第70页
- 第1页
- 第2页
- 第3页
- 第4页
- 第5页
- 第6页
- 第7页
- 第8页
- 第9页
- 第10页
- 第11页
- 第12页
- 第13页
- 第14页
- 第15页
- 第16页
- 第17页
- 第18页
- 第19页
- 第20页
- 第21页
- 第22页
- 第23页
- 第24页
- 第25页
- 第26页
- 第27页
- 第28页
- 第29页
- 第30页
- 第31页
- 第32页
- 第33页
- 第34页
- 第35页
- 第36页
- 第37页
- 第38页
- 第39页
- 第40页
- 第41页
- 第42页
- 第43页
- 第44页
- 第45页
- 第46页
- 第47页
- 第48页
- 第49页
- 第50页
- 第51页
- 第52页
- 第53页
- 第54页
- 第55页
- 第56页
- 第57页
- 第58页
- 第59页
- 第60页
- 第61页
- 第62页
- 第63页
- 第64页
- 第65页
- 第66页
- 第67页
- 第68页
- 第69页
- 第70页
- 第71页
- 第72页
- 第73页
- 第74页
- 第75页
- 第76页
- 第77页
- 第78页
- 第79页
- 第80页
10. 开考铃声响起,你马上奋笔疾书。与此不属于同一反射类型的是(
A.画饼充饥
B.缩手反射
C.望梅止渴
D.谈虎色变
B
)A.画饼充饥
B.缩手反射
C.望梅止渴
D.谈虎色变
答案:
B
11. 如图为“测定反应速度”实验的示意图,下列关于被试者的反射活动的叙述,正确的是(

A.感受器是手指的皮肤
B.神经中枢位于脊髓
C.效应器是手部的骨骼
D.夹住的刻度值大小可反映反应速度
D
)A.感受器是手指的皮肤
B.神经中枢位于脊髓
C.效应器是手部的骨骼
D.夹住的刻度值大小可反映反应速度
答案:
D
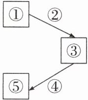
12. 如图为反射弧的结构模式图,下列有关反射和反射弧的叙述错误的是(

A.反射是神经调节的基本方式
B.①是感受器,⑤是效应器
C.③是神经中枢,包括大脑和脊髓
D.反射弧必须保持完整性,才能够完成反射
C
)A.反射是神经调节的基本方式
B.①是感受器,⑤是效应器
C.③是神经中枢,包括大脑和脊髓
D.反射弧必须保持完整性,才能够完成反射
答案:
C
13. 骨的位置发生变化而产生运动,但骨本身是不能运动的,骨的运动要依靠(
A.关节的变化
B.关节的牵拉
C.骨骼肌的牵拉
D.躯体位置的变化
C
)A.关节的变化
B.关节的牵拉
C.骨骼肌的牵拉
D.躯体位置的变化
答案:
C
14. 下列关于跑步的叙述正确的是(
A.由一组肌肉参与完成
B.肌肉牵引骨完成运动
C.关节在运动中起动力作用
D.靠运动系统就能完成
B
)A.由一组肌肉参与完成
B.肌肉牵引骨完成运动
C.关节在运动中起动力作用
D.靠运动系统就能完成
答案:
B
15. 为探究哺乳动物的运动原理,生物老师带领大家做了一个肌肉牵动骨运动的模型,如图所示。下面说法正确的是(

A.运动系统的组成为①②③④
B.③和④松紧带模拟了关节囊
C.⑤在运动中起支点的作用
D.完成动作的动力来自①和②
C
)A.运动系统的组成为①②③④
B.③和④松紧带模拟了关节囊
C.⑤在运动中起支点的作用
D.完成动作的动力来自①和②
答案:
C
16. 下列有关神经调节和激素调节的叙述,错误的是(
A.在神经系统中,大脑皮层是调节人体生理活动的最高级中枢
B.非条件反射的中枢是脑干和脊髓,反射弧是暂时的,易变的
C.甲状腺激素可以促进代谢和生长发育,提高神经系统兴奋性
D.情绪激动时心跳加快是神经调节和激素调节共同作用的结果
B
)A.在神经系统中,大脑皮层是调节人体生理活动的最高级中枢
B.非条件反射的中枢是脑干和脊髓,反射弧是暂时的,易变的
C.甲状腺激素可以促进代谢和生长发育,提高神经系统兴奋性
D.情绪激动时心跳加快是神经调节和激素调节共同作用的结果
答案:
B
17. 通常都说“睡眠充足的孩子长得高”,这是经过验证的科学事实。若青少年长期睡眠不足,会导致发育迟缓,身材矮小。请分析,睡眠能促进生长,下列激素与之有关的是(
A.生长激素
B.胰岛素
C.性激素
D.肾上腺素
A
)A.生长激素
B.胰岛素
C.性激素
D.肾上腺素
答案:
A
18. 下列不属于内分泌腺的是(
A.肝
B.卵巢
C.垂体
D.胰岛
A
)A.肝
B.卵巢
C.垂体
D.胰岛
答案:
A
19. 2 000多年前,我国中医文献中就有“山居多瘿”的记载,也提到“海藻治瘿”。食用海带、紫菜可预防“瘿”。“瘿”指的是(
A.糖尿病
B.侏儒症
C.地方性甲状腺肿
D.夜盲症
C
)A.糖尿病
B.侏儒症
C.地方性甲状腺肿
D.夜盲症
答案:
C
查看更多完整答案,请扫码查看