第52页
- 第1页
- 第2页
- 第3页
- 第4页
- 第5页
- 第6页
- 第7页
- 第8页
- 第9页
- 第10页
- 第11页
- 第12页
- 第13页
- 第14页
- 第15页
- 第16页
- 第17页
- 第18页
- 第19页
- 第20页
- 第21页
- 第22页
- 第23页
- 第24页
- 第25页
- 第26页
- 第27页
- 第28页
- 第29页
- 第30页
- 第31页
- 第32页
- 第33页
- 第34页
- 第35页
- 第36页
- 第37页
- 第38页
- 第39页
- 第40页
- 第41页
- 第42页
- 第43页
- 第44页
- 第45页
- 第46页
- 第47页
- 第48页
- 第49页
- 第50页
- 第51页
- 第52页
- 第53页
- 第54页
- 第55页
- 第56页
- 第57页
- 第58页
- 第59页
- 第60页
- 第61页
- 第62页
- 第63页
- 第64页
- 第65页
- 第66页
- 第67页
- 第68页
- 第69页
- 第70页
- 第71页
- 第72页
- 第73页
- 第74页
- 第75页
- 第76页
- 第77页
- 第78页
- 第79页
- 第80页
- 第81页
- 第82页
- 第83页
- 第84页
- 第85页
- 第86页
- 第87页
- 第88页
- 第89页
- 第90页
- 第91页
- 第92页
- 第93页
- 第94页
- 第95页
- 第96页
- 第97页
- 第98页
- 第99页
- 第100页
- 第101页
- 第102页
- 第103页
- 第104页
- 第105页
- 第106页
【例1】小明、小芳做一个“配色”的游戏。如图3-1-2-1是两个转盘,每个转盘被分成面积相等的几个扇形,并涂上图中所标的颜色。转动两个转盘,若一个转出红色,一个转出蓝色,则红色和蓝色在一起配成紫色,小芳获胜;同样,蓝色和黄色在一起配成绿色,小明获胜;在其他情况下,小明、小芳不分胜负。
(1)利用列表或画树状图的方法表示此游戏所有可能出现的结果;
(2)此游戏的规则对小明、小芳公平吗?试说明理由。

(1)利用列表或画树状图的方法表示此游戏所有可能出现的结果;
(2)此游戏的规则对小明、小芳公平吗?试说明理由。
答案:
解:
(1)列表如下:
(2)这个游戏不公平。因为P(小芳获胜)=$\frac{3}{12}=\frac{1}{4}$,P(小明获胜)=$\frac{2}{12}=\frac{1}{6}$,$\frac{1}{4}≠\frac{1}{6}$,所以游戏不公平。
解:
(1)列表如下:
(2)这个游戏不公平。因为P(小芳获胜)=$\frac{3}{12}=\frac{1}{4}$,P(小明获胜)=$\frac{2}{12}=\frac{1}{6}$,$\frac{1}{4}≠\frac{1}{6}$,所以游戏不公平。
【例2】在一个不透明的布袋中,有2个红球,1个白球,这些球除颜色外都相同。
(1)搅匀后先从中任意摸出1个球(不放回),再从余下的球中任意摸出1个球。求两次都摸到红球的概率;
(2)搅匀后先从中任意摸出1个球,放回搅匀,再任意摸出1个球。求两次都摸到红球的概率。
(1)搅匀后先从中任意摸出1个球(不放回),再从余下的球中任意摸出1个球。求两次都摸到红球的概率;
(2)搅匀后先从中任意摸出1个球,放回搅匀,再任意摸出1个球。求两次都摸到红球的概率。
答案:
解:
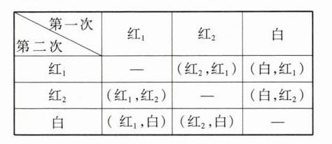
(1)用表格列出所有可能出现的结果如下:

由表格可知,一共有6种可能出现的结果,它们是等可能的,其中“两次都摸到红球”有2种,
∴P(两次都摸到红球)=$\frac{1}{3}$。
(2)用表格列出所有可能出现的结果如下

由表格可知,一共有9种可能出现的结果,它们是等可能的,其中“两次都摸到红球”有4种,
∴P(两次都摸到红球)=$\frac{4}{9}$。
解:
(1)用表格列出所有可能出现的结果如下:
由表格可知,一共有6种可能出现的结果,它们是等可能的,其中“两次都摸到红球”有2种,
∴P(两次都摸到红球)=$\frac{1}{3}$。
(2)用表格列出所有可能出现的结果如下
由表格可知,一共有9种可能出现的结果,它们是等可能的,其中“两次都摸到红球”有4种,
∴P(两次都摸到红球)=$\frac{4}{9}$。
查看更多完整答案,请扫码查看