第52页
- 第1页
- 第2页
- 第3页
- 第4页
- 第5页
- 第6页
- 第7页
- 第8页
- 第9页
- 第10页
- 第11页
- 第12页
- 第13页
- 第14页
- 第15页
- 第16页
- 第17页
- 第18页
- 第19页
- 第20页
- 第21页
- 第22页
- 第23页
- 第24页
- 第25页
- 第26页
- 第27页
- 第28页
- 第29页
- 第30页
- 第31页
- 第32页
- 第33页
- 第34页
- 第35页
- 第36页
- 第37页
- 第38页
- 第39页
- 第40页
- 第41页
- 第42页
- 第43页
- 第44页
- 第45页
- 第46页
- 第47页
- 第48页
- 第49页
- 第50页
- 第51页
- 第52页
- 第53页
- 第54页
- 第55页
- 第56页
- 第57页
- 第58页
- 第59页
- 第60页
- 第61页
- 第62页
- 第63页
- 第64页
- 第65页
- 第66页
- 第67页
- 第68页
- 第69页
- 第70页
- 第71页
- 第72页
- 第73页
- 第74页
- 第75页
- 第76页
- 第77页
- 第78页
- 第79页
- 第80页
- 第81页
- 第82页
- 第83页
- 第84页
- 第85页
- 第86页
- 第87页
- 第88页
- 第89页
- 第90页
- 第91页
- 第92页
- 第93页
- 第94页
- 第95页
- 第96页
- 第97页
- 第98页
- 第99页
- 第100页
4. 关于只含有$x$的二次三项式,二次项的系数是$-\frac{2}{5}$,一次项的系数和常数项都是$-1$,则这个二次三项式是
$-\frac{2}{5}x^{2}-x-1$
.
答案:
$-\frac{2}{5}x^{2}-x-1$
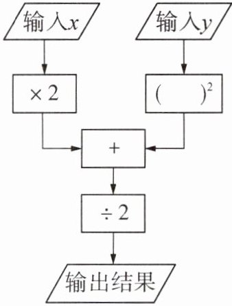
5. 如图,是一个数值转换机的示意图,当输入的$x$值为 7,$y的值为-2$时,输出的结果为

9
.
答案:
9
6. 我国古代的钱币如下图,其中正方形的边长为$x$,圆的半径为$r$.

(1)用整式表示钱币阴影部分的面积;
(2)当$x = 2$,$r = 6$时,请计算阴影部分的面积($\pi$取 3.14).
(1)用整式表示钱币阴影部分的面积;
(2)当$x = 2$,$r = 6$时,请计算阴影部分的面积($\pi$取 3.14).
答案:
解:
(1)$S_{阴影}=πr^{2}-x^{2}$
(2)当$x=2,r=6$时$S_{阴影}=πr^{2}-x^{2}=3.14×36-4=109.04$
(1)$S_{阴影}=πr^{2}-x^{2}$
(2)当$x=2,r=6$时$S_{阴影}=πr^{2}-x^{2}=3.14×36-4=109.04$
7. 如图是一个长为$a$,宽为$b$的长方形,两个阴影图都是底边长为 1,且底边在长方形边上的平行四边形.

(1)用含字母$a$,$b$的式子表示长方形中空白部分的面积;
(2)当$a = 3$,$b = 2$时,求长方形中空白部分的面积.
(1)用含字母$a$,$b$的式子表示长方形中空白部分的面积;
(2)当$a = 3$,$b = 2$时,求长方形中空白部分的面积.
答案:
(1)首先,长方形的面积$S = ab$。
然后,计算两个平行四边形的面积:
一个平行四边形的底为$1$,高为$b$,其面积$S_1 = 1× b=b$;另一个平行四边形的底为$1$,高为$a$,其面积$S_2 = 1× a=a$。
但是两个平行四边形重叠部分是一个底为$1$,高为$1$的平行四边形,其面积$S_0 = 1×1 = 1$(这部分面积被重复计算了一次)。
最后,空白部分面积$S_{空白}=ab-a + b+1$。
(2)
当$a = 3$,$b = 2$时:
把$a = 3$,$b = 2$代入$S_{空白}=ab-(a + b)+1$中。
根据代入求值公式$S_{空白}=3×2-(3 + 2)+1$。
先算乘法:$3×2=6$;再算括号里的:$3 + 2 = 5$。
则$S_{空白}=6-5 + 1$。
按照从左到右的顺序计算:$6-5+1=(6 - 5)+1=1 + 1=2$。
综上,(1)空白部分面积为$ab-a + b+1$;(2)空白部分面积为$2$。
然后,计算两个平行四边形的面积:
一个平行四边形的底为$1$,高为$b$,其面积$S_1 = 1× b=b$;另一个平行四边形的底为$1$,高为$a$,其面积$S_2 = 1× a=a$。
但是两个平行四边形重叠部分是一个底为$1$,高为$1$的平行四边形,其面积$S_0 = 1×1 = 1$(这部分面积被重复计算了一次)。
最后,空白部分面积$S_{空白}=ab-a + b+1$。
(2)
当$a = 3$,$b = 2$时:
把$a = 3$,$b = 2$代入$S_{空白}=ab-(a + b)+1$中。
根据代入求值公式$S_{空白}=3×2-(3 + 2)+1$。
先算乘法:$3×2=6$;再算括号里的:$3 + 2 = 5$。
则$S_{空白}=6-5 + 1$。
按照从左到右的顺序计算:$6-5+1=(6 - 5)+1=1 + 1=2$。
综上,(1)空白部分面积为$ab-a + b+1$;(2)空白部分面积为$2$。
先阅读下列材料,然后解答问题.
材料一:将多项式按某个字母(如$x$)的指数从大到小(或从小到大)依次排列,叫作这个多项式按这个字母(如$x$)的降幂(或升幂)排列. 如:把多项式$3x^{2}y - 4xy^{2} + x^{3} - 5y^{3}按字x的降幂排列为x^{3} + 3x^{2}y - 4xy^{2} - 5y^{3}$.
材料二:多项式$-\frac{1}{2}x^{3} + x + 8中含有x^{3}$项,$x$项,常数项,按$x的降幂排列缺x^{2}$项,我们可以补入$0 \cdot x^{2}作为x$的二次项,使原式成为式$-\frac{1}{2}x^{3} + 0 \cdot x^{2} + x + 8$的形式,这样的做法叫作补入多项式的缺项.
解答下列问题:
(1)把多项式$3x^{2}y - 4xy^{2} + x^{3} - 5y^{3}按字母y$的升幂排列;
(2)请补入多项式$-x + x^{4} + 1$的缺项,并按$x$的降幂排列.
材料一:将多项式按某个字母(如$x$)的指数从大到小(或从小到大)依次排列,叫作这个多项式按这个字母(如$x$)的降幂(或升幂)排列. 如:把多项式$3x^{2}y - 4xy^{2} + x^{3} - 5y^{3}按字x的降幂排列为x^{3} + 3x^{2}y - 4xy^{2} - 5y^{3}$.
材料二:多项式$-\frac{1}{2}x^{3} + x + 8中含有x^{3}$项,$x$项,常数项,按$x的降幂排列缺x^{2}$项,我们可以补入$0 \cdot x^{2}作为x$的二次项,使原式成为式$-\frac{1}{2}x^{3} + 0 \cdot x^{2} + x + 8$的形式,这样的做法叫作补入多项式的缺项.
解答下列问题:
(1)把多项式$3x^{2}y - 4xy^{2} + x^{3} - 5y^{3}按字母y$的升幂排列;
(2)请补入多项式$-x + x^{4} + 1$的缺项,并按$x$的降幂排列.
答案:
解:
(1)$x^{3}+3x^{2}y-4xy^{2}-5y^{3}$
(2)$x^{4}+0\cdot x^{3}+0\cdot x^{2}-x+1$
(1)$x^{3}+3x^{2}y-4xy^{2}-5y^{3}$
(2)$x^{4}+0\cdot x^{3}+0\cdot x^{2}-x+1$
查看更多完整答案,请扫码查看