第40页
- 第1页
- 第2页
- 第3页
- 第4页
- 第5页
- 第6页
- 第7页
- 第8页
- 第9页
- 第10页
- 第11页
- 第12页
- 第13页
- 第14页
- 第15页
- 第16页
- 第17页
- 第18页
- 第19页
- 第20页
- 第21页
- 第22页
- 第23页
- 第24页
- 第25页
- 第26页
- 第27页
- 第28页
- 第29页
- 第30页
- 第31页
- 第32页
- 第33页
- 第34页
- 第35页
- 第36页
- 第37页
- 第38页
- 第39页
- 第40页
- 第41页
- 第42页
- 第43页
- 第44页
- 第45页
- 第46页
- 第47页
- 第48页
- 第49页
- 第50页
- 第51页
- 第52页
- 第53页
- 第54页
- 第55页
- 第56页
- 第57页
- 第58页
- 第59页
- 第60页
- 第61页
- 第62页
- 第63页
- 第64页
- 第65页
- 第66页
- 第67页
- 第68页
- 第69页
- 第70页
- 第71页
- 第72页
- 第73页
- 第74页
- 第75页
- 第76页
- 第77页
- 第78页
- 第79页
- 第80页
- 第81页
- 第82页
- 第83页
- 第84页
- 第85页
- 第86页
- 第87页
4. X原子的核电荷数为a,能够形成Xⁿ⁻,Y原子能够形成与Xⁿ⁻具有相同电子层结构的Yᵐ⁺,则Y原子的质子数是(
A.$a + m - n$
B.$a + m + n$
C.$a - m - n$
D.$a - m + n$
B
)。A.$a + m - n$
B.$a + m + n$
C.$a - m - n$
D.$a - m + n$
答案:
B
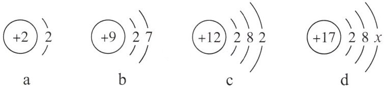
5. 下列关于粒子结构示意图的说法中正确的是(

A.a、c的化学性质相似
B.b是一种非金属的原子
C.c在反应中易失去电子,形成阴离子
D.d离子中的x等于7
B
)。A.a、c的化学性质相似
B.b是一种非金属的原子
C.c在反应中易失去电子,形成阴离子
D.d离子中的x等于7
答案:
B
6. (2023·四川自贡中考节选改编)(1)中国科学院院士张青莲教授于1983年当选为国际纯粹与应用化学联合会原子量与同位素丰度委员会委员,他主持测定了多种元素相对原子质量的新值,其中相对原子质量为152的铕原子的核电荷数为63,则铕原子的核外电子数为
(2)根据下列粒子的结构示意图,回答下列问题。

属于非金属的原子有
63
。(2)根据下列粒子的结构示意图,回答下列问题。
属于非金属的原子有
3
(填数字)种;与O具有相似化学性质的是S
(填化学符号)。
答案:
(1)63
(2)3 S
(1)63
(2)3 S
查看更多完整答案,请扫码查看