第59页
- 第1页
- 第2页
- 第3页
- 第4页
- 第5页
- 第6页
- 第7页
- 第8页
- 第9页
- 第10页
- 第11页
- 第12页
- 第13页
- 第14页
- 第15页
- 第16页
- 第17页
- 第18页
- 第19页
- 第20页
- 第21页
- 第22页
- 第23页
- 第24页
- 第25页
- 第26页
- 第27页
- 第28页
- 第29页
- 第30页
- 第31页
- 第32页
- 第33页
- 第34页
- 第35页
- 第36页
- 第37页
- 第38页
- 第39页
- 第40页
- 第41页
- 第42页
- 第43页
- 第44页
- 第45页
- 第46页
- 第47页
- 第48页
- 第49页
- 第50页
- 第51页
- 第52页
- 第53页
- 第54页
- 第55页
- 第56页
- 第57页
- 第58页
- 第59页
- 第60页
- 第61页
- 第62页
- 第63页
- 第64页
- 第65页
- 第66页
- 第67页
- 第68页
- 第69页
- 第70页
- 第71页
- 第72页
1. 点 $ O $ 到直线 $ AB $ 的距离为 $ 4 cm $,以 $ 3\sqrt{2} cm $ 为半径的 $ \odot O $ 与直线 $ AB $ 的位置关系是(
A.相交
B.相切
C.相离
D.不能确定
A
)A.相交
B.相切
C.相离
D.不能确定
答案:
A
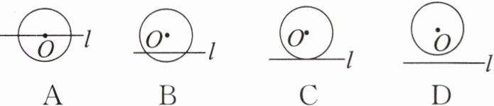
2. 已知 $ \odot O $ 的半径为 $ 5 $,圆心 $ O $ 到直线 $ l $ 的距离为 $ 3 $,则反映直线 $ l $ 与 $ \odot O $ 的位置关系的图形是(

A
)
答案:
A
3. 如图 24.2.2 - 2,在平面直角坐标系中,$ \odot O $ 的半径为 $ 1 $,则直线 $ y = x - \sqrt{2} $ 与 $ \odot O $ 的位置关系是(

A.相离
B.相切
C.相交
D.以上三种情况都有可能
B
)A.相离
B.相切
C.相交
D.以上三种情况都有可能
答案:
B
4. 如图 24.2.2 - 3,在直角梯形 $ ABCD $ 中,$ AD // BC $,$ \angle C = 90° $,且 $ AB > AD + BC $,$ AB $ 是 $ \odot O $ 的直径,则直线 $ CD $ 与 $ \odot O $ 的位置关系为(

A.相离
B.相切
C.相交
D.无法确定
C
)A.相离
B.相切
C.相交
D.无法确定
答案:
C
5. 如图 24.2.2 - 4,在 $ Rt \triangle ABC $ 中,$ \angle C = 90° $,$ \angle A = 60° $,$ BC = 4 cm $,以点 $ C $ 为圆心,以 $ 3 cm $ 长为半径作圆,则 $ \odot C $ 与直线 $ AB $ 的位置关系是

相交
。
答案:
相交
6. 如图 24.2.2 - 5,$ \odot A $ 的圆心坐标为 $ (0, 4) $,若 $ \odot A $ 的半径为 $ 3 $,则直线 $ y = x $ 与 $ \odot A $ 的位置关系是
相交
。
答案:
相交(题目要求直接填写关系,一般相交,相切,相离为该题三种答案,本题填“相交”)
7. 如图 24.2.2 - 6,在 $ Rt \triangle ABC $ 中,$ AB = 10 cm $,$ BC = 6 cm $,$ AC = 8 cm $,则当 $ r $ 的取值为下列 $ 3 $ 种情况时,以点 $ C $ 为圆心,$ r $ 为半径的 $ \odot C $ 与直线 $ AB $ 有怎样的位置关系?
(1) $ r = 4 cm $;

(2) $ r = 4.8 cm $;
(3) $ r = 6 cm $。
(1) $ r = 4 cm $;
(2) $ r = 4.8 cm $;
(3) $ r = 6 cm $。
答案:
过点$C$作$CD \perp AB$于点$D$。
在$Rt\triangle ABC$中,$S_{\triangle ABC}=\frac{1}{2}AC\cdot BC=\frac{1}{2}AB\cdot CD$,即$\frac{1}{2}×8×6=\frac{1}{2}×10× CD$,解得$CD = 4.8\space cm$。
(1) 当$r = 4\space cm$时,$r\lt CD$,$\odot C$与直线$AB$相离。
(2) 当$r = 4.8\space cm$时,$r = CD$,$\odot C$与直线$AB$相切。
(3) 当$r = 6\space cm$时,$r\gt CD$,$\odot C$与直线$AB$相交。
在$Rt\triangle ABC$中,$S_{\triangle ABC}=\frac{1}{2}AC\cdot BC=\frac{1}{2}AB\cdot CD$,即$\frac{1}{2}×8×6=\frac{1}{2}×10× CD$,解得$CD = 4.8\space cm$。
(1) 当$r = 4\space cm$时,$r\lt CD$,$\odot C$与直线$AB$相离。
(2) 当$r = 4.8\space cm$时,$r = CD$,$\odot C$与直线$AB$相切。
(3) 当$r = 6\space cm$时,$r\gt CD$,$\odot C$与直线$AB$相交。
查看更多完整答案,请扫码查看