2. 看图列综合算式,并计算。

答案:
38+6×3=56(个)
3. 欢欢和妈妈编中国结。欢欢编了6个,妈妈编的个数是欢欢的3倍。欢欢和妈妈一共编了多少个?

答案:
6×3+6=24(个)
4. 下面的计算对吗?如果不对,请改正。
$45-20÷5$
$=25÷5$
$=5$
$24÷4×2$
$=24÷8$
$=3$
$45-20÷5$
$=25÷5$
$=5$
$24÷4×2$
$=24÷8$
$=3$
答案:
不对 41 不对 12
1. 想一想每道题先算什么,用“____”画出来,再计算。
$(46 + 18)÷8$ $80 - (39 + 26)$
$(46 + 18)÷8$ $80 - (39 + 26)$
答案:
画一画略 8 15
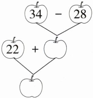
2. 先填空,再列综合算式,并计算。

综合算式:______
综合算式:______
答案:
6 28 22+(34-28)=28
3. 根据下面的算式,列出综合算式。
(1)$37 + 19 = 56$
$56÷8 = 7$
综合算式:______
(2)$54 - 29 = 25$
$46 + 25 = 71$
综合算式:______
(1)$37 + 19 = 56$
$56÷8 = 7$
综合算式:______
(2)$54 - 29 = 25$
$46 + 25 = 71$
综合算式:______
答案:
(1)(37+19)÷8=7 (2)46+(54-29)=71
(1)(37+19)÷8=7 (2)46+(54-29)=71
4. 学校买回31瓶墨水,校长办公室放1瓶,其余的平均分给6个年级组办公室。每个年级组办公室分得多少瓶?
答案:
(31-1)÷6=5(瓶)
查看更多完整答案,请扫码查看