第20页
- 第1页
- 第2页
- 第3页
- 第4页
- 第5页
- 第6页
- 第7页
- 第8页
- 第9页
- 第10页
- 第11页
- 第12页
- 第13页
- 第14页
- 第15页
- 第16页
- 第17页
- 第18页
- 第19页
- 第20页
- 第21页
- 第22页
- 第23页
- 第24页
- 第25页
- 第26页
- 第27页
- 第28页
- 第29页
- 第30页
- 第31页
- 第32页
- 第33页
- 第34页
- 第35页
- 第36页
- 第37页
- 第38页
- 第39页
- 第40页
- 第41页
- 第42页
- 第43页
- 第44页
- 第45页
- 第46页
- 第47页
- 第48页
- 第49页
- 第50页
- 第51页
- 第52页
- 第53页
- 第54页
- 第55页
- 第56页
- 第57页
- 第58页
- 第59页
- 第60页
- 第61页
- 第62页
- 第63页
- 第64页
- 第65页
- 第66页
- 第67页
- 第68页
- 第69页
- 第70页
- 第71页
- 第72页
- 第73页
- 第74页
- 第75页
- 第76页
- 第77页
- 第78页
- 第79页
- 第80页
- 第81页
- 第82页
- 第83页
- 第84页
- 第85页
1. 算一算,比一比。
$\begin{cases}54÷3=\\5.4÷3=\\0.54÷3=\end{cases}$
$\begin{cases}48÷12=\\4.8÷12=\\0.48÷12=\end{cases}$
$\begin{cases}96÷16=\\9.6÷16=\\0.96÷16=\end{cases}$
$\begin{cases}54÷3=\\5.4÷3=\\0.54÷3=\end{cases}$
$\begin{cases}48÷12=\\4.8÷12=\\0.48÷12=\end{cases}$
$\begin{cases}96÷16=\\9.6÷16=\\0.96÷16=\end{cases}$
答案:
1. 18 1.8 0.18 4 0.4 0.04 6 0.6 0.06
2. 列竖式计算。
$48.6÷27=$
$76.95÷15=$
$39.1÷85=$
$8.06÷4=$
$48.6÷27=$
$76.95÷15=$
$39.1÷85=$
$8.06÷4=$
答案:
2. 1.8 5.13 0.46 2.015
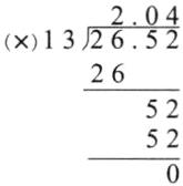
3. 下面的计算正确吗?若不正确,请改正过来。


| | | |
| --- | --- | --- |
| $$\begin{array}{r}2.4\\13\enclose{longdiv}{26.52}\\26\quad\\\hline52\\52\\\hline0\end{array}$$ | 改正: | $$\begin{array}{r}12\\25\enclose{longdiv}{2.55}\\25\quad\\\hline50\\50\\\hline0\end{array}$$ | 改正: |
| | | |
| --- | --- | --- |
| $$\begin{array}{r}2.4\\13\enclose{longdiv}{26.52}\\26\quad\\\hline52\\52\\\hline0\end{array}$$ | 改正: | $$\begin{array}{r}12\\25\enclose{longdiv}{2.55}\\25\quad\\\hline50\\50\\\hline0\end{array}$$ | 改正: |
答案:
3.
(×)13√26.52
2.04
26
——
52
52
——
0
(×)25√2.55
0.102
25
——
50
50
——
0
3.
(×)13√26.52
2.04
26
——
52
52
——
0
(×)25√2.55
0.102
25
——
50
50
——
0
4. 2022 年春运期间,某汽车客运站一周运送旅客为 20.3 万人次。这个客运站平均每天运送旅客多少万人次?
答案:
4. 20.3÷7=2.9(万人次)
5. 一个小数,如果把小数点向右移动一位,所得的数比原来增加了 69.84,这个小数原来是多少?
答案:
5. 69.84÷(10−1)=7.76
查看更多完整答案,请扫码查看