第15页
- 第1页
- 第2页
- 第3页
- 第4页
- 第5页
- 第6页
- 第7页
- 第8页
- 第9页
- 第10页
- 第11页
- 第12页
- 第13页
- 第14页
- 第15页
- 第16页
- 第17页
- 第18页
- 第19页
- 第20页
- 第21页
- 第22页
- 第23页
- 第24页
- 第25页
- 第26页
- 第27页
- 第28页
- 第29页
- 第30页
- 第31页
- 第32页
- 第33页
- 第34页
- 第35页
- 第36页
- 第37页
- 第38页
- 第39页
- 第40页
- 第41页
- 第42页
- 第43页
- 第44页
- 第45页
- 第46页
- 第47页
- 第48页
- 第49页
- 第50页
- 第51页
- 第52页
- 第53页
- 第54页
- 第55页
- 第56页
- 第57页
- 第58页
- 第59页
- 第60页
- 第61页
- 第62页
- 第63页
- 第64页
- 第65页
- 第66页
- 第67页
- 第68页
- 第69页
- 第70页
- 第71页
- 第72页
- 第73页
- 第74页
- 第75页
- 第76页
- 第77页
- 第78页
- 第79页
- 第80页
- 第81页
- 第82页
- 第83页
- 第84页
- 第85页
- 第86页
- 第87页
- 第88页
- 第89页
- 第90页
- 第91页
- 第92页
- 第93页
- 第94页
- 第95页
- 第96页
- 第97页
- 第98页
- 第99页
- 第100页
- 第101页
- 第102页
- 第103页
- 第104页
- 第105页
- 第106页
- 第107页
- 第108页
- 第109页
- 第110页
- 第111页
- 第112页
- 第113页
- 第114页
- 第115页
- 第116页
- 第117页
2. 如图,点O,K分别在直线a,b上,则a,b相交所成的锐角是(

A.20°
B.30°
C.70°
D.80°
B
)A.20°
B.30°
C.70°
D.80°
答案:
B
1. 如图,一束平行于主光轴OF的光线经凸透镜折射后,其折射光线与一束经过光心O的光线相交于点P,点F为焦点。若∠1 = 155°,∠2 = 30°,则∠3为(

A.45°
B.50°
C.55°
D.60°
C
)A.45°
B.50°
C.55°
D.60°
答案:
【解析】:因为入射光线平行于主光轴OF,∠1=155°,所以入射光线与凸透镜表面夹角的邻补角为180°-155°=25°。由平行线性质知,该角等于折射光线与OF的夹角(设为∠α),即∠α=25°。经过光心的光线与OF的夹角∠2=30°,则∠3为∠2与∠α的和(三角形外角性质),即∠3=30°+25°=55°。
【答案】:C
【答案】:C
2. 如图,在△ABC中,∠A = 64°,点D在AB上,将△ABC沿CD折叠,使点A落在BC边上的点E处,若∠B = 26°,则∠BDE为

38
。
答案:
38
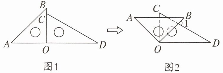
3. 一副三角尺摆放位置如图1所示,把三角尺AOB绕公共顶点O顺时针旋转至图2,即AB//OD时,∠1为

75°
。
答案:
75°
查看更多完整答案,请扫码查看