断路
B.灯L短路
C.电阻R短路
D.电阻R断路
答案:
C
查看更多完整答案,请扫码查看