作一个角等于已知角
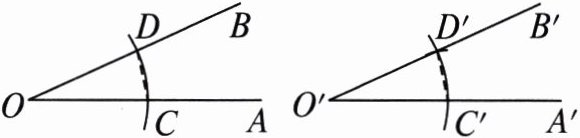
如图,已知∠AOB,求作∠A'O'B',使∠A'O'B' = ∠AOB。

作法:如图,(1)以点O为圆心,____为半径作弧,分别交OA,OB于点C,D;
(2)作一条射线O'A',以点O'为圆心,____为半径作弧,交O'A'于点C';
(3)以点C'为圆心,____为半径作弧,与上一步作的弧相交于点D';
(4)过点D'作射线O'B',则∠A'O'B' = ∠AOB。
如图,已知∠AOB,求作∠A'O'B',使∠A'O'B' = ∠AOB。
作法:如图,(1)以点O为圆心,____为半径作弧,分别交OA,OB于点C,D;
(2)作一条射线O'A',以点O'为圆心,____为半径作弧,交O'A'于点C';
(3)以点C'为圆心,____为半径作弧,与上一步作的弧相交于点D';
(4)过点D'作射线O'B',则∠A'O'B' = ∠AOB。
答案:
任意长 OC CD
1. 用直尺和圆规作一个角等于已知角的示意图如下,要说明∠D'O'C' = ∠DOC,需要证明△D'O'C' ≌ △DOC,则这两个三角形全等的依据是( )

A.SAS
B.SSS
C.ASA
D.AAS
A.SAS
B.SSS
C.ASA
D.AAS
答案:
B
2. 如图,已知P是△ABC内部一点,用直尺和圆规作直线PQ,使直线PQ // BC。

答案:
作法如图.
(1)过点P作射线CM,在点P处作∠BCM的同位角∠QPM,使∠QPM=∠BCM.
(2)反向延长PQ,得直线PQ,则直线PQ//BC.
作法如图.
(1)过点P作射线CM,在点P处作∠BCM的同位角∠QPM,使∠QPM=∠BCM.
(2)反向延长PQ,得直线PQ,则直线PQ//BC.
3. 如图,在△ABC中,D是AC边上的一点,利用直尺和圆规过点D作BC的平行线。

答案:
作法如图.
(1)在点D处作∠ACB的同位角∠ADE,使∠ADE=∠ACB.
(2)射线DE交AB于点E,反向延长DE,得直线DE,则直线DE//BC.
作法如图.
(1)在点D处作∠ACB的同位角∠ADE,使∠ADE=∠ACB.
(2)射线DE交AB于点E,反向延长DE,得直线DE,则直线DE//BC.
4. 如图,已知线段a和∠α,用直尺和圆规作△ABC,使BC = a,∠B = ∠α,∠C = 2∠α。

答案:
作法如图.
(1)作∠MBN=∠α;
(2)在射线BM上作BC=a;
(3)依次作∠BCD=∠α,∠DCA=∠α,CA交BN 于点A,则△ABC就是所求作的三角形.
作法如图.
(1)作∠MBN=∠α;
(2)在射线BM上作BC=a;
(3)依次作∠BCD=∠α,∠DCA=∠α,CA交BN 于点A,则△ABC就是所求作的三角形.
查看更多完整答案,请扫码查看