第74页
- 第1页
- 第2页
- 第3页
- 第4页
- 第5页
- 第6页
- 第7页
- 第8页
- 第9页
- 第10页
- 第11页
- 第12页
- 第13页
- 第14页
- 第15页
- 第16页
- 第17页
- 第18页
- 第19页
- 第20页
- 第21页
- 第22页
- 第23页
- 第24页
- 第25页
- 第26页
- 第27页
- 第28页
- 第29页
- 第30页
- 第31页
- 第32页
- 第33页
- 第34页
- 第35页
- 第36页
- 第37页
- 第38页
- 第39页
- 第40页
- 第41页
- 第42页
- 第43页
- 第44页
- 第45页
- 第46页
- 第47页
- 第48页
- 第49页
- 第50页
- 第51页
- 第52页
- 第53页
- 第54页
- 第55页
- 第56页
- 第57页
- 第58页
- 第59页
- 第60页
- 第61页
- 第62页
- 第63页
- 第64页
- 第65页
- 第66页
- 第67页
- 第68页
- 第69页
- 第70页
- 第71页
- 第72页
- 第73页
- 第74页
- 第75页
- 第76页
- 第77页
- 第78页
- 第79页
- 第80页
- 第81页
- 第82页
- 第83页
- 第84页
- 第85页
- 第86页
- 第87页
- 第88页
- 第89页
- 第90页
- 第91页
- 第92页
- 第93页
- 第94页
- 第95页
- 第96页
- 第97页
- 第98页
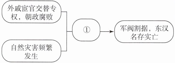
4. (2024·北京海淀)下面示意图①处应填写(

A.长平之战
B.大泽乡起义
C.巨鹿之战
D.黄巾起义
D
)A.长平之战
B.大泽乡起义
C.巨鹿之战
D.黄巾起义
答案:
D
5. 阅读材料,完成下列要求。
材料一 (光武帝)诏曰:“天地之性人为贵。其杀奴婢,不得减罪。”……诏陇、蜀民被略为奴婢自讼者,及狱官未报,一切免为庶〔人〕。
——《后汉书·光武帝纪》
材料二 (建武六年)诏曰:……“令司隶、州牧各实所部,省减吏员。县国不足置长吏可并合者,上大司徒、大司空二府。”于是条奏并省四百余县,吏职减损,十置其一。
——《后汉书·光武帝纪》
(1)结合所学知识回答,光武帝是如何重建汉政权的?
(2)根据材料一、材料二并结合所学知识回答,光武帝重建汉政权后,为稳定社会局面采取了哪些措施?
(3)结合所学知识回答,光武帝统治后期出现了什么局面?
材料一 (光武帝)诏曰:“天地之性人为贵。其杀奴婢,不得减罪。”……诏陇、蜀民被略为奴婢自讼者,及狱官未报,一切免为庶〔人〕。
——《后汉书·光武帝纪》
材料二 (建武六年)诏曰:……“令司隶、州牧各实所部,省减吏员。县国不足置长吏可并合者,上大司徒、大司空二府。”于是条奏并省四百余县,吏职减损,十置其一。
——《后汉书·光武帝纪》
(1)结合所学知识回答,光武帝是如何重建汉政权的?
(2)根据材料一、材料二并结合所学知识回答,光武帝重建汉政权后,为稳定社会局面采取了哪些措施?
(3)结合所学知识回答,光武帝统治后期出现了什么局面?
答案:
(1)西汉宗室刘秀以“复汉”为旗号,与其他的农民起义军共同反抗王莽的统治。25年,刘秀称帝,后定都洛阳,史称东汉。
(2)经济上,多次下令释放奴婢;将荒地和山林给予农民耕种,并减轻田租,减轻农民的负担。政治上,合并郡县,裁减官员,加强对官吏的监督,惩处贪官污吏;减轻刑罚。民族关系上,允许北方各族内迁,缓和民族矛盾。
(3)到光武帝统治后期,经济得到恢复和发展,社会出现比较安定的局面,史称“光武中兴”。
(2)经济上,多次下令释放奴婢;将荒地和山林给予农民耕种,并减轻田租,减轻农民的负担。政治上,合并郡县,裁减官员,加强对官吏的监督,惩处贪官污吏;减轻刑罚。民族关系上,允许北方各族内迁,缓和民族矛盾。
(3)到光武帝统治后期,经济得到恢复和发展,社会出现比较安定的局面,史称“光武中兴”。
查看更多完整答案,请扫码查看