6. 算一算,比一比。
$\begin{array}{ll}\dfrac{3}{8} ◯ 1-\dfrac{7}{8} & \dfrac{3}{7}-\dfrac{2}{7} ◯ \dfrac{4}{5}-\dfrac{3}{5} \\\dfrac{4}{6}+\dfrac{2}{6} ◯ 1 & \dfrac{1}{2} ◯ \dfrac{2}{3}-\dfrac{1}{3} \\\dfrac{4}{9}+\dfrac{3}{9} ◯ 1-\dfrac{5}{9} & \\\dfrac{4}{5}-\dfrac{2}{5} ◯ \dfrac{4}{10}+\dfrac{6}{10} &\end{array} $
$\begin{array}{ll}\dfrac{3}{8} ◯ 1-\dfrac{7}{8} & \dfrac{3}{7}-\dfrac{2}{7} ◯ \dfrac{4}{5}-\dfrac{3}{5} \\\dfrac{4}{6}+\dfrac{2}{6} ◯ 1 & \dfrac{1}{2} ◯ \dfrac{2}{3}-\dfrac{1}{3} \\\dfrac{4}{9}+\dfrac{3}{9} ◯ 1-\dfrac{5}{9} & \\\dfrac{4}{5}-\dfrac{2}{5} ◯ \dfrac{4}{10}+\dfrac{6}{10} &\end{array} $
答案:
> < = > > <
7. 计算下面各题。
$\begin{array}{ll}\dfrac{1}{6}+\dfrac{4}{6}= & \dfrac{3}{8}+\dfrac{2}{8}= \\\dfrac{2}{5}+\dfrac{3}{5}= & \dfrac{3}{7}+\dfrac{3}{7}= \\\dfrac{5}{8}-\dfrac{3}{8}= & 1-\dfrac{1}{3}= \\\dfrac{6}{9}-\dfrac{3}{9}= & 1-\dfrac{3}{5}= \end{array} $
$\begin{array}{ll}\dfrac{1}{6}+\dfrac{4}{6}= & \dfrac{3}{8}+\dfrac{2}{8}= \\\dfrac{2}{5}+\dfrac{3}{5}= & \dfrac{3}{7}+\dfrac{3}{7}= \\\dfrac{5}{8}-\dfrac{3}{8}= & 1-\dfrac{1}{3}= \\\dfrac{6}{9}-\dfrac{3}{9}= & 1-\dfrac{3}{5}= \end{array} $
答案:
$\frac{5}{6}$ $\frac{5}{8}$ 1 $\frac{6}{7}$ $\frac{2}{8}$ $\frac{2}{3}$ $\frac{3}{9}$ $\frac{2}{5}$
8. 王老师用一张彩色卡纸折千纸鹤,第一次用去这张纸的$\dfrac{3}{7}$,第二次和第一次用的同样多,这张纸还剩下几分之几?
答案:
$1-\frac{3}{7}-\frac{3}{7}=\frac{1}{7}$
9. 工人师傅修一条路,上午修了这条路的$\dfrac{4}{8}$,下午比上午少修这条路的$\dfrac{1}{8}$,这一天一共修了这条路的几分之几?
答案:
$\frac{4}{8}-\frac{1}{8}=\frac{3}{8}$ $\frac{4}{8}+\frac{3}{8}=\frac{7}{8}$
10. 笑笑喝了一瓶饮料的$\dfrac{1}{4}$,剩下的饮料比喝掉的多这瓶饮料的几分之几?
答案:
$1-\frac{1}{4}=\frac{3}{4}$ $\frac{3}{4}-\frac{1}{4}=\frac{2}{4}$
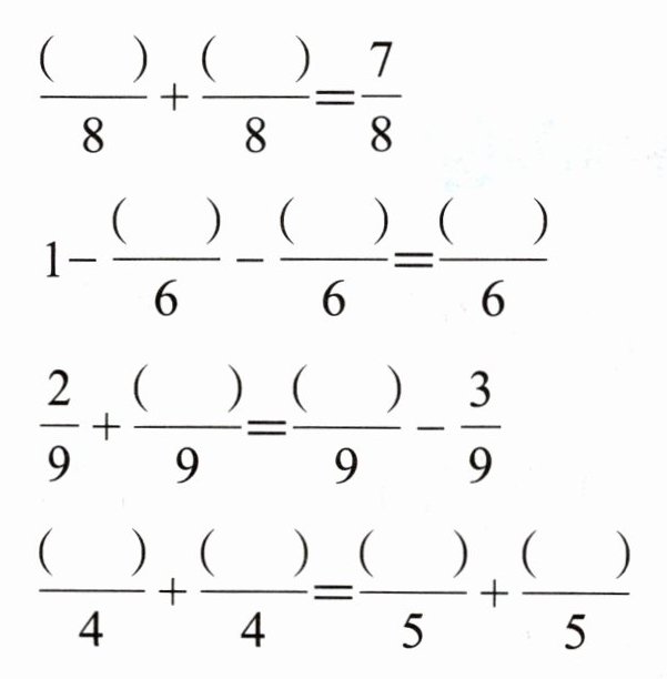
11. 想一想,填一填。
$\begin{array}{l}\dfrac{( )}{8}+\dfrac{( )}{8}= \dfrac{7}{8} \\1-\dfrac{( )}{6}-\dfrac{( )}{6}= \dfrac{( )}{6} \\\dfrac{2}{9}+\dfrac{( )}{9}= \dfrac{( )}{9}-\dfrac{3}{9} \\\dfrac{( )}{4}+\dfrac{( )}{4}= \dfrac{( )}{5}+\dfrac{( )}{5}\end{array} $

$\begin{array}{l}\dfrac{( )}{8}+\dfrac{( )}{8}= \dfrac{7}{8} \\1-\dfrac{( )}{6}-\dfrac{( )}{6}= \dfrac{( )}{6} \\\dfrac{2}{9}+\dfrac{( )}{9}= \dfrac{( )}{9}-\dfrac{3}{9} \\\dfrac{( )}{4}+\dfrac{( )}{4}= \dfrac{( )}{5}+\dfrac{( )}{5}\end{array} $
答案:
(答案不唯一)$\frac{1}{8}+\frac{6}{8}=\frac{7}{8}$
$1-\frac{1}{6}-\frac{1}{6}=\frac{4}{6}$
$\frac{2}{9}+\frac{1}{9}=\frac{6}{9}-\frac{3}{9}$
$\frac{1}{4}+\frac{3}{4}=\frac{1}{5}+\frac{4}{5}$
$1-\frac{1}{6}-\frac{1}{6}=\frac{4}{6}$
$\frac{2}{9}+\frac{1}{9}=\frac{6}{9}-\frac{3}{9}$
$\frac{1}{4}+\frac{3}{4}=\frac{1}{5}+\frac{4}{5}$
查看更多完整答案,请扫码查看