2025年课时作业本闯关练五年级数学上册苏教版
注:目前有些书本章节名称可能整理的还不是很完善,但都是按照顺序排列的,请同学们按照顺序仔细查找。练习册 2025年课时作业本闯关练五年级数学上册苏教版 答案主要是用来给同学们做完题方便对答案用的,请勿直接抄袭。
第50页
- 第1页
- 第2页
- 第3页
- 第4页
- 第5页
- 第6页
- 第7页
- 第8页
- 第9页
- 第10页
- 第11页
- 第12页
- 第13页
- 第14页
- 第15页
- 第16页
- 第17页
- 第18页
- 第19页
- 第20页
- 第21页
- 第22页
- 第23页
- 第24页
- 第25页
- 第26页
- 第27页
- 第28页
- 第29页
- 第30页
- 第31页
- 第32页
- 第33页
- 第34页
- 第35页
- 第36页
- 第37页
- 第38页
- 第39页
- 第40页
- 第41页
- 第42页
- 第43页
- 第44页
- 第45页
- 第46页
- 第47页
- 第48页
- 第49页
- 第50页
- 第51页
- 第52页
- 第53页
- 第54页
- 第55页
- 第56页
- 第57页
- 第58页
- 第59页
- 第60页
- 第61页
- 第62页
- 第63页
- 第64页
- 第65页
- 第66页
- 第67页
- 第68页
- 第69页
- 第70页
- 第71页
- 第72页
- 第73页
1. 仔细想,认真填。
(1) 根据 $237×29 = 6873$,直接写出下面各题的结果。
$2.37×29 = $
$23.7×2.9 = $
$2.37×290 = $
$6.873÷23.7 = $
(2) (无锡真题)在括号里填合适的数。
$2025$ 平方分米 $= ($ )平方米
$20$ 平方千米 $= ($ )公顷
(1) 根据 $237×29 = 6873$,直接写出下面各题的结果。
$2.37×29 = $
$23.7×2.9 = $
$2.37×290 = $
$6.873÷23.7 = $
(2) (无锡真题)在括号里填合适的数。
$2025$ 平方分米 $= ($ )平方米
$20$ 平方千米 $= ($ )公顷
答案:
(1)68.73 68.73 687.3 0.29
(2)20.25 2000
(2)20.25 2000
2. 用竖式计算,带 * 的要验算。
* $0.37×4.6$
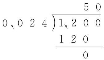
* $1.2÷0.024$
$0.45×2.59$ (得数保留一位小数)
$5.17÷2.3$ (精确到百分位)
* $0.37×4.6$
* $1.2÷0.024$
$0.45×2.59$ (得数保留一位小数)
$5.17÷2.3$ (精确到百分位)
答案:
0.37×4.6=1.702
验算:
1.2÷0.024=50
验算:
0.45×2.59≈1.2
5.17÷2.3≈2.25
0.37×4.6=1.702
1.2÷0.024=50
0.45×2.59≈1.2
5.17÷2.3≈2.25
3. (传统文化)竹简书是造纸术广泛应用前文字传承的主要形式,将文字写在一枚枚竹片上,用绳子固定。若一枚竹片宽 $1.2$ 厘米,下面这卷竹简书共有多长?(间隙忽略不计)

答案:
1.2×110=132(厘米)
4. 谨慎选择。
(1) 如果 $□4.2÷36$ 的商的整数部分是 $1$,那么 $□$ 里可以填的数字有( )个。
A. $1$
B. $2$
C. $3$
D. $4$
(2) (易错题) $2.56÷0.15$ 的商是 $17$,余数是( )。
A. $0.1$
B. $0.01$
C. $0.001$
D. $1$
(1) 如果 $□4.2÷36$ 的商的整数部分是 $1$,那么 $□$ 里可以填的数字有( )个。
A. $1$
B. $2$
C. $3$
D. $4$
(2) (易错题) $2.56÷0.15$ 的商是 $17$,余数是( )。
A. $0.1$
B. $0.01$
C. $0.001$
D. $1$
答案:
(1)C
(2)B 易错分析:将除数是小数的除法转化为除数是整数的除法时,商不变,但余数变了,容易错认为商和余数都变了或都不变。
(2)B 易错分析:将除数是小数的除法转化为除数是整数的除法时,商不变,但余数变了,容易错认为商和余数都变了或都不变。
5. (地域美食)福鼎四季柚以一年四季都能开花结果而得名。果农张伯伯的柚子丰收了,第一次采摘 $21.4$ 吨,第二次采摘 $16.3$ 吨,第三次采摘 $10.7$ 吨。这三次平均每次采摘多少吨?(先估计得数在什么范围内,再计算,得数保留整数)
答案:
估算略 (21.4+16.3+10.7)÷3≈16(吨)
6. 浮宫杨梅是我国国家地理标志产品。有 $278$ 千克的浮宫杨梅需要装筐运走,每筐浮宫杨梅连筐重 $20$ 千克。已知空筐重 $0.8$ 千克,则将这些浮宫杨梅都运走需要多少个筐?严叔叔带了 $50$ 元,最多可以买多少盒?

答案:
20 - 0.8=19.2(千克) 278÷19.2≈15(个)
50÷7.5≈6(盒)
50÷7.5≈6(盒)
7. (1) 已知 $a = 0.\underbrace{00…0}_{9 个 0}15$,$b = 0.\underbrace{00…0}_{10 个 0}4$,则 $a×b = ($ )。
(2) 已知 $A = 0.\underbrace{00…0}_{10 个 0}96$,$B = 0.\underbrace{00…0}_{9 个 0}3$,则 $A÷B = ($ )。
(2) 已知 $A = 0.\underbrace{00…0}_{10 个 0}96$,$B = 0.\underbrace{00…0}_{9 个 0}3$,则 $A÷B = ($ )。
答案:
(1)$\underbrace{0.00\cdots0}_{20个0}6$ 解析:a是11位小数,b也是11位小数,a×b的积应是22位小数,15×4=60,将60的小数点先向左移动两位后得到0.6,再向左移动22 - 2=20(位),所以要在“6”的左边写上20个“0”。点上小数点后,还要在小数点的左边添1个“0”。
(2)0.32 解析:可将被除数和除数的小数点同时向右移动10位,原来的算式就转化成0.96÷3。
(2)0.32 解析:可将被除数和除数的小数点同时向右移动10位,原来的算式就转化成0.96÷3。
查看更多完整答案,请扫码查看