第95页
- 第1页
- 第2页
- 第3页
- 第4页
- 第5页
- 第6页
- 第7页
- 第8页
- 第9页
- 第10页
- 第11页
- 第12页
- 第13页
- 第14页
- 第15页
- 第16页
- 第17页
- 第18页
- 第19页
- 第20页
- 第21页
- 第22页
- 第23页
- 第24页
- 第25页
- 第26页
- 第27页
- 第28页
- 第29页
- 第30页
- 第31页
- 第32页
- 第33页
- 第34页
- 第35页
- 第36页
- 第37页
- 第38页
- 第39页
- 第40页
- 第41页
- 第42页
- 第43页
- 第44页
- 第45页
- 第46页
- 第47页
- 第48页
- 第49页
- 第50页
- 第51页
- 第52页
- 第53页
- 第54页
- 第55页
- 第56页
- 第57页
- 第58页
- 第59页
- 第60页
- 第61页
- 第62页
- 第63页
- 第64页
- 第65页
- 第66页
- 第67页
- 第68页
- 第69页
- 第70页
- 第71页
- 第72页
- 第73页
- 第74页
- 第75页
- 第76页
- 第77页
- 第78页
- 第79页
- 第80页
- 第81页
- 第82页
- 第83页
- 第84页
- 第85页
- 第86页
- 第87页
- 第88页
- 第89页
- 第90页
- 第91页
- 第92页
- 第93页
- 第94页
- 第95页
- 第96页
- 第97页
- 第98页
- 第99页
- 第100页
二、八王之乱与西晋灭亡
西晋初年,晋武帝大封,后来,又陆续派遣诸王据守州郡重镇。诸王手握重兵,掌管民事,势力日益强大。晋惠帝在位时,八个宗室亲王为了争夺中央政权,先后起兵,相互混战,史称“”。中原人口大量死亡,幸存者中逃往南方的人口数以十万计,出现我国古代历史上第一次大规模的。这场战乱历时十几年,严重削弱了西晋的国力,成为西晋由盛而衰的转折点。同时,西晋朝廷的腐朽统治激起了内迁各族的强烈反抗,一些首领乘机起兵。腐朽的西晋王朝在和的双重打击下灭亡。
西晋初年,晋武帝大封,后来,又陆续派遣诸王据守州郡重镇。诸王手握重兵,掌管民事,势力日益强大。晋惠帝在位时,八个宗室亲王为了争夺中央政权,先后起兵,相互混战,史称“”。中原人口大量死亡,幸存者中逃往南方的人口数以十万计,出现我国古代历史上第一次大规模的。这场战乱历时十几年,严重削弱了西晋的国力,成为西晋由盛而衰的转折点。同时,西晋朝廷的腐朽统治激起了内迁各族的强烈反抗,一些首领乘机起兵。腐朽的西晋王朝在和的双重打击下灭亡。
答案:
同姓诸王;八王之乱;人口迁徙高潮;八王之乱;内迁各族的起兵反抗
三、北方各族的内迁
东汉、魏、晋时期,我国北方各族不断内迁。西晋时,关中人口有100多万,其中________占据一半。
东汉、魏、晋时期,我国北方各族不断内迁。西晋时,关中人口有100多万,其中________占据一半。
答案:
羌族和氐族
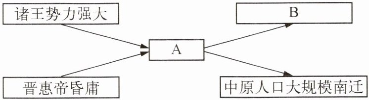
1. 绘制思维导图有助于学习历史知识。请结合所学知识,完成下面的思维导图。

A: B:
A: B:
答案:
A:八王之乱
B:西晋衰落(或内迁各族趁机起兵,引发内迁民族与西晋冲突等合理答案)
B:西晋衰落(或内迁各族趁机起兵,引发内迁民族与西晋冲突等合理答案)
2. 阅读下列材料,了解东汉、魏、晋时期北方各族的内迁。

图1 “晋鲜卑归义侯”印,由纯金制成,是西晋朝廷给鲜卑首领封爵的印信。西晋王朝国力不足,对众多游牧民族采用分封的怀柔政策。
图2 该画以播种为主题,一农妇在前播种,一农夫随后碎土。播种者左手抱盆,右手抬起,有节奏地撒种;身后的男子娴熟地翻土、碎土。劳动的场景有条不紊。
(1) 据图1、图2及其注释,分别说说这两则实物史料反映的社会情况。
(2) 据材料并结合所学知识,总结北方各族内迁的影响。
图1 “晋鲜卑归义侯”印,由纯金制成,是西晋朝廷给鲜卑首领封爵的印信。西晋王朝国力不足,对众多游牧民族采用分封的怀柔政策。
图2 该画以播种为主题,一农妇在前播种,一农夫随后碎土。播种者左手抱盆,右手抬起,有节奏地撒种;身后的男子娴熟地翻土、碎土。劳动的场景有条不紊。
(1) 据图1、图2及其注释,分别说说这两则实物史料反映的社会情况。
(2) 据材料并结合所学知识,总结北方各族内迁的影响。
答案:
(1)图1:西晋对北方少数民族(鲜卑)采取封爵的怀柔政策,少数民族首领接受西晋封号,体现民族间的政治联系。
图2:北方内迁各族学习汉族农业生产方式,从事农耕劳动,体现民族间的经济文化交流。
(2)影响:促进了北方民族交融;推动少数民族学习汉族先进生产技术和文化;促进了北方地区的经济开发。
图2:北方内迁各族学习汉族农业生产方式,从事农耕劳动,体现民族间的经济文化交流。
(2)影响:促进了北方民族交融;推动少数民族学习汉族先进生产技术和文化;促进了北方地区的经济开发。
查看更多完整答案,请扫码查看