2025年同步练习册人民教育出版社九年级化学上册人教版江苏专版
注:目前有些书本章节名称可能整理的还不是很完善,但都是按照顺序排列的,请同学们按照顺序仔细查找。练习册 2025年同步练习册人民教育出版社九年级化学上册人教版江苏专版 答案主要是用来给同学们做完题方便对答案用的,请勿直接抄袭。
第24页
- 第1页
- 第2页
- 第3页
- 第4页
- 第5页
- 第6页
- 第7页
- 第8页
- 第9页
- 第10页
- 第11页
- 第12页
- 第13页
- 第14页
- 第15页
- 第16页
- 第17页
- 第18页
- 第19页
- 第20页
- 第21页
- 第22页
- 第23页
- 第24页
- 第25页
- 第26页
- 第27页
- 第28页
- 第29页
- 第30页
- 第31页
- 第32页
- 第33页
- 第34页
- 第35页
- 第36页
- 第37页
- 第38页
- 第39页
- 第40页
- 第41页
- 第42页
- 第43页
- 第44页
- 第45页
- 第46页
- 第47页
- 第48页
- 第49页
- 第50页
- 第51页
- 第52页
- 第53页
- 第54页
- 第55页
- 第56页
- 第57页
- 第58页
- 第59页
- 第60页
- 第61页
- 第62页
- 第63页
- 第64页
- 第65页
- 第66页
- 第67页
- 第68页
一、原子的构成
1. 原子是由居其中心的与构成的。
2. 原子核一般由和构成。
3. 原子中各粒子的电性。

4. 原子不显电性的原因:原子核内质子所带正电荷与核外电子所带负电荷、电性。
1. 原子是由居其中心的与构成的。
2. 原子核一般由和构成。
3. 原子中各粒子的电性。
4. 原子不显电性的原因:原子核内质子所带正电荷与核外电子所带负电荷、电性。
答案:
1.原子核 核外电子 2.质子 中子 4.数量相等 相反
二、原子模型的演变
1. 道尔顿原子模型。
1808年,道尔顿提出原子论,认为原子的模型是
2. 汤姆孙原子模型。
19世纪末,英国物理学家汤姆孙发现了
3. 卢瑟福原子模型。
1909年,英国物理学家卢瑟福进行了α粒子散射实验。1911年,卢瑟福提出了原子的“核式结构模型”:原子中带正电荷部分的体积很小,但几乎占有全部质量,电子在原子核外运动。
1. 道尔顿原子模型。
1808年,道尔顿提出原子论,认为原子的模型是
实心
(填“实心”或“空心”)球体。2. 汤姆孙原子模型。
19世纪末,英国物理学家汤姆孙发现了
电子
,认为原子的模型是正电荷均匀分布在整个原子内,带负电荷的电子镶嵌其中。3. 卢瑟福原子模型。
1909年,英国物理学家卢瑟福进行了α粒子散射实验。1911年,卢瑟福提出了原子的“核式结构模型”:原子中带正电荷部分的体积很小,但几乎占有全部质量,电子在原子核外运动。
答案:
1.实心 2.电子
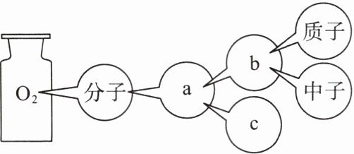
1. 知识梳理有助于我们对已学知识的巩固,如图是某同学学习物质结构层次后以氧气为例进行的梳理,下列选项中与a、b、c对应的是(

A.原子、原子核、核外电子
B.原子核、原子、核外电子
C.原子、核外电子、原子核
D.核外电子、原子核、原子
A
)。A.原子、原子核、核外电子
B.原子核、原子、核外电子
C.原子、核外电子、原子核
D.核外电子、原子核、原子
答案:
A
查看更多完整答案,请扫码查看