第53页
- 第1页
- 第2页
- 第3页
- 第4页
- 第5页
- 第6页
- 第7页
- 第8页
- 第9页
- 第10页
- 第11页
- 第12页
- 第13页
- 第14页
- 第15页
- 第16页
- 第17页
- 第18页
- 第19页
- 第20页
- 第21页
- 第22页
- 第23页
- 第24页
- 第25页
- 第26页
- 第27页
- 第28页
- 第29页
- 第30页
- 第31页
- 第32页
- 第33页
- 第34页
- 第35页
- 第36页
- 第37页
- 第38页
- 第39页
- 第40页
- 第41页
- 第42页
- 第43页
- 第44页
- 第45页
- 第46页
- 第47页
- 第48页
- 第49页
- 第50页
- 第51页
- 第52页
- 第53页
- 第54页
- 第55页
- 第56页
- 第57页
- 第58页
- 第59页
- 第60页
- 第61页
- 第62页
- 第63页
- 第64页
- 第65页
- 第66页
- 第67页
- 第68页
- 第69页
- 第70页
- 第71页
- 第72页
- 第73页
- 第74页
21. 先化简,再求值:$3x^{2}y - [2xy - 2(xy - \frac{3}{2}x^{2}y)]+x^{2}y^{2}$,其中$x = 3$,$y = -\frac{1}{3}$.
答案:
1
22. 数$a$,$b$,$c$在数轴上对应点的位置如图所示,且$\vert a\vert = \vert c\vert$.化简:$\vert a + c\vert+\vert 2b\vert-\vert b - a\vert-\vert c - b\vert+\vert a + b\vert$.

答案:
$c - b$
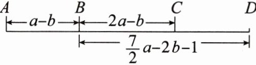
23. $A$,$B$,$C$,$D$四个车站的位置如图所示,$A$,$B两站之间的距离AB = a - b$,$B$,$C两站之间的距离BC = 2a - b$,$B$,$D两站之间的距离BD = \frac{7}{2}a - 2b - 1$.
(1)求$A$,$C两站之间的距离AC$;
(2)若$A$,$C两站之间的距离AC = 90$,求$C$,$D两站之间的距离CD$.

(1)求$A$,$C两站之间的距离AC$;
(2)若$A$,$C两站之间的距离AC = 90$,求$C$,$D两站之间的距离CD$.
答案:
(1)
$AC=AB + BC=(a - b)+(2a - b)=a - b+2a - b = 3a-2b$。
(2)
因为$AC = 3a-2b = 90$,
$CD=BD - BC=(\frac{7}{2}a-2b - 1)-(2a - b)=\frac{7}{2}a-2b - 1-2a + b=\frac{7}{2}a-2a-2b + b-1=\frac{3}{2}a - b-1$
由$3a-2b = 90$,可得$\frac{3}{2}a - b = 45$,
则$CD=45 - 1=44$。
综上,答案为:
(1)$3a - 2b$;
(2)$44$。
(1)
$AC=AB + BC=(a - b)+(2a - b)=a - b+2a - b = 3a-2b$。
(2)
因为$AC = 3a-2b = 90$,
$CD=BD - BC=(\frac{7}{2}a-2b - 1)-(2a - b)=\frac{7}{2}a-2b - 1-2a + b=\frac{7}{2}a-2a-2b + b-1=\frac{3}{2}a - b-1$
由$3a-2b = 90$,可得$\frac{3}{2}a - b = 45$,
则$CD=45 - 1=44$。
综上,答案为:
(1)$3a - 2b$;
(2)$44$。
24. 已知$A = 2a^{2}+3ab - 2a - \frac{1}{3}$,$B = -a^{2}+\frac{1}{2}ab+\frac{2}{3}$.
(1)当$a = -1$,$b = \frac{1}{2}$时,求$4A-(3A - 2B)$的值;
(2)若代数式$4A-(3A - 2B)的值与a$的取值无关,求$b$的值.
(1)当$a = -1$,$b = \frac{1}{2}$时,求$4A-(3A - 2B)$的值;
(2)若代数式$4A-(3A - 2B)的值与a$的取值无关,求$b$的值.
答案:
(1)
首先对$4A - (3A - 2B)$进行化简:
$4A-(3A - 2B)=4A - 3A+2B=A + 2B$
将$A = 2a^{2}+3ab - 2a-\frac{1}{3}$,$B=-a^{2}+\frac{1}{2}ab+\frac{2}{3}$代入$A + 2B$得:
$\begin{aligned}A + 2B&=2a^{2}+3ab - 2a-\frac{1}{3}+2(-a^{2}+\frac{1}{2}ab+\frac{2}{3})\\&=2a^{2}+3ab - 2a-\frac{1}{3}-2a^{2}+ab+\frac{4}{3}\\&=(2a^{2}-2a^{2})+(3ab + ab)-2a+(\frac{4}{3}-\frac{1}{3})\\&=4ab-2a + 1\end{aligned}$
当$a=-1$,$b = \frac{1}{2}$时,代入$4ab-2a + 1$得:
$4×(-1)×\frac{1}{2}-2×(-1)+1=-2 + 2+1=1$
(2)
由
(1)知$4A-(3A - 2B)=4ab-2a + 1=(4b - 2)a+1$
因为代数式$4A-(3A - 2B)$的值与$a$的取值无关,所以$a$的系数为$0$,即$4b-2 = 0$,
解得$b=\frac{1}{2}$。
综上,答案为
(1)1;
(2)$\frac{1}{2}$。
(1)
首先对$4A - (3A - 2B)$进行化简:
$4A-(3A - 2B)=4A - 3A+2B=A + 2B$
将$A = 2a^{2}+3ab - 2a-\frac{1}{3}$,$B=-a^{2}+\frac{1}{2}ab+\frac{2}{3}$代入$A + 2B$得:
$\begin{aligned}A + 2B&=2a^{2}+3ab - 2a-\frac{1}{3}+2(-a^{2}+\frac{1}{2}ab+\frac{2}{3})\\&=2a^{2}+3ab - 2a-\frac{1}{3}-2a^{2}+ab+\frac{4}{3}\\&=(2a^{2}-2a^{2})+(3ab + ab)-2a+(\frac{4}{3}-\frac{1}{3})\\&=4ab-2a + 1\end{aligned}$
当$a=-1$,$b = \frac{1}{2}$时,代入$4ab-2a + 1$得:
$4×(-1)×\frac{1}{2}-2×(-1)+1=-2 + 2+1=1$
(2)
由
(1)知$4A-(3A - 2B)=4ab-2a + 1=(4b - 2)a+1$
因为代数式$4A-(3A - 2B)$的值与$a$的取值无关,所以$a$的系数为$0$,即$4b-2 = 0$,
解得$b=\frac{1}{2}$。
综上,答案为
(1)1;
(2)$\frac{1}{2}$。
查看更多完整答案,请扫码查看