第48页
- 第1页
- 第2页
- 第3页
- 第4页
- 第5页
- 第6页
- 第7页
- 第8页
- 第9页
- 第10页
- 第11页
- 第12页
- 第13页
- 第14页
- 第15页
- 第16页
- 第17页
- 第18页
- 第19页
- 第20页
- 第21页
- 第22页
- 第23页
- 第24页
- 第25页
- 第26页
- 第27页
- 第28页
- 第29页
- 第30页
- 第31页
- 第32页
- 第33页
- 第34页
- 第35页
- 第36页
- 第37页
- 第38页
- 第39页
- 第40页
- 第41页
- 第42页
- 第43页
- 第44页
- 第45页
- 第46页
- 第47页
- 第48页
- 第49页
- 第50页
- 第51页
- 第52页
- 第53页
- 第54页
- 第55页
- 第56页
- 第57页
- 第58页
- 第59页
- 第60页
- 第61页
- 第62页
- 第63页
- 第64页
- 第65页
- 第66页
- 第67页
- 第68页
- 第69页
- 第70页
- 第71页
- 第72页
- 第73页
- 第74页
- 第75页
- 第76页
- 第77页
- 第78页
- 第79页
- 第80页
- 第81页
- 第82页
- 第83页
- 第84页
- 第85页
- 第86页
- 第87页
- 第88页
- 第89页
- 第90页
- 第91页
- 第92页
- 第93页
- 第94页
- 第95页
- 第96页
- 第97页
- 第98页
- 第99页
- 第100页
- 第101页
- 第102页
- 第103页
- 第104页
- 第105页
- 第106页
- 第107页
- 第108页
- 第109页
- 第110页
- 第111页
- 第112页
- 第113页
- 第114页
- 第115页
- 第116页
- 第117页
- 第118页
- 第119页
【典例2】化学家张青莲主持测定了铟、铱、锌等元素相对原子质量的新值。碳$-12原子的质量为1.993×10^{-26}\space kg$,一种锌原子的质量为$1.096×10^{-25}\space kg$,该锌原子的相对原子质量是(
A. $12$ B. $64$ C. $66$ D. $1.096×10^{-25}\space kg$
特别提醒
(1)相对原子质量是一个比值,它不是一个原子的实际质量,但能反映出一个原子实际质量的相对大小。
(2)相对原子质量是一个比值,单位是“$1$”,通常省略不写。
(3)相对原子质量的比值等于原子的实际质量的比值。
C
)A. $12$ B. $64$ C. $66$ D. $1.096×10^{-25}\space kg$
特别提醒
(1)相对原子质量是一个比值,它不是一个原子的实际质量,但能反映出一个原子实际质量的相对大小。
(2)相对原子质量是一个比值,单位是“$1$”,通常省略不写。
(3)相对原子质量的比值等于原子的实际质量的比值。
答案:
C
1. 为相对原子质量的测定作出卓越贡献的中国科学家是(
A.张青莲
B.袁隆平
C.侯德榜
D.道尔顿
A
)A.张青莲
B.袁隆平
C.侯德榜
D.道尔顿
答案:
A
2. 古人通过往铜中加入锡($Sn$)熔合制成青铜器。锡的相对原子质量为$119$,质子数为$50$,则锡原子的核外电子数为(
A.$169$
B.$119$
C.$69$
D.$50$
D
)A.$169$
B.$119$
C.$69$
D.$50$
答案:
D
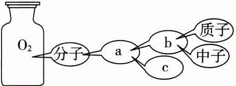
3. (学科素养·科学思维)如图是某同学学习物质结构层次后以氧气为例进行的梳理,下列选项中与$a$、$b$、$c$相对应的是(

A.原子、原子核、核外电子
B.原子核、原子、核外电子
C.原子、核外电子、原子核
D.核外电子、原子核、原子
A
)A.原子、原子核、核外电子
B.原子核、原子、核外电子
C.原子、核外电子、原子核
D.核外电子、原子核、原子
答案:
A
4. 某大学研究团队利用动态“局域柔性”框架材料,实现了在室温下对重水和普通水的有效分离。一个重水分子($^{2}H_{2}O$)中含有的质子数为(
A.$3$
B.$10$
C.$12$
D.$20$
B
)A.$3$
B.$10$
C.$12$
D.$20$
答案:
B
5. 同一原子中,下列说法错误的是(
A.质子和电子的数目相同
B.原子和中子的电性不同
C.原子核和电子的质量不同
D.原子核和原子的体积不同
B
)A.质子和电子的数目相同
B.原子和中子的电性不同
C.原子核和电子的质量不同
D.原子核和原子的体积不同
答案:
B
6. (模型建构)如图为小樱同学制作的某元素一种原子的原子结构模型,外圈上的小球为电子,内圈为原子核,内圈上的大球表示质子或中子。下列说法错误的是(

A.该原子的核电荷数为$2$
B.该模型表示一种碳原子
C.该原子核内质子数等于核外电子数
D.该原子的原子核由$2个质子和2$个中子构成
B
)A.该原子的核电荷数为$2$
B.该模型表示一种碳原子
C.该原子核内质子数等于核外电子数
D.该原子的原子核由$2个质子和2$个中子构成
答案:
B
7. (2025太原月考)科学上规定以$C-12的\frac{1}{12}$作为标准,用其他原子的实际质量跟它相比所得到的值就是该原子的相对原子质量。碳原子的质量为$1.993×10^{-26}\space kg$,铁原子的质量为$9.288×10^{-26}\space kg$。已知铁原子核内中子数比质子数多$4$。
(1)铁的相对原子质量为$\underline{\quad\quad}$(填整数)。
(2)铁原子核内的质子数为$\underline{\quad\quad}$,核外电子数为$\underline{\quad\quad}$,中子数为$\underline{\quad\quad}$。
(1)铁的相对原子质量为$\underline{\quad\quad}$(填整数)。
(2)铁原子核内的质子数为$\underline{\quad\quad}$,核外电子数为$\underline{\quad\quad}$,中子数为$\underline{\quad\quad}$。
答案:
(1)56
(2)26 26 30
(1)56
(2)26 26 30
查看更多完整答案,请扫码查看