第93页
- 第1页
- 第2页
- 第3页
- 第4页
- 第5页
- 第6页
- 第7页
- 第8页
- 第9页
- 第10页
- 第11页
- 第12页
- 第13页
- 第14页
- 第15页
- 第16页
- 第17页
- 第18页
- 第19页
- 第20页
- 第21页
- 第22页
- 第23页
- 第24页
- 第25页
- 第26页
- 第27页
- 第28页
- 第29页
- 第30页
- 第31页
- 第32页
- 第33页
- 第34页
- 第35页
- 第36页
- 第37页
- 第38页
- 第39页
- 第40页
- 第41页
- 第42页
- 第43页
- 第44页
- 第45页
- 第46页
- 第47页
- 第48页
- 第49页
- 第50页
- 第51页
- 第52页
- 第53页
- 第54页
- 第55页
- 第56页
- 第57页
- 第58页
- 第59页
- 第60页
- 第61页
- 第62页
- 第63页
- 第64页
- 第65页
- 第66页
- 第67页
- 第68页
- 第69页
- 第70页
- 第71页
- 第72页
- 第73页
- 第74页
- 第75页
- 第76页
- 第77页
- 第78页
- 第79页
- 第80页
- 第81页
- 第82页
- 第83页
- 第84页
- 第85页
- 第86页
- 第87页
- 第88页
- 第89页
- 第90页
- 第91页
- 第92页
- 第93页
- 第94页
- 第95页
- 第96页
- 第97页
- 第98页
- 第99页
- 第100页
- 第101页
- 第102页
- 第103页
- 第104页
- 第105页
- 第106页
1. 已知变量 $ y $ 与 $ x $ 的关系满足下表,那么能反映 $ y $ 与 $ x $ 之间的函数关系的解析式是(

A.$ y = -2x $
B.$ y = x + 4 $
C.$ y = -x + 2 $
D.$ y = 2x - 2 $
C
)。A.$ y = -2x $
B.$ y = x + 4 $
C.$ y = -x + 2 $
D.$ y = 2x - 2 $
答案:
C
2. 已知一次函数 $ y = kx + b $ 的图像经过点 $ (-2, -6) $,$ (0, 4) $,则当 $ y = 0 $ 时,$ x $ 的值为(
A.$ -\frac{2}{5} $
B.$ -\frac{4}{5} $
C.$ \frac{4}{5} $
D.$ \frac{2}{5} $
B
)。A.$ -\frac{2}{5} $
B.$ -\frac{4}{5} $
C.$ \frac{4}{5} $
D.$ \frac{2}{5} $
答案:
B
3. 已知一次函数的图象与直线 $ y = x + 1 $ 平行,且过点 $ (8, 2) $,那么此一次函数的解析式为(
A.$ y = 2x - 14 $
B.$ y = x - 6 $
C.$ y = -x + 10 $
D.$ y = 4x $
B
)。A.$ y = 2x - 14 $
B.$ y = x - 6 $
C.$ y = -x + 10 $
D.$ y = 4x $
答案:
B
4. 已知三点 $ (1, 2) $,$ (-1, -4) $,$ (2, m) $ 在同一条直线上,则 $ m $ 的值为
5
。
答案:
5
5. 写出一个过点 $ (0, -2) $,且函数值 $ y $ 随自变量 $ x $ 的增大而减小的一次函数关系式:
y=-x-2
。(填上一个答案即可)
答案:
y=-x-2
6. 已知一次函数图象交 $ x $ 轴于点 $ (-2, 0) $,与 $ y $ 轴的交点到原点的距离为 $ 5 $,则该一次函数解析式为
y=$\frac{5}{2}x+5$或y=-$\frac{5}{2}x-5$
。
答案:
y=$\frac{5}{2}x+5$或y=-$\frac{5}{2}x-5$
7. 已知一次函数图象经过点 $ A(-1, 2) $ 和点 $ B(2, 6) $。
(1)求此一次函数的解析式;
(2)若一次函数的图象与 $ x $ 轴相交于点 $ C $,与 $ y $ 轴相交于点 $ D $,求点 $ C $,$ D $ 的坐标。
(1)求此一次函数的解析式;
(2)若一次函数的图象与 $ x $ 轴相交于点 $ C $,与 $ y $ 轴相交于点 $ D $,求点 $ C $,$ D $ 的坐标。
答案:
$(1)$求一次函数解析式
解:设一次函数解析式为$y = kx + b$($k\neq0$)。
因为函数图象经过点$A(-1,2)$和点$B(2,6)$,将点代入解析式可得方程组:
$\begin{cases}-k + b = 2 \\2k + b = 6 \end{cases}$
用$2k + b = 6$减去$-k + b = 2$消去$b$:
$(2k + b)-(-k + b)=6 - 2$
$2k + b + k - b = 4$
$3k = 4$,解得$k=\frac{4}{3}$。
把$k=\frac{4}{3}$代入$-k + b = 2$得:$-\frac{4}{3}+b = 2$,$b = 2+\frac{4}{3}=\frac{10}{3}$。
所以一次函数解析式为$y=\frac{4}{3}x+\frac{10}{3}$。
$(2)$求点$C$,$D$的坐标
- 求点$C$的坐标:
因为点$C$是一次函数图象与$x$轴的交点,令$y = 0$,即$\frac{4}{3}x+\frac{10}{3}=0$。
方程两边同时乘以$3$得:$4x + 10 = 0$,$4x=-10$,解得$x = -\frac{5}{2}$。
所以点$C$的坐标为$(-\frac{5}{2},0)$。
- 求点$D$的坐标:
因为点$D$是一次函数图象与$y$轴的交点,令$x = 0$,则$y=\frac{4}{3}×0+\frac{10}{3}=\frac{10}{3}$。
所以点$D$的坐标为$(0,\frac{10}{3})$。
综上,$(1)$一次函数解析式为$\boldsymbol{y=\frac{4}{3}x+\frac{10}{3}}$;$(2)$点$C$坐标为$\boldsymbol{(-\frac{5}{2},0)}$,点$D$坐标为$\boldsymbol{(0,\frac{10}{3})}$。
解:设一次函数解析式为$y = kx + b$($k\neq0$)。
因为函数图象经过点$A(-1,2)$和点$B(2,6)$,将点代入解析式可得方程组:
$\begin{cases}-k + b = 2 \\2k + b = 6 \end{cases}$
用$2k + b = 6$减去$-k + b = 2$消去$b$:
$(2k + b)-(-k + b)=6 - 2$
$2k + b + k - b = 4$
$3k = 4$,解得$k=\frac{4}{3}$。
把$k=\frac{4}{3}$代入$-k + b = 2$得:$-\frac{4}{3}+b = 2$,$b = 2+\frac{4}{3}=\frac{10}{3}$。
所以一次函数解析式为$y=\frac{4}{3}x+\frac{10}{3}$。
$(2)$求点$C$,$D$的坐标
- 求点$C$的坐标:
因为点$C$是一次函数图象与$x$轴的交点,令$y = 0$,即$\frac{4}{3}x+\frac{10}{3}=0$。
方程两边同时乘以$3$得:$4x + 10 = 0$,$4x=-10$,解得$x = -\frac{5}{2}$。
所以点$C$的坐标为$(-\frac{5}{2},0)$。
- 求点$D$的坐标:
因为点$D$是一次函数图象与$y$轴的交点,令$x = 0$,则$y=\frac{4}{3}×0+\frac{10}{3}=\frac{10}{3}$。
所以点$D$的坐标为$(0,\frac{10}{3})$。
综上,$(1)$一次函数解析式为$\boldsymbol{y=\frac{4}{3}x+\frac{10}{3}}$;$(2)$点$C$坐标为$\boldsymbol{(-\frac{5}{2},0)}$,点$D$坐标为$\boldsymbol{(0,\frac{10}{3})}$。
1. 已知 $ y $ 是 $ x $ 的一次函数,下列表中列出了部分对应值,则 $ m $ 的值为(

A.$ \frac{2}{5} $
B.$ -\frac{1}{5} $
C.$ -\frac{2}{5} $
D.不能确定
A
)。A.$ \frac{2}{5} $
B.$ -\frac{1}{5} $
C.$ -\frac{2}{5} $
D.不能确定
答案:
A
2. 有一段导线,在 $ 0^{\circ}C $ 时电阻为 $ 2\Omega $,温度每增加 $ 1^{\circ}C $,电阻增加 $ 0.008\Omega $,那么电阻 $ R(\Omega) $ 表示为温度 $ t(^{\circ}C) $ 的函数关系式为(
A.$ R = 2 + 0.008t $
B.$ R = 2 - 0.008t $
C.$ t = 2 + 0.008R $
D.$ t = 2 - 0.008R $
A
)。A.$ R = 2 + 0.008t $
B.$ R = 2 - 0.008t $
C.$ t = 2 + 0.008R $
D.$ t = 2 - 0.008R $
答案:
A
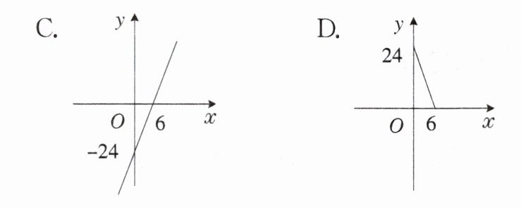
3. 拖拉机开始工作时,油箱中有油 $ 24L $,若每小时耗油 $ 4L $,则油箱中的剩油量 $ y(L) $ 与工作时间 $ x(小时) $ 之间的函数关系对应的图象是(


D
)。
答案:
D
查看更多完整答案,请扫码查看